医療用医薬品 詳細表示

アビラテロン酢酸エステル錠250mg「サワイ」

処方せん医薬品

添付文書番号
企業コード
作成又は改訂年月
日本標準商品分類番号
薬効分類名
承認等
一般的名称
2.禁忌(次の患者には投与しないこと)
3.組成・性状
3.1組成
3.2製剤の性状
4.効能又は効果
5.効能又は効果に関連する注意
6.用法及び用量
7.用法及び用量に関連する注意
8.重要な基本的注意
9.特定の背景を有する患者に関する注意
9.1合併症・既往歴等のある患者
9.3肝機能障害患者
9.8高齢者
10.相互作用
10.2併用注意(併用に注意すること)
11.副作用
11.1重大な副作用
11.2その他の副作用
13.過量投与
14.適用上の注意
15.その他の注意
15.1臨床使用に基づく情報
16.薬物動態
16.1血中濃度
16.2吸収
16.3分布
16.4代謝
16.5排泄
16.6特定の背景を有する患者
16.7薬物相互作用
17.臨床成績
17.1有効性及び安全性に関する試験
18.薬効薬理
18.1作用機序
18.2抗腫瘍効果
19.有効成分に関する理化学的知見
22.包装
23.主要文献
24.文献請求先及び問い合わせ先
26.製造販売業者等

アビラテロン酢酸エステル錠250mg「サワイ」

添付文書番号

4291033F1067_1_02

企業コード

300119

作成又は改訂年月

2026年4月改訂(第2版)
2025年8月作成(第1版)

日本標準商品分類番号

874291

薬効分類名

前立腺癌治療剤(CYP17阻害剤)

承認等

アビラテロン酢酸エステル錠250mg「サワイ」

販売名コード

YJコード

4291033F1067

販売名英語表記

ABIRATERONE ACETATE Tablets [SAWAI]

販売名ひらがな

あびらてろんさくさんえすてるじょう

承認番号等

承認番号

30700AMX00137000

販売開始年月

2025年12月

貯法・有効期間

貯法

室温保存

有効期間

3年

一般的名称

アビラテロン酢酸エステル

2. 禁忌(次の患者には投与しないこと)

  1. 2.1 本剤の成分に対し過敏症の既往歴のある患者
  2. 2.2 重度の肝機能障害患者(Child-PughスコアC),

3. 組成・性状

3.1 組成

アビラテロン酢酸エステル錠250mg「サワイ」

1錠中
有効成分アビラテロン酢酸エステル   250mg
添加剤カルナウバロウ、クロスカルメロースNa、軽質無水ケイ酸、結晶セルロース、酸化チタン、三二酸化鉄、ステアリン酸Mg、タルク、デンプングリコール酸Na、乳糖、ヒプロメロース、ポビドン、マクロゴール6000、ラウリル硫酸Na

3.2 製剤の性状

アビラテロン酢酸エステル錠250mg「サワイ」

剤形フィルムコーティング錠
外形

大きさ直径13.4mm×7.1mm
厚さ4.9mm
質量約383mg
識別コードアビラテロン 250 サワイ
性状ピンク色

4. 効能又は効果

  • 去勢抵抗性前立腺癌
  • 内分泌療法未治療のハイリスクの予後因子を有する前立腺癌

5. 効能又は効果に関連する注意

ハイリスクの予後因子を有する患者の定義等について、「17.臨床成績」の項の内容を熟知し、本剤の有効性及び安全性を十分に理解した上で適応患者の選択を行うこと。,,,,

6. 用法及び用量

プレドニゾロンとの併用において、通常、成人にはアビラテロン酢酸エステルとして1日1回1,000mgを空腹時に経口投与する。

7. 用法及び用量に関連する注意

  1. 7.1 本剤は食事の影響によりCmax及びAUCが上昇するため、食事の1時間前から食後2時間までの間の服用は避けること。
  2. 7.2 プレドニゾロンの投与に際しては、「17.臨床成績」の項の内容を熟知し、投与すること。,,,,
  3. 7.3 本剤投与中に肝機能検査値の上昇が認められた場合は、以下の基準を参考に、休薬、減量又は中止すること。,

    検査項目

    用法・用量変更の目安

    ALT、AST値 > 施設正常値上限の5倍
    又は
    ビリルビン値 > 施設正常値上限の3倍

    検査値が投与前値若しくはALT、AST値が施設正常値上限の2.5倍以下かつビリルビン値が施設正常値上限の1.5倍以下に回復するまで休薬する。回復後は750mgに減量して投与を再開する。
    肝機能検査値異常が再発した場合、検査値が投与前値若しくはALT、AST値が施設正常値上限の2.5倍以下かつビリルビン値が施設正常値上限の1.5倍以下に回復するまで休薬する。回復後は500mgに減量して投与を再開する。検査値が再度悪化した場合は投与を中止する。

