医療用医薬品 詳細表示

セフトリアキソンNa静注用0.5g「サワイ」/セフトリアキソンNa静注用1g「サワイ」

処方せん医薬品

添付文書番号
企業コード
作成又は改訂年月
日本標準商品分類番号
薬効分類名
承認等
一般的名称
2.禁忌(次の患者には投与しないこと)
3.組成・性状
3.1組成
3.2製剤の性状
4.効能又は効果
5.効能又は効果に関連する注意
6.用法及び用量
7.用法及び用量に関連する注意
8.重要な基本的注意
9.特定の背景を有する患者に関する注意
9.1合併症・既往歴等のある患者
9.2腎機能障害患者
9.5妊婦
9.6授乳婦
9.7小児等
9.8高齢者
10.相互作用
10.2併用注意(併用に注意すること)
11.副作用
11.1重大な副作用
11.2その他の副作用
12.臨床検査結果に及ぼす影響
13.過量投与
14.適用上の注意
16.薬物動態
16.1血中濃度
16.3分布
16.4代謝
16.5排泄
16.6特定の背景を有する患者
17.臨床成績
17.1有効性及び安全性に関する試験
18.薬効薬理
18.1作用機序
18.2抗菌作用
19.有効成分に関する理化学的知見
20.取扱い上の注意
22.包装
23.主要文献
24.文献請求先及び問い合わせ先
26.製造販売業者等

セフトリアキソンNa静注用0.5g「サワイ」/セフトリアキソンNa静注用1g「サワイ」

添付文書番号

6132419F1119_1_09

企業コード

300119

作成又は改訂年月

2023年8月改訂(第1版)

日本標準商品分類番号

876132

薬効分類名

セフェム系抗生物質製剤

承認等

セフトリアキソンNa静注用0.5g「サワイ」

販売名コード

YJコード

6132419F1119

販売名英語表記

CEFTRIAXONE Na for Intravenous Injection [SAWAI]

販売名ひらがな

せふとりあきそんなとりうむじょうちゅうよう

承認番号等

承認番号

22400AMX00137000

販売開始年月

2009年11月

貯法・有効期間

貯法

室温保存

有効期間

3年

セフトリアキソンNa静注用1g「サワイ」

販売名コード

YJコード

6132419F2131

販売名英語表記

CEFTRIAXONE Na for Intravenous Injection [SAWAI]

販売名ひらがな

せふとりあきそんなとりうむじょうちゅうよう

承認番号等

承認番号

22400AMX00136000

販売開始年月

2002年9月

貯法・有効期間

貯法

室温保存

有効期間

3年

一般的名称

セフトリアキソンナトリウム水和物

2. 禁忌(次の患者には投与しないこと)

  1. 2.1 本剤の成分に対し過敏症の既往歴のある患者
  2. 2.2 高ビリルビン血症の低出生体重児、新生児

3. 組成・性状

3.1 組成

セフトリアキソンNa静注用0.5g「サワイ」

1バイアル中
有効成分日局セフトリアキソンナトリウム水和物   0.5g(力価)

セフトリアキソンNa静注用1g「サワイ」

1バイアル中
有効成分日局セフトリアキソンナトリウム水和物   1g(力価)

3.2 製剤の性状

セフトリアキソンNa静注用0.5g「サワイ」

pH6.0~8.0[100mg(力価)/mL溶液]
浸透圧比1.2~1.5[100mg(力価)/mL注射用水]
(生理食塩液に対する比)
剤形・性状白色~淡黄白色の結晶性の粉末
用時溶解して用いる注射剤

セフトリアキソンNa静注用1g「サワイ」

pH6.0~8.0[100mg(力価)/mL溶液]
浸透圧比約1.3[100mg(力価)/mL注射用水]
(生理食塩液に対する比)
剤形・性状白色~淡黄白色の結晶性の粉末
用時溶解して用いる注射剤

