医療用医薬品 詳細表示

アミカシン硫酸塩注射液100mg「SW」/アミカシン硫酸塩注射液200mg「SW」

処方せん医薬品

添付文書番号
企業コード
作成又は改訂年月
日本標準商品分類番号
薬効分類名
承認等
一般的名称
2.禁忌(次の患者には投与しないこと)
3.組成・性状
3.1組成
3.2製剤の性状
4.効能又は効果
6.用法及び用量
7.用法及び用量に関連する注意
8.重要な基本的注意
9.特定の背景を有する患者に関する注意
9.1合併症・既往歴等のある患者
9.2腎機能障害患者
9.3肝機能障害患者
9.5妊婦
9.6授乳婦
9.8高齢者
10.相互作用
10.2併用注意(併用に注意すること)
11.副作用
11.1重大な副作用
11.2その他の副作用
13.過量投与
14.適用上の注意
15.その他の注意
15.1臨床使用に基づく情報
15.2非臨床試験に基づく情報
16.薬物動態
16.1血中濃度
16.3分布
16.4代謝
16.5排泄
17.臨床成績
17.1有効性及び安全性に関する試験
18.薬効薬理
18.1作用機序
18.2抗菌作用
18.3不活化酵素に対する安定性
18.4交差耐性
19.有効成分に関する理化学的知見
22.包装
23.主要文献
24.文献請求先及び問い合わせ先
26.製造販売業者等

アミカシン硫酸塩注射液100mg「SW」/アミカシン硫酸塩注射液200mg「SW」

添付文書番号

6123402A1230_1_07

企業コード

300119

作成又は改訂年月

**2026年3月改訂(第3版)
2024年12月改訂(第2版)

日本標準商品分類番号

876123

薬効分類名

アミノグリコシド系抗生物質製剤

承認等

アミカシン硫酸塩注射液100mg「SW」

販売名コード

YJコード

6123402A1230

販売名英語表記

AMIKACIN SULFATE Injection [SW]

販売名ひらがな

あみかしんりゅうさんえんちゅうしゃえき

承認番号等

承認番号

30500AMX00060000

販売開始年月

2023年8月

貯法・有効期間

貯法

室温保存

有効期間

3年

基準名

日本薬局方

アミカシン硫酸塩注射液

アミカシン硫酸塩注射液200mg「SW」

販売名コード

YJコード

6123402A3233

販売名英語表記

AMIKACIN SULFATE Injection [SW]

販売名ひらがな

あみかしんりゅうさんえんちゅうしゃえき

承認番号等

承認番号

30500AMX00061000

販売開始年月

2023年8月

貯法・有効期間

貯法

室温保存

有効期間

3年

基準名

日本薬局方

アミカシン硫酸塩注射液

一般的名称

アミカシン硫酸塩

2. 禁忌(次の患者には投与しないこと)

本剤の成分並びにアミノグリコシド系抗生物質又はバシトラシンに対し過敏症の既往歴のある患者

3. 組成・性状

3.1 組成

アミカシン硫酸塩注射液100mg「SW」

1アンプル(1mL)中
有効成分日局アミカシン硫酸塩   100mg(力価)
添加剤クエン酸ナトリウム水和物   14mg
亜硫酸水素ナトリウム   1mg
パラオキシ安息香酸メチル   0.45mg
パラオキシ安息香酸プロピル   0.05mg
pH調節剤  

アミカシン硫酸塩注射液200mg「SW」

1アンプル(2mL)中
有効成分日局アミカシン硫酸塩   200mg(力価)
添加剤クエン酸ナトリウム水和物   28mg
亜硫酸水素ナトリウム   2mg
パラオキシ安息香酸メチル   0.9mg
パラオキシ安息香酸プロピル   0.1mg
pH調節剤  

3.2 製剤の性状

アミカシン硫酸塩注射液100mg「SW」

pH6.0~7.5
浸透圧比約1(生理食塩液に対する比)
剤形・性状無色~微黄色澄明の注射液

アミカシン硫酸塩注射液200mg「SW」

pH6.0~7.5
浸透圧比約1(生理食塩液に対する比)
剤形・性状無色~微黄色澄明の注射液

4. 効能又は効果

  • 〈適応菌種〉

    アミカシンに感性の大腸菌、シトロバクター属、クレブシエラ属、エンテロバクター属、セラチア属、プロテウス属、モルガネラ・モルガニー、プロビデンシア属、緑膿菌

  • 〈適応症〉

    敗血症、外傷・熱傷及び手術創等の二次感染、肺炎、肺膿瘍、慢性呼吸器病変の二次感染、膀胱炎、腎盂腎炎、腹膜炎

6. 用法及び用量

  • 〈筋肉内投与の場合〉

    通常、成人1回アミカシン硫酸塩として100~200mg(力価)を1日1~2回筋肉内投与する。小児は、アミカシン硫酸塩として1日4~8mg(力価)/kgとし、1日1~2回筋肉内投与する。
    なお、年齢及び症状により適宜増減する。