    ALT、AST値 > 施設正常値上限の20倍
    又は
    ビリルビン値 > 施設正常値上限の10倍

    投与を中止する。

  4. 7.4 外科的又は内科的去勢術と併用しない場合の有効性及び安全性は確立していない。

8. 重要な基本的注意

  1. 8.1 血圧の上昇、低カリウム血症、体液貯留があらわれることがあるので、下記の点に留意すること。,,,
    1. 8.1.1 本剤投与開始前に血清カリウム値等の血清電解質濃度を測定し、低カリウム血症が認められた場合には、血清カリウム値を補正した後に、本剤の投与を開始すること。定期的に血清カリウム値等の血清電解質濃度の測定を行うこと。
    2. 8.1.2 本剤投与中は定期的に血圧測定、血液検査、体重の測定等を行い、患者の状態を十分に観察すること。必要に応じて降圧剤の投与、カリウムの補給を行うなど、適切な処置を行うこと。
  2. 8.2 劇症肝炎があらわれることがあり、また、肝機能障害があらわれ、肝不全に至ることがあるので、本剤投与中は定期的(特に投与初期は頻回)に肝機能検査を行い、患者の状態を十分に観察すること。,
  3. 8.3 本剤は内分泌療法剤であり、がんに対する薬物療法について十分な知識・経験を持つ医師のもとで、本剤による治療が適切と判断される患者についてのみ使用すること。

9. 特定の背景を有する患者に関する注意

9.1 合併症・既往歴等のある患者

  1. 9.1.1 心血管疾患のある患者又はその既往歴のある患者

    本剤の17α-hydroxylase/C17,20-lyase(CYP17)阻害作用に伴う鉱質コルチコイド濃度の上昇により、高血圧、低カリウム血症及び体液貯留があらわれる可能性がある。

  2. 9.1.2 低カリウム血症の患者又は合併症等により低カリウム血症を起こすおそれのある患者

    低カリウム血症が発現、又は増悪するおそれがある。,

9.3 肝機能障害患者

  1. 9.3.1 重度の肝機能障害患者(Child-PughスコアC)

    投与しないこと。,

  2. 9.3.2 中等度の肝機能障害患者(Child-PughスコアB)

    血漿中濃度が上昇するおそれがある。

9.8 高齢者

患者の状態を観察しながら投与すること。一般に高齢者では生理機能が低下していることが多い。

10. 相互作用

  • アビラテロンはCYP3A4の基質である。また、in vitro試験において、アビラテロン酢酸エステルはP-gpを阻害し、アビラテロンはCYP2C8、CYP2D6及びOATP1B1を阻害することが示されている。

10.2 併用注意(併用に注意すること)

薬剤名等臨床症状・措置方法機序・危険因子

CYP2D6基質

  • デキストロメトルファン
    プロパフェノン
    フレカイニド
    ハロペリドール等

CYP2D6により代謝される薬剤と併用する場合は、これらの薬剤の血中濃度が上昇する可能性がある。

本剤のCYP2D6阻害作用により、これらの薬剤の代謝が阻害される。

CYP3A4誘導剤

  • リファンピシン
    フェニトイン
    カルバマゼピン
    リファブチン
    フェノバルビタール等

本剤の血漿中濃度が低下し、本剤の有効性が減弱する可能性があるので、CYP3A4誘導作用のない又は弱い薬剤への代替を考慮すること。

これらの薬剤のCYP3A4誘導作用により、本剤の代謝が促進される。

低カリウム血症を起こすおそれのある薬剤
,

低カリウム血症が発現、又は増悪するおそれがある。

本剤及びこれらの薬剤は、低カリウム血症をおこすおそれがある。

ピオグリタゾン

レパグリニド

ピオグリタゾン又はレパグリニドと併用する場合は、これらの薬剤の血中濃度が上昇し、低血糖が発現するおそれがあるため、患者の状態を十分に観察すること。

本剤のCYP2C8阻害作用により、これらの薬剤の代謝が阻害される。

11. 副作用

次の副作用があらわれることがあるので、観察を十分に行い、異常が認められた場合には投与を中止するなど適切な処置を行うこと。

11.1 重大な副作用

  1. 11.1.1 心障害

    心不全(0.5%)等の重篤な心障害があらわれることがある。

  2. 11.1.2 劇症肝炎、肝不全、肝機能障害

    劇症肝炎(頻度不明)があらわれることがある。また、AST増加(7.1%)、ALT増加(7.4%)、ビリルビン上昇(1.4%)等を伴う肝機能障害があらわれ、肝不全に至ることがある。,

