医療用医薬品 詳細表示

ケトチフェンDS小児用0.1%「サワイ」

処方せん医薬品以外の医薬品

添付文書番号
企業コード
作成又は改訂年月
日本標準商品分類番号
薬効分類名
承認等
一般的名称
2.禁忌(次の患者には投与しないこと)
3.組成・性状
3.1組成
3.2製剤の性状
4.効能又は効果
6.用法及び用量
8.重要な基本的注意
9.特定の背景を有する患者に関する注意
9.1合併症・既往歴等のある患者
9.3肝機能障害患者
9.5妊婦
9.6授乳婦
9.7小児等
10.相互作用
10.2併用注意(併用に注意すること)
11.副作用
11.1重大な副作用
11.2その他の副作用
12.臨床検査結果に及ぼす影響
13.過量投与
16.薬物動態
16.1血中濃度
16.3分布
16.4代謝
16.5排泄
18.薬効薬理
18.1作用機序
18.2抗アナフィラキシー作用
18.3抗ヒスタミン作用
18.4PAF(血小板活性化因子)による気道反応の抑制
18.5好酸球に対する作用
18.6誘発試験による過敏反応の抑制
19.有効成分に関する理化学的知見
20.取扱い上の注意
22.包装
23.主要文献
24.文献請求先及び問い合わせ先
26.製造販売業者等

ケトチフェンDS小児用0.1%「サワイ」

添付文書番号

4490003R1309_1_03

企業コード

300119

作成又は改訂年月

2023年12月改訂(第1版)

日本標準商品分類番号

87449

薬効分類名

アレルギー性疾患治療剤

承認等

ケトチフェンDS小児用0.1%「サワイ」

販売名コード

YJコード

4490003R1309

販売名英語表記

KETOTIFEN DS for Pediatric [SAWAI]

販売名ひらがな

けとちふぇんでぃーえすしょうによう

承認番号等

承認番号

22500AMX00920000

販売開始年月

1994年7月

貯法・有効期間

貯法

室温保存

有効期間

3年

一般的名称

ケトチフェンフマル酸塩

2. 禁忌(次の患者には投与しないこと)

  1. 2.1 本剤の成分に対し過敏症の既往歴のある患者
  2. 2.2 てんかん又はその既往歴のある患者

3. 組成・性状

3.1 組成

ケトチフェンDS小児用0.1%「サワイ」

1g中
有効成分日局ケトチフェンフマル酸塩   1.38mg
(ケトチフェンとして   1mg )
添加剤安息香酸Na、クエン酸、クエン酸Na、軽質無水ケイ酸、酸化チタン、乳糖、白糖、香料

3.2 製剤の性状

ケトチフェンDS小児用0.1%「サワイ」

剤形ドライシロップ
性状白色の粉末を含む微粒子で、ストロベリー様の芳香があり、味は甘い

4. 効能又は効果

  • 気管支喘息
  • アレルギー性鼻炎
  • 湿疹・皮膚炎、蕁麻疹、皮膚瘙痒症

6. 用法及び用量

通常、小児には1日量0.06g/kg(ケトチフェンとして0.06mg/kg)を2回、朝食後及び就寝前に分け、用時溶解して経口投与する。
なお、年齢・症状により適宜増減する。
年齢別の標準投与量は、通常、下記の用量を1日量とし、1日2回、朝食後及び就寝前に分け、経口投与する。

年齢

1日用量

6カ月以上3才未満

0.8g(ケトチフェンとして0.8mg)

3才以上7才未満

1.2g(ケトチフェンとして1.2mg)

7才以上

2.0g(ケトチフェンとして2.0mg)

ただし、1才未満の乳児に使用する場合には体重、症状などを考慮して適宜投与量を決めること。

8. 重要な基本的注意

  • 〈効能共通〉
    1. 8.1 眠気を催すことがあるので、本剤投与中の患者には自動車の運転等危険を伴う機械の操作には従事させないよう十分注意すること。
  • 〈気管支喘息〉
    1. 8.2 本剤はすでに起こっている発作を速やかに軽減する薬剤ではないので、このことを患者に十分説明しておく必要がある。