  • 〈点滴静脈内投与の場合〉

    通常、成人1回アミカシン硫酸塩として100~200mg(力価)を、1日2回点滴静脈内投与する。小児はアミカシン硫酸塩として1日4~8mg(力価)/kgとし、1日2回点滴静脈内投与する。また、新生児(未熟児を含む)は、1回アミカシン硫酸塩として6mg(力価)/kgを、1日2回点滴静脈内投与する。
    なお、年齢、体重及び症状により適宜増減する。
    点滴静脈内投与の場合には、通常100~500mLの補液中に100~200mg(力価)の割合で溶解し、30分~1時間かけて投与すること。

7. 用法及び用量に関連する注意

腎障害患者では、起炎菌の感受性、感染症の重症度、感染部位、腎機能障害の程度を考慮に入れ、投与量・投与間隔を調整すること。,

  1. 7.1 1回投与量を調節する方法

    体重及びクレアチニン・クリアランスを用い、図1又は計算式より求めた初回量及び維持量を投与する1)

  2. 7.2 投与間隔を調節する方法

    「血清クレアチニン値×9」時間ごとに通常量を投与する。

8. 重要な基本的注意

  1. 8.1 本剤によるショック、アナフィラキシーの発生を確実に予知できる方法がないので、次の措置をとること。
    1. 8.1.1 事前に既往歴等について十分な問診を行うこと。なお、抗生物質等によるアレルギー歴は必ず確認すること。
    2. 8.1.2 投与に際しては、必ずショック等に対する救急処置のとれる準備をしておくこと。
    3. 8.1.3 投与開始から投与終了後まで、患者を安静の状態に保たせ、十分な観察を行うこと。特に、投与開始直後は注意深く観察すること。
  2. 8.2 眩暈、耳鳴、難聴等の第8脳神経障害があらわれることがあるので慎重に投与すること。特に腎機能障害患者、高齢者、長期間投与患者及び大量投与患者等では血中濃度が高くなりやすく、聴力障害の危険性がより大きくなるので、聴力検査を実施することが望ましい。アミノグリコシド系抗生物質の聴力障害は、高周波音に始まり低周波音へと波及するので、障害の早期発見のために、聴力検査の最高周波数である8kHzでの検査が有用である。,,,
  3. 8.3 急性腎障害等の重篤な腎障害があらわれることがあるので、定期的に検査を実施するなど観察を十分に行うこと。,
  4. 8.4 投与後は血中濃度をモニタリングすることが望ましい。
  5. 8.5 本剤の使用にあたっては、耐性菌の発現等を防ぐため、原則として感受性を確認し、疾病の治療上必要な最小限の期間の投与にとどめること。

9. 特定の背景を有する患者に関する注意

9.1 合併症・既往歴等のある患者

  1. 9.1.1 本人又はその血族がアミノグリコシド系抗生物質による難聴又はその他の難聴のある患者

    難聴が発現又は増悪するおそれがある。

  2. 9.1.2 重症筋無力症の患者

    神経筋遮断作用があり呼吸抑制があらわれることがある。

  3. 9.1.3 経口摂取の不良な患者又は非経口栄養の患者、全身状態の悪い患者

    観察を十分に行うこと。ビタミンK欠乏症状があらわれることがある。

9.2 腎機能障害患者

投与量を減らすか、投与間隔をあけて投与すること。高い血中濃度が持続し、腎障害が悪化するおそれがあり、また、第8脳神経障害等の副作用が強くあらわれるおそれがある。,

9.3 肝機能障害患者

肝障害を悪化させるおそれがある。

9.5 妊婦

妊婦又は妊娠している可能性のある女性には、治療上の有益性が危険性を上回ると判断される場合にのみ投与すること。アミカシン硫酸塩はヒト胎盤を通過する。新生児に第8脳神経障害があらわれるおそれがある。