  3. 11.1.3 低カリウム血症(14.0%)

    痙攣、筋力低下等の症状を伴う低カリウム血症があらわれることがあり、QT延長、Torsade de Pointesを含む不整脈に至った例が報告されている。異常が認められた場合にはカリウムの補給や本剤の休薬等、適切な処置を行うこと。

  4. 11.1.4 血小板減少(0.8%)
  5. 11.1.5 横紋筋融解症(頻度不明)

    筋力低下、筋肉痛、CK上昇、血中及び尿中ミオグロビン上昇に注意し、このような症状があらわれた場合には投与を中止し、適切な処置を行うこと。

11.2 その他の副作用

5%以上

5%未満
1%以上

1%未満

頻度不明

感染症

尿路感染

血液

リンパ球減少症、白血球減少

発熱性好中球減少症

内分泌

副腎不全

代謝・栄養

糖尿病、高脂血症

高アミラーゼ血症、脱水、低アルブミン血症

電解質

高カリウム血症、高マグネシウム血症

精神神経系

浮動性めまい、頭痛、味覚異常

眼精疲労、羞明

循環器

高血圧

心房細動、頻脈、狭心症、不整脈、徐脈、右脚ブロック、心室性頻脈

呼吸器

胸膜炎

アレルギー性胞隔炎

消化器

悪心、便秘、下痢

嘔吐、消化不良

胃潰瘍、膵炎

肝臓

ALP増加

LDH増加

皮膚

皮疹

筋骨格

骨折、骨粗鬆症

腎臓・泌尿器

血尿

生殖器

精巣上体炎

全身

疲労、末梢性浮腫

浮腫、顔面浮腫、倦怠感

その他

ほてり

体重増加

血中尿酸減少、高比重リポ蛋白増加、膵管内乳頭粘液性腫瘍

13. 過量投与

  1. 13.1 症状

    過量投与により、低カリウム血症及びそれに伴う無力症、悪心、嘔吐等の症状が発現することがある。

14. 適用上の注意

14.1 薬剤交付時の注意

PTP包装の薬剤はPTPシートから取り出して服用するよう指導すること。PTPシートの誤飲により、硬い鋭角部が食道粘膜へ刺入し、更には穿孔をおこして縦隔洞炎等の重篤な合併症を併発することがある。

15. その他の注意

15.1 臨床使用に基づく情報

  1. 15.1.1 スピロノラクトン併用時に、PSAの上昇が認められた症例が報告されている。スピロノラクトンは、アンドロゲン受容体と結合しPSAを上昇させる可能性がある。

16. 薬物動態

16.1 血中濃度

  1. 16.1.1 単回投与

    健康成人にアビラテロン酢酸エステル250mg、500mg及び1,000mg注)を絶食下で単回経口投与したとき、アビラテロンの血漿中濃度は投与後1.5~2.0時間(中央値)に最高濃度に達し、14.2~16.6時間(平均値)の消失半減期で消失した。血漿中アビラテロンのCmax及びAUCは、用量比を若干下回る増加を示した1)

    健康成人にアビラテロン酢酸エステル250mg~1,000mgを単回経口投与したときの血漿中アビラテロンの薬物動態パラメータ[平均値(標準偏差)]

    薬物動態
    パラメータ

    250mg

    500mg

    1,000mg

    n

    30

    30

    30

    Cmax
    (ng/mL)

    53.2 (48.6)

    90.5 (75.0)

    172.1 (150.4)

    AUC
    (ng・h/mL)

    294 (290)

    494 (434)

    822 (616)

    tmax
    (h)

    2.0 [1.0-4.0]

    2.0 [1.0-4.0]

    1.5 [1.0-4.0]

    t1/2
    (h)

    14.2 (5.1)

    15.1 (6.1)

    16.6 (6.9)

    tmax:中央値[範囲]

  2. 16.1.2 反復投与

    前立腺癌患者に、アビラテロン酢酸エステル250mg、500mg及び1,000mg注)を食事の1時間以上前又は食事の2時間以上後に反復経口投与したとき、血漿中アビラテロン濃度は用量によらず、投与後7日目までに定常状態に達した。反復経口投与による累積率は用量によらず1.3~1.7であった。また、プレドニゾロン併用投与時の血漿中アビラテロンのCmax及びAUC24は、用量によらず、アビラテロン酢酸エステル単剤投与時と大きく異ならなかった2)

    前立腺癌患者にアビラテロン酢酸エステル250mg~1,000mgを反復経口投与したときの血漿中アビラテロンの薬物動態パラメータ[平均値(標準偏差)]

