医療用医薬品 詳細表示

ダプトマイシン静注用350mg「サワイ」

処方せん医薬品

添付文書番号
企業コード
作成又は改訂年月
日本標準商品分類番号
薬効分類名
承認等
一般的名称
2.禁忌(次の患者には投与しないこと)
3.組成・性状
3.1組成
3.2製剤の性状
4.効能又は効果
5.効能又は効果に関連する注意
6.用法及び用量
7.用法及び用量に関連する注意
8.重要な基本的注意
9.特定の背景を有する患者に関する注意
9.1合併症・既往歴等のある患者
9.2腎機能障害患者
9.5妊婦
9.6授乳婦
9.7小児等
9.8高齢者
10.相互作用
10.2併用注意(併用に注意すること)
11.副作用
11.1重大な副作用
11.2その他の副作用
12.臨床検査結果に及ぼす影響
13.過量投与
14.適用上の注意
15.その他の注意
15.2非臨床試験に基づく情報
16.薬物動態
16.1血中濃度
16.3分布
16.4代謝
16.5排泄
16.6特定の背景を有する患者
16.7薬物相互作用
17.臨床成績
17.1有効性及び安全性に関する試験
18.薬効薬理
18.1作用機序
19.有効成分に関する理化学的知見
22.包装
23.主要文献
24.文献請求先及び問い合わせ先
26.製造販売業者等

ダプトマイシン静注用350mg「サワイ」

添付文書番号

6119402D1030_1_02

企業コード

300119

作成又は改訂年月

2023年8月改訂(第2版)
2022年8月作成

日本標準商品分類番号

876119

薬効分類名

環状リポペプチド系抗生物質製剤

承認等

ダプトマイシン静注用350mg「サワイ」

販売名コード

YJコード

6119402D1030

販売名英語表記

DAPTOMYCIN for Intravenous Injection [SAWAI]

販売名ひらがな

だぷとまいしんじょうちゅうよう

承認番号等

承認番号

30400AMX00346000

販売開始年月

2022年12月

貯法・有効期間

貯法

2~8℃で保存

有効期間

3年

一般的名称

ダプトマイシン

2. 禁忌(次の患者には投与しないこと)

本剤の成分に対し過敏症の既往歴のある患者

3. 組成・性状

3.1 組成

ダプトマイシン静注用350mg「サワイ」

有効成分ダプトマイシン   350mg
(調製時の損失を考慮に入れ、1バイアル中367.5mgを含む。  )
添加剤pH調節剤

3.2 製剤の性状

ダプトマイシン静注用350mg「サワイ」

pH4.0~5.0(1バイアル/7mL生理食塩液)
浸透圧比約1(1バイアル/7mL生理食塩液)(生理食塩液に対する比)
剤形・性状微黄色~黄色の塊又は粉末、凍結乾燥品
用時溶解して用いる注射剤

4. 効能又は効果

  • 〈適応菌種〉

    ダプトマイシンに感性のメチシリン耐性黄色ブドウ球菌(MRSA)

  • 〈適応症〉

    敗血症、感染性心内膜炎、深在性皮膚感染症、外傷・熱傷及び手術創等の二次感染、びらん・潰瘍の二次感染

5. 効能又は効果に関連する注意

  • 〈効能共通〉
    1. 5.1 本剤の使用にあたっては、耐性菌の出現等を防ぐため、原則として他の抗菌薬及びダプトマイシンに対する感受性を確認すること。
    2. 5.2 本剤は肺炎に使用しないこと。本剤は肺サーファクタントに結合し、不活性化される。
  • 〈感染性心内膜炎〉
    1. 5.3 成人の右心系感染性心内膜炎にのみ使用すること。左心系感染性心内膜炎に対して、国内での使用経験はなく、海外でも有効性は認められていない。

6. 用法及び用量

  • 〈敗血症、感染性心内膜炎〉

    通常、成人にはダプトマイシンとして1日1回6mg/kgを24時間ごとに30分かけて点滴静注又は緩徐に静脈内注射する。

  • 〈深在性皮膚感染症、外傷・熱傷及び手術創等の二次感染、びらん・潰瘍の二次感染〉

    通常、成人にはダプトマイシンとして1日1回4mg/kgを24時間ごとに30分かけて点滴静注又は緩徐に静脈内注射する。

7. 用法及び用量に関連する注意

  1. 7.1 ダプトマイシンは主に腎臓で排泄されるため、血液透析又は連続携行式腹膜透析(CAPD)を受けている患者を含む腎機能障害の成人患者では、下表を目安に本剤の投与間隔を調節すること。,,

    クレアチニン
    クリアランス(CLcr
    (mL/min)

    効能・効果(成人)

    敗血症、感染性心内膜炎

    深在性皮膚感染症、外傷・熱傷及び手術創等の二次感染、びらん・潰瘍の二次感染

    ≥30

    1回6mg/kgを24時間ごと

    1回4mg/kgを24時間ごと

    <30
    (血液透析1)又はCAPDを受けている患者を含む)