9. 特定の背景を有する患者に関する注意

9.1 合併症・既往歴等のある患者

  1. 9.1.1 てんかんを除く痙攣性疾患、又はこれらの既往歴のある患者

    痙攣閾値を低下させることがある。

  2. 9.1.2 長期ステロイド療法を受けている患者

    本剤投与によりステロイドの減量をはかる場合は十分な管理下で徐々に行うこと。

9.3 肝機能障害患者

肝機能障害患者を対象とした臨床試験は実施していない。

9.5 妊婦

妊婦又は妊娠している可能性のある女性には治療上の有益性が危険性を上回ると判断される場合にのみ投与すること。

9.6 授乳婦

治療上の有益性及び母乳栄養の有益性を考慮し、授乳の継続又は中止を検討すること。

9.7 小児等

乳児、幼児に投与する場合には、観察を十分に行い慎重に投与すること。痙攣、興奮等の中枢神経症状があらわれることがある。

10. 相互作用

    10.2 併用注意(併用に注意すること)

    薬剤名等臨床症状・措置方法機序・危険因子

    中枢神経抑制剤
    (鎮静剤、催眠剤等)
    抗ヒスタミン剤
    アルコール

    眠気、精神運動機能低下等を起こすことがある。
    アルコール性飲料の摂取を制限すること。

    いずれも中枢神経抑制作用を有するため。

    11. 副作用

    次の副作用があらわれることがあるので、観察を十分に行い、異常が認められた場合には投与を中止するなどの適切な処置を行うこと。

    11.1 重大な副作用

    1. 11.1.1 痙攣、興奮(頻度不明)

      乳児、幼児では特に注意すること。

    2. 11.1.2 肝機能障害、黄疸(頻度不明)

      AST、ALT、ALP、LDH、γ-GTPの上昇等を伴う肝機能障害、黄疸があらわれることがある。

    11.2 その他の副作用

    0.1%~5%未満

    0.1%未満

    頻度不明

    泌尿器

    頻尿、排尿痛、血尿、残尿感等の膀胱炎様症状

    過敏症

    発疹、蕁麻疹

    浮腫、多形紅斑

    精神神経系

    眠気

    めまい、ふらつき、けん怠感、口渇

    一過性の意識消失、頭痛、味覚異常、しびれ感、易刺激性、不眠、神経過敏、鎮静

    消化器

    悪心、下痢、嘔吐、便秘

    腹痛、胃部不快感、食欲不振、口内炎

    肝臓

    AST、ALT、ALPの上昇

    LDH、γ-GTPの上昇

    その他

    体重増加

    ほてり、鼻出血、動悸、月経異常

    12. 臨床検査結果に及ぼす影響

    本剤は、アレルゲン皮内反応を抑制するため、アレルゲン皮内反応検査を実施する3~5日前より本剤の投与を中止することが望ましい1)

    13. 過量投与

    1. 13.1 徴候、症状

      傾眠、見当識障害、チアノーゼ、呼吸困難、発熱、錯乱、痙攣、頻脈、徐脈、低血圧、眼振、可逆性昏睡等。特に小児では、興奮性亢進、痙攣2)

    16. 薬物動態

    16.1 血中濃度

    1. 16.1.1 生物学的同等性試験

      ケトチフェンDS小児用0.1%「サワイ」とザジテンドライシロップ0.1%を健康成人男子にそれぞれ2g(ケトチフェンとして2mg)空腹時単回経口投与(クロスオーバー法)し、血漿中ケトチフェン濃度を測定した。得られた薬物動態パラメータ(AUC、Cmax)について統計解析を行った結果、両剤の生物学的同等性が確認された3)

      各製剤2g投与時の薬物動態パラメータ

      Cmax
      (ng/mL)

      Tmax
      (hr)

      T1/2
      (hr)

      AUC0-24hr
      (ng・hr/mL)

      ケトチフェンDS小児用0.1%「サワイ」

      0.65±0.15

      2.2±0.6

      7.2±3.1

      4.66±0.88

      ザジテンドライシロップ0.1%

      0.63±0.16

      2.3±0.5

      7.8±3.9

      4.45±1.07

      (Mean±S.D.)