    投与量(mg)

    250

    500

    1,000

    1,000

    投与時期

    食事の1時間以上前又は食事の2時間以上後

    食事の1時間以上前

    食事の2時間以上後

    n

    9

    6

    6

    6

    Cmax
    (ng/mL)

    1日目
    (アビラテロン酢酸エステル単独)

    121.3
    (37.9)

    385.7
    (181.5)

    185.7
    (104.4)

    788.8
    (343.2)

    7日目
    (アビラテロン酢酸エステル単独)

    183.6
    (69.8)

    625.5
    (253.2)

    205.4
    (97.2)

    949.5
    (338.1)

    15日目
    (プレドニゾロン併用)

    168.8
    (83.0)

    542.2
    (231.4)

    166.4
    (70.9)

    999.7
    (386.2)

    tmax
    (h)

    1日目
    (アビラテロン酢酸エステル単独)

    3.00
    [1.97-5.92]

    2.95
    [2.00-3.95]

    2.00
    [0.57-2.95]

    2.50
    [0.98-3.97]

    7日目
    (アビラテロン酢酸エステル単独)

    2.97
    [1.77-3.05]

    1.99
    [1.98-5.98]

    2.00
    [1.03-4.05]

    2.46
    [1.98-3.25]

    15日目
    (プレドニゾロン併用)

    2.08
    [0.97-10.30]

    2.46
    [1.97-3.22]

    1.98
    [0.95-2.95]

    2.97
    [1.95-4.02]

    AUC24
    (ng・h/mL)

    1日目
    (アビラテロン酢酸エステル単独)

    516.0
    (114.4)

    1,698.0
    (830.1)

    869.7
    (523.9)

    2,724.7
    (1109.8)

    7日目
    (アビラテロン酢酸エステル単独)

    708.8
    (164.7)

    2,348.8
    (774.8)

    1,137.6
    (524.4)

    3,924.6
    (1137.2)

    15日目
    (プレドニゾロン併用)

    673.2
    (131.7)

    2,235.8
    (1100.2)

    964.8
    (375.1)

    3,955.7
    (1260.0)

    tmax:中央値[範囲]

  3. 16.1.3 生物学的同等性試験

    アビラテロン酢酸エステル錠250mg「サワイ」とザイティガ錠250mgを健康成人男性にそれぞれ1錠(アビラテロン酢酸エステルとして250mg)空腹時単回経口投与(クロスオーバー法)し、活性代謝物であるアビラテロンの血漿中濃度を測定した。得られた薬物動態パラメータ(AUC、Cmax)について90%信頼区間法にて統計解析を行った結果、log(0.80)~log(1.25)の範囲内であり、両剤の生物学的同等性が確認された3)

    各製剤1錠投与時の薬物動態パラメータ

    Cmax
    (ng/mL)

    Tmax
    (hr)

    T1/2
    (hr)

    AUC0-36hr
    (ng・hr/mL)

    アビラテロン酢酸エステル錠250mg「サワイ」

    29.8±16.0

    2.4±1.6

    9.2±3.3

    157.5±84.3

    ザイティガ錠250mg

    31.4±15.8

    2.0±1.1

    10.6±4.7

    156.2±85.3

    (Mean±S.D., n=103(※n=102))

    血漿中濃度ならびにAUC、Cmax等のパラメータは、被験者の選択、体液の採取回数・時間等の試験条件によって異なる可能性がある。

16.2 吸収

  1. 16.2.1 食事の影響

    健康成人にアビラテロン酢酸エステル1,000mg注)を食後(低脂肪食又は高脂肪食)に単回経口投与したとき、絶食時投与と比較して、血漿中アビラテロンのCmax及びAUCは、それぞれ7倍及び5倍(低脂肪食)、17倍及び10倍(高脂肪食)増加した4)。(外国人データ)

    日本人及び外国人健康成人にアビラテロン酢酸エステル1,000mgを、食事1時間前(投与法B:投与4時間後に食事摂取)及び食事の2時間後(投与法C:投与2時間後に食事摂取、投与法D:投与4時間後に食事摂取)に単回経口投与したとき、空腹時投与(投与法A)と比較して、血漿中アビラテロンのCmax及びAUCは、それぞれ2及び1.6倍、12及び7.5倍、10及び7倍増加した5)

16.3 分布

アビラテロンの血漿蛋白結合率は99.8%であった(in vitro、平衡透析法)。みかけの分布容積は4,150Lであった6),7)