    1回6mg/kgを48時間ごと

    1回4mg/kgを48時間ごと

    1) 可能な場合、血液透析日には血液透析後に本剤を投与すること。週3回でも可。

  2. 7.2 本剤は、1日2回以上投与しないこと。海外第Ⅰ相及び第Ⅱ相試験において1日2回以上投与した場合、血中CK値が上昇した。
  3. 7.3 グラム陰性菌等を含む混合感染と診断された場合、又は混合感染が疑われる場合は本剤と適切な薬剤を併用して治療を行うこと。ダプトマイシンはグラム陽性菌に対してのみ抗菌活性を有する。

8. 重要な基本的注意

  1. 8.1 本剤の使用にあたっては、耐性菌の出現等を防ぐため、次のことに注意すること。
    1. 8.1.1 感染症の治療に十分な知識と経験を持つ医師又はその指導のもとで行うこと。
    2. 8.1.2 投与期間は、感染部位、重症度、患者の症状等を考慮し、適切な時期に、本剤の継続投与が必要か判定し、疾病の治療上必要な最小限の期間の投与にとどめること。,
  2. 8.2 本剤投与中に、CK上昇が報告されているので、以下の点について十分注意すること。,,,,,
    1. 8.2.1 CK値を投与期間中は定期的に(週1回以上)モニタリングすること。原因不明のCK上昇を発現した患者では、CK値を更に頻回にモニタリングすること。
    2. 8.2.2 CK値が1,000U/L(基準値上限の約5倍)を超え原因不明のミオパチーの徴候又は症状を示す患者、あるいは症状はないがCK値が2,000U/L(基準値上限の約10倍)を超える顕著な増加を示した場合は、本剤の投与を中止すること。
  3. 8.3 本剤によるショック、アナフィラキシーの発生を確実に予知できる方法がないので、次の措置をとること。
    1. 8.3.1 事前に既往歴等について十分な問診を行うこと。なお、抗生物質等によるアレルギー歴は必ず確認すること。
    2. 8.3.2 投与に際しては、必ずショック等に対する救急処置のとれる準備をしておくこと。
    3. 8.3.3 点滴静注の場合は投与開始から投与終了後まで、また、静脈内注射の場合は投与終了後もしばらくの間、患者を安静の状態に保たせ、十分な観察を行うこと。特に、投与開始直後は注意深く観察すること。

9. 特定の背景を有する患者に関する注意

9.1 合併症・既往歴等のある患者

  1. 9.1.1 前治療にHMG-CoA還元酵素阻害剤を用いた患者

    CK値を投与期間中は通常(週1回以上)より更に頻回にモニタリングすること。

9.2 腎機能障害患者

  • 〈CLcr 30mL/min未満の成人患者(血液透析又はCAPDを受けている患者を含む)〉
    1. 9.2.1 本剤の投与間隔を調節すること。投与間隔を調節する必要があるため、腎機能を頻回にモニタリングすること。CK値を投与期間中は通常(週1回以上)よりも更に頻回にモニタリングすること。,,
  • 〈CLcr 30mL/min以上の成人患者〉
    1. 9.2.2 腎機能を頻回にモニタリングすること。CK値を投与期間中は通常(週1回以上)よりも更に頻回にモニタリングすること。,,

9.5 妊婦

妊婦又は妊娠している可能性のある女性には、治療上の有益性が危険性を上回ると判断される場合にのみ投与すること。
妊娠ラットにおいて、ダプトマイシンは胎盤を通過することが認められている。

9.6 授乳婦

治療上の有益性及び母乳栄養の有益性を考慮し、授乳の継続又は中止を検討すること。ヒト母乳中へダプトマイシンが低濃度(0.045μg/mL、乳汁中濃度/血漿中濃度比:0.12%)で移行することが報告された1)

9.7 小児等

  1. 9.7.1 小児等を対象とした臨床試験は実施していない。
  2. 9.7.2 成人と比較して小児、小児と比較して新生児では神経及び筋障害のリスクが増大するおそれがある。幼若イヌ及び新生児イヌを用いた試験により、神経及び筋症状に対する感受性の亢進がみられた。

9.8 高齢者

一般的に生理機能が低下している。CLcr≥30mL/minの高齢者では用量調節は必要ない。

10. 相互作用

    10.2 併用注意(併用に注意すること)

    薬剤名等臨床症状・措置方法機序・危険因子

    HMG-CoA還元酵素阻害剤

    本剤及びHMG-CoA還元酵素阻害剤を併用した場合CKが上昇するおそれがあることから、本剤投与中はこれらの薬剤の休薬を考慮すること。これらの薬剤を前治療又は併用した患者では、CK値を頻回にモニタリングすること。

    機序不明

    11. 副作用

    次の副作用があらわれることがあるので、観察を十分に行い、異常が認められた場合には投与を中止するなど適切な処置を行うこと。

    11.1 重大な副作用

    1. 11.1.1 ショック(頻度不明)、アナフィラキシー(0.9%)

    2. 11.1.2 急性汎発性発疹性膿疱症(頻度不明)
    3. 11.1.3 横紋筋融解症(頻度不明)

      筋肉痛、脱力感、CK値上昇、血中及び尿中ミオグロビン上昇が認められた場合には、投与を中止するなど適切な処置を行うこと。

    4. 11.1.4 好酸球性肺炎(頻度不明)