9.6 授乳婦

治療上の有益性及び母乳栄養の有益性を考慮し、授乳の継続又は中止を検討すること。

9.8 高齢者

次の点に注意し、用量並びに投与間隔に留意するなど患者の状態を観察しながら慎重に投与すること。

  1. 9.8.1 本剤は主として腎臓から排泄されるが、高齢者では腎機能が低下していることが多いため、高い血中濃度が持続するおそれがあり、第8脳神経障害、腎障害等の副作用があらわれやすい。,
  2. 9.8.2 ビタミンK欠乏による出血傾向があらわれることがある。

10. 相互作用

    10.2 併用注意(併用に注意すること)

    薬剤名等臨床症状・措置方法機序・危険因子

    腎障害を起こすおそれのある血液代用剤

    • デキストラン
      ヒドロキシエチルデンプン 等

    腎障害が発現、悪化することがあるので、併用は避けることが望ましい。

    腎障害が発生した場合には、投与を中止し、透析療法等適切な処置を行うこと。

    機序は明確でないが、併用によりアミノグリコシド系抗生物質の血中への蓄積、近位尿細管上皮の空胞変性が生じるという報告がある。

    ループ利尿剤

    • フロセミド
      アゾセミド
    • *トラセミド 等

    腎障害及び聴器障害が発現、悪化するおそれがあるので、併用は避けることが望ましい。

    機序は明確でないが、併用によりアミノグリコシド系抗生物質の血中濃度の上昇、腎への蓄積が起こるという報告がある。

    腎毒性及び聴器毒性を有する薬剤

    • バンコマイシン塩酸塩
      エンビオマイシン硫酸塩
      白金含有抗悪性腫瘍剤(シスプラチン、カルボプラチン、ネダプラチン) 等

    腎障害及び聴器障害が発現、悪化するおそれがあるので、併用は避けることが望ましい。

    両薬剤ともに腎毒性、聴器毒性を有するが、相互作用の機序は不明。

    麻酔剤

    筋弛緩剤

    • *ロクロニウム臭化物
      A型ボツリヌス毒素製剤 等

    *コリスチンメタンスルホン酸ナトリウム

    呼吸抑制があらわれるおそれがある。呼吸抑制があらわれた場合には必要に応じ、コリンエステラーゼ阻害剤、カルシウム製剤の投与等の適切な処置を行うこと。

    両薬剤ともに神経筋遮断作用を有しており、併用によりその作用が増強される。

    腎毒性を有する薬剤

    • シクロスポリン
      アムホテリシンB 等

    腎障害が発現、悪化するおそれがある。

    両薬剤ともに腎毒性を有するが、相互作用の機序は不明。

    11. 副作用

    次の副作用があらわれることがあるので、観察を十分に行い、異常が認められた場合には投与を中止するなど適切な処置を行うこと。

    11.1 重大な副作用

    1. 11.1.1 ショック(0.1%未満)

      初期症状として、不快感、口内異常感、喘鳴、眩暈、便意、耳鳴、発汗等があらわれることがある。

    2. 11.1.2 第8脳神経障害(0.1~5%未満)

      耳鳴・耳閉塞感・耳痛・眩暈・難聴等の第8脳神経障害(主として蝸牛機能障害)があらわれることがある。

    3. 11.1.3 急性腎障害(頻度不明)

      重篤な腎障害があらわれることがある。

    11.2 その他の副作用

    0.1~5%未満

    0.1%未満

    頻度不明

    過敏症

    発疹

    そう痒、発熱

    腎臓

    浮腫、蛋白尿、血尿、血清クレアチニン上昇、BUN上昇、乏尿

    カリウム等の電解質異常

    肝臓

    AST上昇、ALT上昇

    Al-P上昇

    血液

    白血球減少、好酸球増多

    消化器

    下痢、悪心・嘔吐

    ビタミン欠乏症

    ビタミンK欠乏症状(低プロトロンビン血症、出血傾向等)、ビタミンB群欠乏症状(舌炎、口内炎、食欲不振、神経炎等)

    投与部位

    (筋注の場合)