16.4 代謝

健康成人に14C-アビラテロン酢酸エステルを単回経口投与注)したとき、アビラテロン酢酸エステルは速やかにアビラテロンに加水分解された。アビラテロンは主として肝臓で代謝され、血漿中総放射能の92%はアビラテロンの代謝物であった。血漿中の主要な代謝物は、アビラテロン硫酸抱合体及びN-オキシドアビラテロン硫酸抱合体であり、それぞれ血漿中総放射能の43%を占めた8)。(外国人データ)

16.5 排泄

健康成人に14C-アビラテロン酢酸エステルを単回経口投与注)したとき、投与後264時間までに投与した放射能の88%が糞中に、5%が尿中に排泄された。糞中には、主にアビラテロン酢酸エステル及びアビラテロンとして排泄され、それぞれ投与量の55%及び22%を占めた8)。(外国人データ)

16.6 特定の背景を有する患者

  1. 16.6.1 肝機能障害患者

    軽度(Child-Pugh スコア A)及び中等度(Child-Pugh スコア B)の肝機能障害患者に、アビラテロン酢酸エステル1,000mgを単回経口投与したとき、血漿中アビラテロンのAUCは、肝機能正常被験者と比較してそれぞれ11%及び260%増加した9)。(外国人データ)

    肝機能正常被験者並びに軽度及び中等度肝機能障害患者にアビラテロン酢酸エステル1,000mgを単回経口投与したときの血漿中アビラテロンの薬物動態パラメータ[平均値(標準偏差)]

    薬物動態
    パラメータ

    肝機能正常
    被験者

    軽度
    肝機能障害患者

    中等度
    肝機能障害患者

    n

    8

    8

    8

    tmax
    (h)

    1.75 [1.0-3.0]

    2.0 [0.5-3.0]

    1.5 [1.0-2.0]

    Cmax
    (ng/mL)

    85.7 (46.6)

    71.9 (40.2)

    297 (258)

    AUClast
    (ng・h/mL)

    321 (166)

    355 (191)

    1,530 (1,350)

    tmax:中央値[範囲]

    重度(Child-Pughスコア C)の肝機能障害患者に、アビラテロン酢酸エステル懸濁液125mg(錠剤62.5mgに相当)注)を単回経口投与したとき、肝機能正常被験者[懸濁液2,000mg(錠剤1,000mgに相当)]注)と比較して、用量で規格化した血漿中アビラテロンのAUCは597%増加した10)。(外国人データ),

  2. 16.6.2 腎機能障害患者

    血液透析を受けている末期腎疾患を有する被験者に、アビラテロン酢酸エステル1,000mgを単回経口投与したとき、血漿中アビラテロンのCmax及びAUClastは腎機能正常被験者と比較して増加しなかった11)。(外国人データ)

16.7 薬物相互作用

  1. 16.7.1 デキストロメトルファン

    転移性去勢抵抗性前立腺癌(mCRPC)患者にアビラテロン酢酸エステル1,000mg(プレドニゾン併用)とCYP2D6の基質であるデキストロメトルファンを併用投与したとき、デキストロメトルファン単剤投与時と比較して、デキストロメトルファンのAUClastは200%増加した。また、デキストロメトルファンの活性代謝物であるデキストルファンのAUCは33%増加した12)。(外国人データ)

  2. 16.7.2 リファンピシン

    健康成人にCYP3A4の誘導作用を有するリファンピシンを6日間反復投与後、アビラテロン酢酸エステル1,000mgを単回経口投与したとき、アビラテロンのAUCは55%減少した13)。(外国人データ)

  3. 16.7.3 その他の薬剤
    1. (1) テオフィリン
      mCRPC患者にアビラテロン酢酸エステル1,000mg(プレドニゾン併用)とCYP1A2の基質であるテオフィリンを併用投与したとき、テオフィリンのCmax及びAUClastはテオフィリン単剤投与時と同様であった12)。(外国人データ)
    2. (2) ケトコナゾール
      健康成人にCYP3A4の阻害作用を有するケトコナゾールをアビラテロン酢酸エステル1,000mgと併用投与したとき、アビラテロンのCmax及びAUClastはアビラテロン酢酸エステル単剤投与時と同様であった14)。(外国人データ)
    3. (3) ピオグリタゾン
      健康成人にCYP2C8の基質であるピオグリタゾンをアビラテロン酢酸エステル1,000mgと併用投与したとき、ピオグリタゾンのAUCは46%増加し、その活性代謝物であるM-Ⅲ、M-ⅣのAUCはそれぞれ10%減少した15)。(外国人データ)
  4. 16.7.4 In vitro

    アビラテロン酢酸エステルはP-gpを阻害し、アビラテロン及びその主要代謝物は肝取り込みトランスポーターであるOATP1B1を阻害した16),17)