      本剤投与2~4週後、発熱、低酸素血症性呼吸困難、びまん性肺浸潤を伴う好酸球性肺炎が報告されている。これらの症状や徴候があらわれた場合には、投与を中止し、全身ステロイド療法等の適切な処置を行うこと。

    5. 11.1.5 末梢性ニューロパチー(頻度不明)

      本剤投与中は末梢性ニューロパチーの徴候及び症状に注意すること。

    6. 11.1.6 腎不全(頻度不明)

      腎不全等の重篤な腎障害があらわれることがある。

    7. 11.1.7 偽膜性大腸炎(頻度不明)

      偽膜性大腸炎が疑われたり、確定診断がなされた場合には、本剤の投与中止又は適切な処置を考慮すること。偽膜性大腸炎は、ダプトマイシンを含むほぼすべての抗菌薬の使用により報告されている。

    11.2 その他の副作用

    1~10%

    頻度不明

    感染症及び寄生虫症

    尿路感染、真菌感染、カンジダ感染、真菌血症

    血液及びリンパ系障害

    貧血、血小板増加症、好酸球増加症

    代謝及び栄養障害

    高血糖、電解質失調、食欲減退

    精神障害

    不安、不眠症

    神経系障害

    浮動性めまい、頭痛、錯感覚、振戦、味覚異常

    耳及び迷路障害

    回転性めまい

    心臓障害

    上室性不整脈

    血管障害

    高血圧、低血圧、潮紅

    胃腸障害

    下痢

    消化器痛/腹痛、嘔吐、鼓腸/腹部膨満感/腹部膨満、便秘、悪心、消化不良

    肝胆道系障害

    黄疸

    皮膚及び皮下組織障害

    湿疹

    そう痒症、発疹、蕁麻疹、小水疱水疱性皮疹(粘膜性又は非粘膜性)

    筋骨格系及び結合組織障害

    四肢痛、筋力低下、筋肉痛、関節痛

    腎及び尿路障害

    腎障害

    生殖系及び乳房障害

    腟炎

    全身障害及び投与局所様態

    発熱

    無力症、注射部位反応、悪寒、疲労、血管性浮腫

    臨床検査

    肝機能検査異常(AST上昇、ALT上昇、Al-P上昇)、血小板数減少、CK上昇、好酸球数増加

    血中クレアチニン上昇、INR増加、LDH上昇、プロトロンビン時間延長、血中ミオグロビン上昇、尿中ミオグロビン上昇

    12. 臨床検査結果に及ぼす影響

    1. 12.1 遺伝子組換え型トロンボプラスチン試薬を用いた測定において、ダプトマイシンの血漿中の濃度が臨床的に十分高い場合、見かけ上、濃度依存的かつ有意なプロトロンビン時間(PT)延長及び国際標準比(INR)増加がみられることがある。遺伝子組換え型トロンボプラスチン試薬とダプトマイシンの相互作用による見かけ上のPT延長及びINR増加は、ダプトマイシンの血漿中濃度がトラフ付近でPT又はINR検査用の試料を採取することにより可能性を最小限にできる。しかし、トラフ値でも相互作用を引き起こす可能性が十分にある。
      本剤投与中にPT又はINRが異常に高い場合には、以下を行うことが望ましい。
      1. 12.1.1 2回目以降の本剤投与直前(トラフ時)に採血し、PT又はINRの評価を繰り返す。トラフ時のPT又はINRが予想よりも顕著に高い場合には、他の方法によるPT又はINRの評価を検討すること。
      2. 12.1.2 PT又はINRの異常高値を引き起こす他の原因について評価すること。
    2. 12.2 本剤とワルファリンを併用する場合には、本剤投与開始後数日間は抗凝血活性をモニタリングすること。

    13. 過量投与

    1. 13.1 処置

      本剤は、血液透析(4時間で投与量の約15%除去)又は腹膜透析(48時間で約11%除去)により体内から緩やかに除去される。

    14. 適用上の注意

    14.1 薬剤調製時の注意

    1. 14.1.1 本剤1バイアルにつき7mLの生理食塩液をゆっくりと加えて溶解し、50mg/mLの溶液とする。なお、泡立ちを抑えるため、溶解時又は溶解後のバイアルは激しく振とうせずに、以下の手順に従って調製する。
      • ゴム栓の中央部に針を刺す。
      • 生理食塩液7mLをバイアルの内壁をつたわらせながらゆっくりと注入する。
      • バイアルをゆっくりと回しながら塊又は粉末を十分に湿らせる。
      • 溶解するまで約10分間静置する。
      • 数分間ゆっくりとバイアルを回す。
      • 完全に溶解したことを確認する。
    2. 14.1.2 成人に静脈内注射する場合、14.1.1の溶液をそのまま使用する。
    3. 14.1.3 点滴静注する場合、14.1.1の溶液をさらに生理食塩液で希釈し使用する。
    4. 14.1.4 調製後は速やかに使用すること。なお、やむを得ず保存を必要とする場合でも、調製開始後、室温(25℃)では12時間以内、冷所(2~8℃)では48時間以内に使用すること。