    注射部位の疼痛、硬結

    その他

    頭痛、口唇部のしびれ感

    13. 過量投与

    1. 13.1 症状

      腎障害、聴覚障害、前庭障害、神経筋遮断症状、呼吸麻痺があらわれることがある。

    2. 13.2 処置

      血液透析、腹膜透析による薬剤の除去を行う。神経筋遮断症状、呼吸麻痺に対してはコリンエステラーゼ阻害剤、カルシウム製剤の投与又は機械的呼吸補助を行う。

    14. 適用上の注意

    14.1 薬剤投与時の注意

    • 〈投与経路共通〉
      1. 14.1.1 β-ラクタム系抗生物質製剤と本剤との混注により、両剤ともに不活性化されるとの報告がある。それぞれ別経路にて投与を行うこと。
    • 〈筋肉内投与〉
      1. 14.1.2 下記の点に注意すること。
        1. (1) やむを得ない場合にのみ必要最小限に行うこと。
        2. (2) 同一部位への反復注射は行わないこと。
        3. (3) 神経走行部位を避けること。
        4. (4) 注射針を刺入したとき、激痛を訴えたり、血液の逆流をみた場合は直ちに針を抜き、部位をかえて注射すること。
        5. (5) 注射部位に疼痛、硬結をみることがある。
    • 〈点滴静脈内投与〉
      1. 14.1.3 副作用発生を防ぐため、必ず30分以上かけて投与すること。

    15. その他の注意

    15.1 臨床使用に基づく情報

    1. 15.1.1 クエン酸で抗凝固処理した血液を大量輸血された患者にアミノグリコシド系抗生物質を投与すると、投与経路にかかわらず、神経筋遮断症状、呼吸麻痺があらわれることがある。
    2. 15.1.2 **本剤は添加剤として亜硫酸塩を含有している。喘息患者では非喘息患者よりも亜硫酸塩に対する過敏症が多く認められるとの報告がある。

    15.2 非臨床試験に基づく情報

    1. 15.2.1 聴器毒性

      モルモットにアミカシンを筋肉内投与した実験(40、100、200mg/kg、28日間)で、耳介反射の消失を認めるとともに、ラセン器の外有毛細胞の消失が認められたとの報告がある2)

    2. 15.2.2 腎毒性

      ラットにアミカシンを背部皮下投与した実験(25、100、400mg/kg、30日間)で、腎重量増加がみられるとともに近位尿細管の内腔拡張、上皮の扁平化が認められたとの報告がある3)

    16. 薬物動態

    16.1 血中濃度

    1. 16.1.1 健康成人にアミカシン硫酸塩100mg(力価)又は200mg(力価)を筋注した場合、血中濃度のピークは30分ないし1時間後にあり、それぞれ5.8~8.5μg/mL(n=3)、13.5~15.0μg/mL(n=2)を示した。
      また、健康成人(n=6)に100mg(力価)又は200mg(力価)を1時間で点滴静注した場合、血中濃度のピークは点滴終了時にあり、それぞれ7.5~8.6μg/mL、13.9~18.8μg/mLを示し、血中半減期(t1/2)は、1.7~2.2時間である(図1)。
      なお、健康成人(n=3)に200mg(力価)をCross overにより筋注及び点滴静注した場合、両者の血中濃度推移は図2のとおりほぼ一致し、t1/2、血中濃度曲線下面積(AUC)もほぼ同一の値を示す4),5),6)
      図1 健康成人での点滴静注時の血中濃度
      図2 健康成人での筋注・点滴静注時の血中濃度
    2. 16.1.2 生物学的同等性試験

      アミカシン硫酸塩注射液100mg「SW」とビクリン注射液を健康成人男子にそれぞれ1mL[アミカシン硫酸塩として100mg(力価)]絶食時単回筋肉内投与(クロスオーバー法)し、血漿中アミカシン濃度を測定した。得られた薬物動態パラメータ(AUC、Cmax)について統計解析を行った結果、両剤の生物学的同等性が確認された7)

      アミカシン硫酸塩として100mg(力価)投与時の薬物動態パラメータ

      Cmax
      [μg(力価)/mL]

      Tmax
      (hr)

      T1/2
      (hr)

      AUC0-6hr
      [μg(力価)・hr/mL]

      アミカシン硫酸塩注射液100mg「SW」

      7.08±0.87

      0.58±0.24

      1.83±0.21

      18.00±1.98

      ビクリン注射液

      6.78±0.78

      0.53±0.28

      2.00±0.40

      17.71±2.22

      (Mean±S.D., n=10)

      血漿中濃度ならびにAUC、Cmax等のパラメータは、被験者の選択、体液の採取回数・時間等の試験条件によって異なる可能性がある。

    16.3 分布

    1. 16.3.1 組織内移行

      口蓋扁桃、咽頭扁桃、上顎洞粘膜、喀痰、臍帯血、羊水などへの移行が認められる。なお、乳汁中への移行は痕跡程度に認められるにすぎない8),9),10)

    16.4 代謝

    アミカシン硫酸塩は生体内で代謝を受けない11)