注)承認用法・用量はプレドニゾロンとの併用において、本剤1,000mgを空腹時に1日1回経口投与

17. 臨床成績

17.1 有効性及び安全性に関する試験

  • 〈去勢抵抗性前立腺癌〉
    1. 17.1.1 海外第Ⅲ相臨床試験(COU-AA-302試験)

      無症候性又は軽度の症状注1)を伴う化学療法歴のない転移性去勢抵抗性前立腺癌患者注2)を対象に、プレドニゾン注3)5mgの1日2回経口投与との併用下で、プラセボを対照として、アビラテロン酢酸エステル1,000mgを1日1回食事の1時間以上前又は食事の2時間以上後に連日経口投与した(有効性解析対象例は1,088例)。主要評価項目は、画像判定(中央判定)による無増悪生存期間(radiographic progression free survival、rPFS)及び全生存期間(OS)と設定された。rPFSの中央値は、アビラテロン酢酸エステル群では推定不能、プラセボ群では8.3カ月であり、アビラテロン酢酸エステル群のプラセボ群に対する優越性が示された(ハザード比0.425、95%信頼区間:0.347-0.522、p値<0.0001、層別ログランク検定)。また、OSに関する中間解析(目標イベント数である773イベントの43%のイベントが発生した時点)の結果、中央値は、アビラテロン酢酸エステル群では推定不能、プラセボ群では27.2カ月であった(ハザード比0.752、95%信頼区間:0.606-0.934、p値=0.0097、層別ログランク検定)18)
      注1)Brief Pain Inventory-Short Form(BPI-SF)の項目3のスコアが0~1(無症候性)又は2~3(軽度の症状)
      注2)肝臓等の実質臓器への転移を有する患者は除外された。
      注3)国内未承認

      安全性評価対象例542例中402例(74.2%)に副作用が認められた。主なものは、疲労124例(22.9%)、ほてり92例(17.0%)、低カリウム血症78例(14.4%)、高血圧69例(12.7%)、末梢性浮腫66例(12.2%)であった。,

    2. 17.1.2 海外第Ⅲ相臨床試験(COU-AA-301試験)

      2レジメン以内で、かつ少なくとも一つはドセタキセル水和物による化学療法歴を有する転移性去勢抵抗性前立腺癌患者を対象に、プレドニゾン注)5mgの1日2回経口投与との併用下で、プラセボを対照として、アビラテロン酢酸エステル1,000mgを1日1回食事の1時間以上前又は食事の2時間以上後に連日経口投与した(有効性解析対象例は1,195例)。主要評価項目であるOSの中間解析(目標イベント数である797イベントの69%のイベントが発生した時点)の結果、中央値は、アビラテロン酢酸エステル群で14.8カ月、プラセボ群で10.9カ月であり、アビラテロン酢酸エステル群のプラセボ群に対する優越性が示された(ハザード比0.646、95%信頼区間:0.543-0.768、p値<0.0001、層別ログランク検定)19)
      注)国内未承認

      安全性評価対象例791例中589例(74.5%)に副作用が認められた。主なものは、疲労204例(25.8%)、悪心129例(16.3%)、低カリウム血症110例(13.9%)、ほてり110例(13.9%)、末梢性浮腫94例(11.9%)であった。,

    3. 17.1.3 国内第Ⅱ相臨床試験(JPN-201試験)

      化学療法歴のない転移性去勢抵抗性前立腺癌患者を対象に、プレドニゾロン5mgの1日2回経口投与との併用下で、アビラテロン酢酸エステル1,000mgを1日1回、食事の1時間以上前又は食事の2時間以上後に連日経口投与した。治療開始12週時点までのPSA奏効率(PSA値がベースラインから50%以上低下し、その時点から4週間以降の測定においてもPSA値の50%以上低下が確認された患者の割合)(12週時のPSA奏効率)は60.4%(29/48例、90%信頼区間:47.5%-72.3%)であった20)

      安全性評価対象例48例中37例(77.1%)に副作用が認められた。主なものは、糖尿病11例(22.9%)、ALT増加9例(18.8%)、AST増加9例(18.8%)、低カリウム血症8例(16.7%)、高脂血症6例(12.5%)、高血圧5例(10.4%)であった。,

    4. 17.1.4 国内第Ⅱ相臨床試験(JPN-202試験)

      ドセタキセル水和物による化学療法歴を有する転移性去勢抵抗性前立腺癌患者を対象に、プレドニゾロン5mgの1日2回経口投与との併用下で、アビラテロン酢酸エステル1,000mgを1日1回、食事の1時間以上前又は食事の2時間以上後に連日経口投与した。12週時のPSA奏効率は28.3%(13/46例、90%信頼区間:17.6%-41.1%)であり、90%信頼区間の下限値は閾値奏効率(20%)を下回った21)