    14.2 薬剤投与前の注意

    不溶物がないことを目視で確認すること。

    14.3 配合適性

    1. 14.3.1 本剤は生理食塩液及び乳酸リンゲル液とは配合可能である。
    2. 14.3.2 ブドウ糖を含む希釈液とは配合不適である。
    3. 14.3.3 配合適性については限られたデータしかないため、他の薬剤を同一の輸液ラインを通して同時に注入しないこと。他の薬剤を同一の輸液ラインから連続注入する場合には、配合変化を起こさない輸液(生理食塩液又は乳酸リンゲル液)を本剤の投与前後に輸液ライン内に流すこと。

    15. その他の注意

    15.2 非臨床試験に基づく情報

    ラット及びイヌにおいて、ダプトマイシン投与により骨格筋に影響がみられたが、心筋及び平滑筋に変化は認められなかった。この変化は、病理組織学的に骨格筋の変性又は再生像を呈し、CKの上昇を伴っていた。線維化及び横紋筋融解症は認められなかった。病理組織学的変化を含む骨格筋への影響はすべて、ラットにおいて休薬後4週以内及びイヌにおいて休薬後11週以内に完全に回復した。
    ラット及びイヌにおいて、末梢神経に変化(軸索の変性像を呈し、機能的な変化を伴うこともあった)がみられ、この変化はミオパチーよりも高用量で認められた。病理組織学的及び機能的な影響はイヌで評価したところ、実質的に休薬後6ヵ月以内に回復した。
    7週齢の幼若イヌ(神経及び筋等の発達段階が乳幼児に相当)にダプトマイシンを28日間静脈内投与した試験において、成熟イヌと比較して低い血漿中曝露量(50mg/kg/日:Cmaxの比較で約1/2)から末梢神経の変性がみられた。また、成熟イヌと同様の所見に加えて脊髄の変性がみられた。これらの所見は28日間の休薬後に回復傾向が認められた。
    4日齢新生児イヌにダプトマイシンを28日間(生後4~31日)静脈内投与した試験において、幼若イヌと比較して低い血漿中曝露量(25mg/kg/日:Cmaxの比較で約1/3)から筋攣縮及び筋硬直がみられた。これらの所見は28日間の休薬後には回復した。なお、25mg/kg/日投与時の血中濃度は、ヒトの乳児において予想される血中濃度の範囲内であった。

    16. 薬物動態

    16.1 血中濃度

    1. 16.1.1 単回投与(点滴静注)

      健康成人にダプトマイシン2、4、6、9及び12mg/kgを30分間単回点滴静注した際、ダプトマイシンの血漿中濃度-時間曲線下面積(AUC0-∞)及び最高血漿中濃度(Cmax)は、ほぼ用量に比例して増加した。終末相消失半減期(t1/2)、血漿クリアランス(CL)及び分布容積(Vd)は、用量によらずほぼ一定であった(表1)2)

      表1 健康成人におけるダプトマイシン30分間点滴静注時の薬物動態パラメータ

      用量
      (mg/kg)

      AUC0-∞2)
      (μg・hr/mL)

      Cmax2)
      (μg/mL)

      t1/23)
      (hr)

      Vd4)
      (L/kg)

      CL4)
      (mL/hr/kg)

      2

      202.8
      (188.0, 218.9)

      26.4
      (23.8, 29.3)

      7.4
      (0.7)

      0.1087
      (0.0103)

      10.07
      (0.58)

      4

      457.4
      (423.4, 494.1)

      58.0
      (52.2, 64.5)

      9.1
      (0.9)

      0.1175
      (0.0156)

      8.90
      (1.26)

      6

      728.1
      (674.7, 785.6)

      83.8
      (75.5, 93.1)

      10.2
      (1.1)

      0.1212
      (0.0098)

      8.20
      (0.74)

      9

      998.8
      (924.6, 1079.0)

      113.5
      (102.0, 126.2)

      9.7
      (1.0)

      0.1262
      (0.0146)

      8.92
      (0.73)

      12

      1434.8
      (1329.7, 1548.3)

      155.4
      (140.0, 172.5)

      9.4
      (0.9)

      0.1147
      (0.0067)

      8.47
      (0.73)

      n=6

      2) パネル及びパネル内投与量を固定効果、パネル内被験者を変量効果とした混合効果モデルによる最小二乗幾何平均(95%信頼区間)

      3) 調和平均(ジャックナイフ法を用いて計算した標準偏差)

      4) 算術平均(標準偏差)

    2. 16.1.2 単回投与(静脈内注射及び点滴静注)

      健康成人にダプトマイシン6mg/kgをクロスオーバーで10秒間静脈内注射又は30分間点滴静注した際、静脈内注射のCmaxは、30分間点滴静注に比べ約1.5倍高かったが、AUC、C24hr及びt1/2等の他の薬物動態パラメータは同程度であった(表2)3)

      表2 健康成人におけるダプトマイシン6mg/kgを静脈内注射又は30分間点滴静注した際の薬物動態パラメータ

      AUC0-∞5)
      (μg・hr/mL)

      Cmax5)
      (μg/mL)

      C24hr5)
      (μg/mL)

      t1/26)
      (hr)

      Vd7)
      (L/kg)