    16.5 排泄

    健康成人にアミカシン硫酸塩100mg(力価)又は200mg(力価)を筋注した場合の8時間までの平均尿中排泄率はそれぞれ、73.3%、72.4%である。また、1時間点滴静注の場合、点滴終了後6時間までの平均尿中排泄率はそれぞれ64.4%、68.8%で、ともに速やかに尿中に排泄される4),5)

    17. 臨床成績

    17.1 有効性及び安全性に関する試験

    1. 17.1.1 国内二重盲検比較試験

      急性単純性膀胱炎の患者に対しアミカシン硫酸塩(AMK)及びベカナマイシン硫酸塩(AKM)それぞれ200mg(力価)を1日1回3日間、筋肉内注射にて投与する二重盲検比較試験において、AMK投与49例では著効38例、有効8例で有効率93.9%(46/49例)であり、AMKの有用性が示された。また、AKM投与56例では著効38例、有効15例で有効率94.6%(53/56例)であり、両群間に有意差を認めなかった。AMK投与群において副作用は3例に認められ、耳鳴(1/49例)、発熱(1/49例)、注射部位疼痛(1/49例)であった12)

    2. 17.1.2 国内二重盲検比較試験

      急性腎盂腎炎の患者に対しアミカシン硫酸塩(AMK)及びベカナマイシン硫酸塩(AKM)それぞれ200mg(力価)を1日1回7日間、筋肉内注射にて投与する二重盲検比較試験において、AMK投与21例では著効14例、有効7例で有効率100.0%(21/21例)であり、AMKの有用性が示された。また、AKM投与19例では著効11例、有効6例で有効率89.5%であり、両群間に有意差を認めなかった。AMK投与群において副作用は5例に認められたが全て注射部疼痛(5/21例)であった12)

    3. 17.1.3 国内二重盲検比較試験

      膀胱・前立腺手術後(留置カテーテル抜去後)尿路感染症及び複雑性尿路感染症の患者に対しアミカシン硫酸塩(AMK)及びベカナマイシン硫酸塩(AKM)それぞれ200mg(力価)を1日2回7日間、筋肉内注射にて投与する二重盲検比較試験において、AMK投与31例では著効5例、有効16例で有効率67.7%(21/31例)、AKM投与37例では著効2例、有効12例で有効率37.8%であり、AMK投与群の方が有意差をもって有用であった。なお、AMK投与群において副作用は認められなかった12)

    18. 薬効薬理

    18.1 作用機序

    細菌の蛋白合成を阻害することにより細胞分裂の増殖のプロセスを阻止し、殺菌的に作用する11)

    18.2 抗菌作用

    アミカシン硫酸塩は広い抗菌スペクトルを有し、緑膿菌、プロテウス、セラチア、大腸菌、クレブシエラなどのグラム陰性菌に対して強い抗菌力を示す13),14)

    18.3 不活化酵素に対する安定性

    アミノグリコシド系抗生物質を不活化する種々の酵素に対して強い抵抗を示す14)

    18.4 交差耐性

    他のアミノグリコシド系抗生物質との間に交差耐性はほとんど認められない13),14)

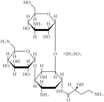
    19. 有効成分に関する理化学的知見

    一般的名称

    アミカシン硫酸塩(Amikacin Sulfate)

    化学名

    3-Amino-3-deoxy-α-D-glucopyranosyl-(1→6)-[6-amino-6-deoxy-α-D-glucopyranosyl-(1→4)]-1-N-[(2S)-4-amino-2-hydroxybutanoyl]-2-deoxy-D-streptamine disulfate

    分子式

    C22H43N5O13・2H2SO4

    分子量

    781.76

    性状

    白色~黄白色の粉末である。水に極めて溶けやすく、エタノール(95)にほとんど溶けない。

    化学構造式

    略号

    AMK

    22. 包装

    • 〈アミカシン硫酸塩注射液100mg「SW」〉

      10アンプル(1mL/アンプル)

    • 〈アミカシン硫酸塩注射液200mg「SW」〉

      10アンプル(2mL/アンプル)

    24. 文献請求先及び問い合わせ先

    沢井製薬株式会社 医薬品情報センター

    〒532-0003 大阪市淀川区宮原5丁目2-30

    TEL:0120-381-999 FAX:06-7708-8966

    26. 製造販売業者等

    26.1 製造販売元

    沢井製薬株式会社

    大阪市淀川区宮原5丁目2-30

    〒100-0013 東京都千代田区霞が関3-3-2 新霞が関ビル

    画面を閉じる

    Copyright © Pharmaceuticals and Medical Devices Agency, All Rights reserved.