      安全性評価対象例47例中28例(59.6%)に副作用が認められた。主なものは、糖尿病6例(12.8%)、低カリウム血症5例(10.6%)、高脂血症5例(10.6%)、AST増加5例(10.6%)、高血圧4例(8.5%)であった。,

  • 〈内分泌療法未治療のハイリスクの予後因子を有する前立腺癌〉
    1. 17.1.5 国際共同第Ⅲ相試験(PCR3011試験)

      内分泌療法未治療注1)のハイリスクの予後因子を有する注2)前立腺癌患者を対象に、アビラテロン酢酸エステル及びプレドニゾン注3)の併用投与(アビラテロン酢酸エステル群)とプラセボ注4)(プラセボ群)を比較する二重盲検ランダム化試験を実施した(有効性解析対象例1,199例、日本人70例を含む)。アビラテロン酢酸エステル群では、アビラテロン酢酸エステル1,000mgを1日1回食事の1時間以上前又は食事の2時間以上後に連日経口投与し、プレドニゾン5mgを1日1回連日経口投与注5)した。主要評価項目は、OS及びrPFSと設定された。OSの中間解析(目標イベント数である852イベントの48%のイベントが発生した時点)の結果、中央値は、アビラテロン酢酸エステル群では推定不能、プラセボ群では34.73カ月であり、アビラテロン酢酸エステル群のプラセボ群に対する優越性が示された(ハザード比0.621、95%信頼区間:0.509-0.756、p値<0.0001、層別ログランク検定)。また、rPFSの解析の結果、中央値は、アビラテロン酢酸エステル群では33.02カ月、プラセボ群では14.78カ月であり、アビラテロン酢酸エステル群のプラセボ群に対する優越性が示された(ハザード比0.466、95%信頼区間:0.394-0.550、p値<0.0001、層別ログランク検定)。

      注1)治験薬投与開始前3カ月以内のアンドロゲン除去療法の施行は許容された。
      注2)3つの予後因子((1)Gleasonスコアが8以上、(2)骨スキャンで3カ所以上の骨病変あり、(3)内臓転移あり(リンパ節転移を除く))のうち、2つ以上を有する。
      注3)国内未承認
      注4)アビラテロン酢酸エステルのプラセボ及びプレドニゾンのプラセボを投与した。
      注5)鉱質コルチコイド過剰による有害事象が発現した際には、5mg/日ずつ増量可能とされた。

      OSのKaplan-Meier曲線[PCR3011試験 有効性解析対象例]
      rPFSのKaplan-Meier曲線[PCR3011試験 有効性解析対象例]

      安全性評価対象例597例(日本人35例を含む)中336例(56.3%)に副作用が認められた。主なものは、高血圧110例(18.4%)、低カリウム血症83例(13.9%)、ALT増加70例(11.7%)、AST増加60例(10.1%)、ほてり41例(6.9%)、末梢性浮腫25例(4.2%)であった。,

18. 薬効薬理

18.1 作用機序

アビラテロン酢酸エステルは生体内で速やかにアビラテロンへ加水分解され、アンドロゲン合成酵素である17α-hydroxylase/C17,20-lyase(CYP17)活性を阻害する。
In vitroにおいて、アビラテロンはヒト副腎皮質由来腫瘍細胞株(NCI-H295R)におけるテストステロンの合成を阻害した。マウス及びラットにおいてアビラテロン酢酸エステル(反復腹腔内又は経口投与)は血漿中テストステロン濃度を低下させた22),23),24),25),26)

18.2 抗腫瘍効果

ヒト去勢抵抗性前立腺癌患者由来の腫瘍組織片(LuCaP23CR及びLuCaP35CR)を移植した去勢マウスにおいて、アビラテロン酢酸エステルの反復腹腔内投与は腫瘍内のテストステロン及びジヒドロテストステロン含量を低下させ、腫瘍の増殖を抑制し、無増悪生存期間を延長した27)

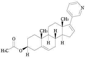
19. 有効成分に関する理化学的知見

一般的名称

アビラテロン酢酸エステル(Abiraterone Acetate)

化学名

17-(Pyridin-3-yl)androsta-5,16-dien-3β-yl acetate

分子式

C26H33NO2

分子量

391.55

性状

白色の粉末である。エタノール(99.5)にやや溶けやすく、アセトニトリルにやや溶けにくく、水にほとんど溶けない。

化学構造式

22. 包装

PTP:56錠(8錠×7)