      CL7)
      (mL/hr/kg)

      静脈内注射

      700
      (671, 729)

      133
      (122, 143)

      8.14
      (7.51, 8.83)

      9.22
      (0.586)

      0.115
      (0.010)

      8.60
      (0.690)

      30分間点滴静注

      690
      (660, 721)

      88.2
      (83.6, 93.1)

      7.76
      (7.23, 8.32)

      9.25
      (0.630)

      0.117
      (0.012)

      8.72
      (0.758)

      静脈内注射は10秒間投与で実施した。
      n=16

      5) 自然対数変換後の値に対する混合効果モデルから計算した最小二乗平均及び信頼区間を逆変換した。(95%信頼区間)

      6) 調和平均(ジャックナイフ法を用いて計算した標準偏差)

      7) 算術平均(標準偏差)

    3. 16.1.3 反復投与(点滴静注)

      健康成人にダプトマイシン4、6及び10mg/kgを1日1回7日間反復点滴静注した際、ダプトマイシンの薬物動態はおおむね線形(用量比例)で、時間(投与日数)非依存的であった。ダプトマイシンの血漿中濃度は、おおむね3~5日目で定常状態に達した。反復投与による蓄積性はほとんど認められず、4、6及び10mg/kg投与によるAUC0-24hr及びCmaxの累積係数(7日目/1日目)はそれぞれ1.15~1.17及び1.03~1.08であった4)

    16.3 分布

    1. 16.3.1 健康成人におけるダプトマイシンの分布容積は約0.1L/kgで、2~12mg/kgの用量範囲でほぼ一定であった。また、ダプトマイシンは濃度非依存的にヒト血漿蛋白に可逆的に結合する(平均値90~93%)5)
    2. 16.3.2 著しい腎機能障害成人患者(外国人、CLcr 30mL/min未満又は透析)においてダプトマイシンの血清蛋白結合率(83.5~87.9%)が低下する傾向を示した6)。軽度から中等度肝機能障害成人患者(外国人、Child-Pugh分類B)における蛋白結合率は健康成人と同様であった7)
    3. 16.3.3 ラットにおける組織分布試験の結果、ダプトマイシンは単回投与及び反復投与後、血液-脳関門及び胎盤をごくわずかしか通過しなかった8)

    16.4 代謝

    1. 16.4.1 健康成人に14C-ダプトマイシン点滴静注後の血漿中放射能濃度は、微生物学的分析で測定した濃度と類似していた。総放射能濃度と微生物学的活性濃度の差より、不活性代謝物が尿中に認められた9)。別試験において、血漿中に代謝物は認められず、微量の3種類の酸化代謝物及び1種類の構造未知な代謝物が尿中に検出された10)。代謝部位は特定されていない(外国人データ)。
    2. 16.4.2 ヒト肝細胞を用いたin vitro試験において、ダプトマイシンはCYP1A2、2A6、2C9、2C19、2D6、2E1及び3A4の活性を阻害せず、さらにそれらの活性を誘導しないことが示された。また、in vitro試験において、ダプトマイシンはヒト肝ミクロソームにより代謝されなかった。ダプトマイシンは、P450を介して代謝される薬物の代謝を阻害又は誘導する可能性は低い11)

    16.5 排泄

    1. 16.5.1 ダプトマイシンは主に腎臓から排泄される。健康成人にダプトマイシン12mg/kg単回点滴静注した際、未変化体ダプトマイシンの投与後48時間までの尿中排泄率は73.4%で、腎クリアランスは約6mL/hr/kgであった2)
    2. 16.5.2 健康成人に放射能標識したダプトマイシンを点滴静注した際、総放射能に基づくと、投与量の約78%が尿中に排泄され、このうち未変化体の尿中排泄率は投与量の約52%であった。また総放射能に基づくと、投与量の約5%が糞中に排泄された9)(外国人データ)。

    16.6 特定の背景を有する患者

    1. 16.6.1 腎機能障害患者

      腎機能障害の程度がさまざまな成人患者(複雑性皮膚・軟部組織感染症及び黄色ブドウ球菌菌血症)にダプトマイシン4mg/kg又は6mg/kgを点滴静注した際、ダプトマイシンのクリアランスは減少し、AUCは増加した。CLcr(30mL/min未満)の患者及び透析患者(CAPD又は血液透析後に投与)におけるAUCは、腎機能正常の患者に比べてそれぞれ約2倍及び3倍高かった。腎機能障害患者にダプトマイシン4mg/kgもしくは6mg/kg点滴静注時の薬物動態パラメータを表3に示す12)(外国人データ)。

      表3 腎機能障害成人患者にダプトマイシン4mg/kg又は6mg/kg点滴静注時の薬物動態パラメータ

      正常

      軽度腎機能障害

      中等度腎機能障害

      重度腎機能障害

      血液透析、
      CAPD

      4mg/kg

      AUC0-∞8)
      (μg・hr/mL)

      417±155
      N=165

      466±177
      N=64

      560±258
      N=24

      925±467
      N=8

      1244±374
      N=21

      t1/28)
      (hr)