      血漿中濃度ならびにAUC、Cmax等のパラメータは、被験者の選択、体液の採取回数・時間等の試験条件によって異なる可能性がある。

    16.3 分布

    ケトチフェンの蛋白結合率は75%以上である4)

    16.4 代謝

    ケトチフェンの血中及び尿中における主代謝産物はグルクロン酸抱合体であり、脱メチル化体及びN-酸化体がわずかにみられた4),5)(外国人のデータ)。

    16.5 排泄

    単回投与した時、投与120時間後までに尿中に71%、糞中に26%排泄された4)

    18. 薬効薬理

    18.1 作用機序

    ケトチフェンはケミカルメディエーター遊離抑制に基づく抗アナフィラキシー作用及び抗ヒスタミン作用を有し、かつ、気道及び鼻粘膜等の組織の過敏性を減弱させる。更に、PAF(血小板活性化因子)による気道の反応性亢進を抑制し、好酸球に対する作用を有する。

    18.2 抗アナフィラキシー作用

    ケトチフェンはPCA(受動的皮膚アナフィラキシー)反応、実験的気管支喘息モデルにおけるアナフィラキシー反応を抑制する(ラット)6)
    ヒスタミン及びSRS-A等ケミカルメディエーターの遊離を抑制する(ラット腹腔・皮膚肥満細胞6),7)、ヒト白血球中好塩基球・好中球8),9)、ヒト肺10)in vitro)。また、抗SRS-A作用を有する(モルモット気管支筋in vivo、回腸in vitro9),10)

    18.3 抗ヒスタミン作用

    ケトチフェンはヒスタミンによる気管支収縮(モルモット)、血管透過性亢進、皮膚反応(ラット)等を抑制する6)

    18.4 PAF(血小板活性化因子)による気道反応の抑制

    ケトチフェンはPAFによる気管支収縮、気道反応性亢進を抑制する(モルモット)11),12)

    18.5 好酸球に対する作用

    PAFによる好酸球の肺への集積を防止する(モルモット12)、ヒヒ13))。
    アレルギー性疾患患者においてケトチフェンは抗原刺激による好酸球の脱顆粒を防止する(in vitro14)
    ケトチフェンはアレルギー性疾患患者の末梢血好酸球を減少させる15),16),17)
    また、臨床症状の改善に伴って低比重好酸球比率の減少がみられる15)

    18.6 誘発試験による過敏反応の抑制

    アレルギー性疾患患者において、ケトチフェンは抗原誘発による気道、鼻粘膜、皮膚等の過敏反応を抑制する18),19),20),21),22)

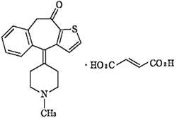
    19. 有効成分に関する理化学的知見

    一般的名称

    ケトチフェンフマル酸塩(Ketotifen Fumarate)

    化学名

    4-(1-Methylpiperidin-4-ylidene)-4H-benzo[4,5]cyclohepta[1,2-b]thiophen-10(9H)-one monofumarate

    分子式

    C19H19NOS・C4H4O4

    分子量

    425.50

    性状

    白色~淡黄白色の結晶性の粉末である。メタノール又は酢酸(100)にやや溶けにくく、水、エタノール(99.5)又は無水酢酸に溶けにくい。

    化学構造式

    融点

    約190℃(分解)

    20. 取扱い上の注意

    ボトル開封後は湿気を避けて保存すること。

    22. 包装

    *バラ[乾燥剤入り]:100g

    24. 文献請求先及び問い合わせ先

    沢井製薬株式会社 医薬品情報センター

    〒532-0003 大阪市淀川区宮原5丁目2-30

    *TEL:0120-381-999 FAX:06-7708-8966

    26. 製造販売業者等

    26.1 製造販売元

    沢井製薬株式会社

    大阪市淀川区宮原5丁目2-30

    〒100-0013 東京都千代田区霞が関3-3-2 新霞が関ビル

    画面を閉じる

    Copyright © Pharmaceuticals and Medical Devices Agency, All Rights reserved.