23. 主要文献

1) 健康成人におけるアビラテロンの薬物動態の検討(ザイティガ錠:2014年7月4日承認、申請資料概要2.7.2.2.2.1)

2) 患者におけるアビラテロンの薬物動態の検討(ザイティガ錠:2014年7月4日承認、申請資料概要2.7.2.2.2.2, 2.7.2.3.1.1)

3) *米納誠他:新薬と臨牀, 2025;74(11):1055-1071

4) アビラテロンの薬物動態に対する食事の影響の検討(ザイティガ錠:2014年7月4日承認、申請資料概要2.7.2.3.1.1)

5) アビラテロンの薬物動態に対する食事のタイミングの影響の検討(ザイティガ錠:2014年7月4日承認、申請資料概要2.7.1.2.2, 2.7.2.3.1.1)

6) アビラテロンの血漿蛋白結合の検討(ザイティガ錠:2014年7月4日承認、申請資料概要2.7.2.3.1.2)

7) アビラテロンの母集団薬物動態解析による検討(ザイティガ錠:2014年7月4日承認、申請資料概要2.7.2.3.5.1)

8) アビラテロンのマスバランスの検討(ザイティガ錠:2014年7月4日承認、申請資料概要2.7.2.3.1.3, 2.7.6.1)

9) 軽度及び中等度肝機能障害患者におけるアビラテロンの薬物動態の検討(ザイティガ錠:2014年7月4日承認、申請資料概要2.7.2.2.2.3)

10) 重度肝機能障害患者におけるアビラテロンの薬物動態の検討(ザイティガ錠:2014年7月4日承認、申請資料概要2.7.2.2.2.3, 2.7.6.15)

11) 腎機能障害患者におけるアビラテロンの薬物動態の検討(ザイティガ錠:2014年7月4日承認、申請資料概要2.7.2.2.2.3, 2.7.6.14)

12) テオフィリン又はデキストロメトルファンとアビラテロンの相互作用の検討(ザイティガ錠:2014年7月4日承認、申請資料概要2.7.2.2.2.4, 2.7.6.16)

13) リファンピシンとアビラテロンの相互作用の検討(ザイティガ錠:2014年7月4日承認、申請資料概要2.7.2.2.2.4)

14) ケトコナゾールとアビラテロンの相互作用の検討(ザイティガ錠:2014年7月4日承認、申請資料概要2.7.2.2.2.4)

15) ピオグリタゾンとアビラテロンの相互作用の検討(ザイティガ錠:2014年7月4日承認、審査報告書)

16) アビラテロンの排出トランスポーターを介した相互作用の検討(ザイティガ錠:2014年7月4日承認、申請資料概要2.6.4.7.1)

17) アビラテロンのOATP1B1阻害に関する検討(ザイティガ錠:2014年7月4日承認、審査報告書)

18) Ryan, C. J. et al.:N. Engl. J. Med., 2013;368:138-148

19) de Bono, J. S. et al.:N. Engl. J. Med., 2011;364:1995-2005

20) 化学療法未治療患者を対象とした国内第Ⅱ相臨床試験成績(ザイティガ錠:2014年7月4日承認、申請資料概要2.7.3.2.1.2)

21) ドセタキセルを含む化学療法既治療患者を対象とした国内第Ⅱ相臨床試験成績(ザイティガ錠:2014年7月4日承認、申請資料概要2.7.3.2.2.1)

22) Potter, G. A. et al.:J. Med. Chem., 1995;38:2463-2471

23) Haidar, S. et al.:J. Steroid Biochem. Mol. Biol., 2003;84:555-562

24) 細胞内ステロイド合成阻害作用(ザイティガ錠:2014年7月4日承認、申請資料概要2.6.2.1.1.1, 2.6.2.2.1.1)

25) Barrie, S. E. et al.:J. Steroid Biochem. Mol. Biol., 1994;50:267-273

26) Duc, I. et al.:J. Steroid Biochem. Mol. Biol., 2003;84:537-542

27) Mostaghel, E. A. et al.:Clin. Cancer Res., 2011;17:5913-5925

24. 文献請求先及び問い合わせ先

沢井製薬株式会社 医薬品情報センター

〒532-0003 大阪市淀川区宮原5丁目2-30

TEL:0120-381-999 FAX:06-7708-8966

26. 製造販売業者等

26.1 製造販売元

沢井製薬株式会社

大阪市淀川区宮原5丁目2-30

〒100-0013 東京都千代田区霞が関3-3-2 新霞が関ビル

画面を閉じる

Copyright © Pharmaceuticals and Medical Devices Agency, All Rights reserved.