      9.39±4.74
      N=165

      10.75±8.36
      N=64

      14.70±10.50
      N=24

      27.83±14.85
      N=8

      29.81±6.13
      N=21

      CL8)
      (mL/hr/kg)

      10.9±4.0
      N=165

      9.9±4.0
      N=64

      8.5±3.4
      N=24

      5.9±3.9
      N=8

      3.7±1.9
      N=21

      6mg/kg

      AUCss9)
      (μg・hr/mL)

      545±296
      N=62

      637±215
      N=29

      868±349
      N=15

      1050, 892
      N=2

      NA

      平均±標準偏差
      腎機能の程度[CLcr(mL/min)]:正常(>80)、軽度(50~80)、中等度(30~<50)、重度(<30)

      8) 複雑性皮膚・軟部組織感染症患者及び健康被験者より得られた単回投与後の薬物動態パラメータ

      9) 黄色ブドウ球菌菌血症患者より得られた定常状態での薬物動態パラメータ

      また、末期腎不全成人患者(血液透析実施患者及びCAPD実施患者含む)にダプトマイシン4mg/kgもしくは6mg/kg反復点滴静注時の定常状態での推定曝露量(シミュレーションにより算出)を表4に示す13),,

      表4 末期腎不全成人患者にダプトマイシン4mg/kg又は6mg/kg反復点滴静注時の定常状態での曝露量の推定値

      用法

      Cmax
      (μg/mL)

      AUC0-24hr
      (μg・hr/mL)

      AUC24-48hr
      (μg・hr/mL)

      AUC48-72hr
      (μg・hr/mL)

      AUC0-168hr
      (μg・hr/mL)

      4mg/kg

      血液透析未実施

      48時間
      間隔

      54.8

      798

      482

      798

      4638

      血液透析未実施

      48時間
      -48時間
      -72時間
      間隔14)

      48.6~53.913)

      781

      471

      289

      3838

      血液透析(投与後)10)

      48時間
      -48時間
      -72時間
      間隔14)

      43.9~47.113)

      496

      285

      175

      2425

      血液透析(投与前)11)

      48時間
      -48時間
      -72時間
      間隔14)

      45.1~48.613)

      680

      409

      246

      3368

      CAPD12)

      48時間
      間隔

      51.9

      723

      409

      723

      4119

      6mg/kg

      血液透析未実施

      48時間
      間隔

      82.1

      1196

      722

      1196

      6950

      血液透析未実施

      48時間
      -48時間
      -72時間
      間隔14)

      72.9~80.813)

      1171

      707

      434

      5756

      血液透析(投与後)10)

      48時間
      -48時間
      -72時間
      間隔14)

      65.9~70.713)

      743

      428

      262

      3637

      血液透析(投与前)11)

      48時間
      -48時間
      -72時間
      間隔14)

      67.7~72.913)

      1019

      614

      369

      5052

      CAPD12)

      48時間
      間隔

      77.9

      1085

      614

      1085

      6182

      10) 投与終了後0~4時間に実施

      11) 1回目及び2回目投与時は投与終了後44~48時間に、3回目投与時は投与終了後68~72時間に実施

      12) 連続携行式腹膜透析

      13) 定常状態の1回目投与時のCmax~3回目投与時のCmax

      14) 週3回投与

    2. 16.6.2 肝機能障害患者

      中等度肝機能障害成人患者(Child-Pugh分類B)にダプトマイシン6mg/kgを単回点滴静注した際の薬物動態は、健康成人と変わらなかった7)。重度肝機能障害成人患者(Child-Pugh分類C)での薬物動態は検討していない(外国人データ)。

    3. 16.6.3 高齢者

      健康高齢者(75歳以上)及び健康若年成人(18~30歳)に、ダプトマイシン4mg/kg単回点滴静注した際、高齢者では若年成人に比べてダプトマイシンの血漿クリアランスは約35%低く、AUC0-∞は約58%高かったが、Cmaxに差はなかった14)(外国人データ)。

    4. 16.6.4 小児等

      ダプトマイシン4mg/kgを単回静脈内投与した後のダプトマイシンの薬物動態を、グラム陽性菌に感染した小児患者3群において評価した。12歳から17歳の小児患者での曝露量は低かったが、薬物動態プロファイルは健康成人と類似していた。12歳未満の小児患者(7~11歳及び2~6歳)では、12歳から17歳の小児患者と比較するとクリアランスが高く、曝露量(AUC0-∞及びCmax)が低下し消失半減期が短くなった。本試験において有効性は評価されなかった15)(外国人データ)。

    5. 16.6.5 肥満

      ダプトマイシンの薬物動態を中等度肥満[体格指数(BMI)25~39.9kg/m2]の成人被験者6例、重度肥満(BMI 40kg/m2以上)の成人被験者6例において検討した。AUCは、非肥満対照被験者と比較して中等度の肥満被験者では約30%、重度肥満の被験者では31%高かった16)(外国人データ)。

    16.7 薬物相互作用

    1. 16.7.1 トブラマイシンとの併用

      健康成人にダプトマイシン2mg/kgとトブラマイシン1mg/kgを併用して点滴静注した際、ダプトマイシンのAUC0-∞及びCmaxはそれぞれ8.7%及び12.7%上昇し、トブラマイシンのAUC0-∞及びCmaxはそれぞれ7.1%及び10.7%低下した17)。臨床用量のダプトマイシンとトブラマイシンの相互作用は不明である(外国人データ)。

    2. 16.7.2 その他の薬剤との併用

      健康成人におけるダプトマイシンとアズトレオナム、ワルファリン及びプロベネシドとの薬物相互作用が検討された。ダプトマイシンはワルファリン及びプロベネシドの薬物動態に影響を及ぼさず、またこれらの薬剤もダプトマイシンの薬物動態に影響を与えなかった。アズトレオナムはダプトマイシンの薬物動態にほとんど影響を与えなかった17)(外国人データ)。

    17. 臨床成績

    17.1 有効性及び安全性に関する試験

    1. 17.1.1 国内第Ⅲ相試験(002試験)

      MRSA感染症あるいはMRSA感染症が疑われる成人患者を対象として、ダプトマイシンを敗血症に対しては1日6mg/kgを14~42日間、皮膚・軟部組織感染症に対しては1日4mg/kgを7~14日間投与する実薬対照試験を行った。組入れ時にMRSA感染が確認されたmodified intent-to-treat集団(MITT-MRSA)患者における治癒判定時(敗血症:投与終了後38~46日目、皮膚・軟部組織感染症:投与終了後7~14日目)の臨床効果(「治癒」及び「改善」を「有効」とした)、細菌学的効果(「消失」及び「推定消失」を「有効」とした)は表1のとおりであった。
      安全性解析対象例99例中11例(11.1%)に副作用が認められ、16例(16.2%)に臨床検査値の副作用が認められた。主なものはAST上昇7例(7.1%)、ALT上昇7例(7.1%)、湿疹2例(2.0%)、発熱2例(2.0%)、下痢2例(2.0%)、血小板数減少2例(2.0%)、Al-P上昇2例(2.0%)、CK上昇2例(2.0%)、好酸球数増加2例(2.0%)であった18),19),

      表1 疾患別有効率

      臨床効果

      細菌学的効果

      n/N

      %

      n/N

      %

      皮膚・軟部組織感染症

      45/55

      81.8

      31/55

      56.4

      深在性皮膚感染症

      4/6

      66.7

      4/6

      66.7

      外傷・熱傷及び手術創等の二次感染

      31/38

      81.6

      23/38

      60.5

      びらん・潰瘍の二次感染

      9/9

      100.0

      4/9

      44.4

      その他の皮膚関連疾患(伝染性膿痂疹、乾癬の二次感染)

      1/2

      50.0

      0/2

      0.0

      敗血症

      2/4

      50.0

      2/4

      50.0

    2. 17.1.2 海外第Ⅲ相試験(DAP-IE-01-02試験)

      黄色ブドウ球菌による菌血症及び感染性心内膜炎が疑われる成人患者を対象にダプトマイシン1日6mg/kgを10~42日間投与する実薬対照比較試験を行った。組入れ時にMRSA感染が確認されたintent-to-treat集団(ITT)患者における治癒判定時の臨床効果の有効率は44.4%(20/45)であった20)
      安全性解析対象例120例中42例(35.0%)に副作用が認められ、主なものは、CK上昇6例(5.0%)、軟便4例(3.3%)、消化不良3例(2.5%)、発疹3例(2.5%)、血中リン増加3例(2.5%)であった21),

    18. 薬効薬理

    18.1 作用機序

    ダプトマイシンは菌の細胞膜と結合し、速やかに膜電位を脱分極させる。また、ダプトマイシンにより、DNA、RNA及び蛋白質の合成阻害が生じることが示されている。これら膜電位の消失、並びにDNA、RNA及び蛋白質の合成阻害により細菌が死滅する22),23),24),25)

    18.2 抗菌作用

    ダプトマイシンは、MRSAを含むブドウ球菌属、レンサ球菌属、腸球菌属等、臨床的に最も重要な好気性グラム陽性菌に対して、in vitroで抗菌力を示す。メチシリン、バンコマイシン及びリネゾリド耐性を含む薬剤耐性グラム陽性菌にも抗菌力を示す26)。また、ダプトマイシンは、in vitro及びin vivo動物モデル(マウス、ハムスター、ウサギ、ラット)において、グラム陽性菌に対して速やかかつ用量依存的な殺菌作用を示す27)

    18.3 耐性機序

    ダプトマイシンに対する耐性機序は明らかにされていない。耐性をもたらす伝達性因子は知られていない。他クラスの抗菌薬に対する特異的な耐性機序による交差耐性はみられていない。
    臨床において、ダプトマイシンによる治療後に、ダプトマイシン感受性が低下した黄色ブドウ球菌及び腸球菌の出現が報告されている26)

    18.4 他の抗菌薬との相互作用

    ダプトマイシンと他抗菌薬とのin vitro相互作用試験では、殺菌曲線の検討において拮抗作用はみられていない。ダプトマイシンと、アミノグリコシド系薬剤、βラクタム系薬剤又はリファンピシンとの併用により、メチシリン耐性株を含む黄色ブドウ球菌及びバンコマイシン耐性株を含む腸球菌属に対しin vitroにおいて、相乗作用が示されている28),29)

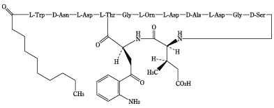
    19. 有効成分に関する理化学的知見

    一般的名称

    ダプトマイシン(Daptomycin)

    化学名

    N-(Decanoyl)-L-tryptophyl-D-asparaginyl-L-aspartyl-L-threonylglycyl-L-ornithyl-L-aspartyl-D-alanyl-L-aspartylglycyl-D-seryl-(3R)-3-methyl-L-glutamyl-3-(2-aminobenzoyl)-L-alanine 1.13→3.4-lactone

    分子式

    C72H101N17O26

    分子量

    1620.67

    性状

    微黄色~黄色の粉末である。水又はメタノールにやや溶けやすく、エタノール(99.5)に溶けにくく、アセトニトリルにほとんど溶けない。

    化学構造式

    略号

    DAP

    22. 包装

    10バイアル

    23. 主要文献

    1) Buitrago, M. I. et al.:Pharmacotherapy, 2009;29:347-351

    2) 第Ⅰ相単回投与試験(キュビシン静注用:2011年7月1日承認、申請資料概要2.7.2.2, 2.5.5.4)

    3) 健康成人を対象とした国内単回投与試験(キュビシン静注用:2013年8月20日承認、審査報告書)

    4) 第Ⅰ相反復投与試験(キュビシン静注用:2011年7月1日承認、申請資料概要2.7.2.2)

    5) 分布(キュビシン静注用:2011年7月1日承認、申請資料概要2.5.3.1, 2.5.3.2, 2.7.2.3)

    6) 腎機能障害患者を対象とした薬物動態試験(キュビシン静注用:2011年7月1日承認、申請資料概要2.7.6.2)

    7) 肝機能障害患者を対象とした薬物動態試験(キュビシン静注用:2011年7月1日承認、申請資料概要2.7.6.2)

    8) ラットにおける組織分布試験(キュビシン静注用:2011年7月1日承認、申請資料概要2.6.4.4)

    9) 14C標識ダプトマイシンを用いたADME試験(キュビシン静注用:2011年7月1日承認、申請資料概要2.7.2.2, 2.7.6.2)

    10) 健康成人を対象とした第Ⅰ相反復投与試験(キュビシン静注用:2011年7月1日承認、審査報告書)

    11) 代謝(キュビシン静注用:2011年7月1日承認、申請資料概要2.6.4.5)

    12) 外国の添付文書(原本)(キュビシン静注用:2011年7月1日承認、申請資料概要1.6.2.2)

    13) 末期腎不全患者(キュビシン静注用:2011年7月1日承認、審査報告書)

    14) 高齢被験者を対象とした薬物動態試験(キュビシン静注用:2011年7月1日承認、申請資料概要2.7.6.2)

    15) 小児患者を対象とした単回投与試験(キュビシン静注用:2011年7月1日承認、申請資料概要2.7.6.2)

    16) 肥満被験者を対象とした薬物動態試験(キュビシン静注用:2011年7月1日承認、申請資料概要2.7.6.2)

    17) 薬物相互作用試験(キュビシン静注用:2011年7月1日承認、申請資料概要2.7.2.2, 2.7.4.5)

    18) Aikawa, N. et al.:J. Infect. Chemother., 2013;19:447-455

    19) 国内第Ⅲ相試験(002試験)(キュビシン静注用:2011年7月1日承認、申請資料概要2.7.4.2, 2.7.6.3)

    20) Fowler, V. G. Jr. et al.:N. Engl. J. Med., 2006;355:653-665

    21) 海外第Ⅲ相試験(DAP-IE-01-02試験)(キュビシン静注用:2011年7月1日承認、申請資料概要2.7.4.2)

    22) Silverman, J. A. et al.:Antimicrob. Agents Chemother., 2003;47:2538-2544

    23) Canepari, P. et al.:Antimicrob. Agents Chemother., 1990;34:1220-1226

    24) Laganas, V. et al.:Antimicrob. Agents Chemother., 2003;47:2682-2684

    25) Hobbs, J. K. et al.:J. Antimicrob. Chemother., 2008;62:1003-1008

    26) in vitro抗菌活性(キュビシン静注用:2011年7月1日承認、申請資料概要2.6.2.2)

    27) 感染動物を用いた試験(キュビシン静注用:2011年7月1日承認、申請資料概要2.6.2.2)

    28) Snydman, D. R. et al.:J. Chemother., 2005;17:614-621

    29) Rand, K. H. et al.:J. Antimicrob. Chemother., 2004;53:530-532

    24. 文献請求先及び問い合わせ先

    沢井製薬株式会社 医薬品情報センター

    〒532-0003 大阪市淀川区宮原5丁目2-30

    TEL:0120-381-999 FAX:06-7708-8966

    26. 製造販売業者等

    26.1 製造販売元

    沢井製薬株式会社

    大阪市淀川区宮原5丁目2-30

    〒100-0013 東京都千代田区霞が関3-3-2 新霞が関ビル

    画面を閉じる

    Copyright © Pharmaceuticals and Medical Devices Agency, All Rights reserved.