4. 効能又は効果

〈適応菌種〉
セフトリアキソンに感性のブドウ球菌属、レンサ球菌属、肺炎球菌、淋菌、大腸菌、シトロバクター属、クレブシエラ属、エンテロバクター属、セラチア属、プロテウス属、モルガネラ・モルガニー、プロビデンシア属、インフルエンザ菌、ペプトストレプトコッカス属、バクテロイデス属、プレボテラ属(プレボテラ・ビビアを除く)
〈適応症〉
敗血症、咽頭・喉頭炎、扁桃炎、急性気管支炎、肺炎、肺膿瘍、膿胸、慢性呼吸器病変の二次感染、膀胱炎、腎盂腎炎、精巣上体炎(副睾丸炎)、尿道炎、子宮頸管炎、骨盤内炎症性疾患、直腸炎、腹膜炎、腹腔内膿瘍、胆嚢炎、胆管炎、バルトリン腺炎、子宮内感染、子宮付属器炎、子宮旁結合織炎、化膿性髄膜炎、角膜炎(角膜潰瘍を含む)、中耳炎、副鼻腔炎、顎骨周辺の蜂巣炎、顎炎

5. 効能又は効果に関連する注意

  • 〈咽頭・喉頭炎、扁桃炎、急性気管支炎、中耳炎、副鼻腔炎〉

    「抗微生物薬適正使用の手引き」1)を参照し、抗菌薬投与の必要性を判断した上で、本剤の投与が適切と判断される場合に投与すること。

6. 用法及び用量

  • 〈成人〉
    1. 6.1 通常、1日1~2g(力価)を1回又は2回に分けて静脈内注射又は点滴静注する。
    2. 6.2 難治性又は重症感染症には症状に応じて1日量を4g(力価)まで増量し、2回に分けて静脈内注射又は点滴静注する。
    3. 6.3 淋菌感染症については、下記の通り投与する。
      1. 6.3.1 咽頭・喉頭炎、尿道炎、子宮頸管炎、直腸炎:
        通常、1g(力価)を単回静脈内注射又は単回点滴静注する。
      2. 6.3.2 精巣上体炎(副睾丸炎)、骨盤内炎症性疾患:
        通常、1日1回1g(力価)を静脈内注射又は点滴静注する。
  • 〈小児〉
    1. 6.1 通常、1日20~60mg(力価)/kgを1回又は2回に分けて静脈内注射又は点滴静注する。
    2. 6.2 難治性又は重症感染症には症状に応じて1日量を120mg(力価)/kgまで増量し、2回に分けて静脈内注射又は点滴静注する。
  • 〈低出生体重児・新生児〉
    1. 6.1 通常、生後0~3日齢には1回20mg(力価)/kgを1日1回、また、生後4日齢以降には1回20mg(力価)/kgを1日2回静脈内注射又は点滴静注する。
    2. 6.2 難治性又は重症感染症には症状に応じて1回量を40mg(力価)/kgまで増量し、1日2回静脈内注射又は点滴静注する。ただし、生後2週間以内の未熟児・新生児には1日50mg(力価)/kgまでとする。
  • 〈静脈内注射〉

    静脈内注射に際しては、日局注射用水、日局生理食塩液又は日局ブドウ糖注射液に溶解し、緩徐に投与する。

  • 〈点滴静注〉

    点滴静注に際しては補液に溶解して用いる。

7. 用法及び用量に関連する注意

高度の腎機能障害患者は、血中濃度を頻回に測定できない場合には投与量が1g/日を超えないようにすること。,,

8. 重要な基本的注意

  1. 8.1 本剤の使用にあたっては、耐性菌の発現等を防ぐため、原則として感受性を確認し、疾病の治療上必要な最小限の期間の投与にとどめること。
  2. 8.2 本剤によるショック、アナフィラキシーの発生を確実に予知できる方法がないので、次の措置をとること。
    1. 8.2.1 事前に既往歴等について十分な問診を行うこと。なお、抗生物質等によるアレルギー歴は必ず確認すること。
    2. 8.2.2 投与に際しては、必ずショック等に対する救急処置のとれる準備をしておくこと。
    3. 8.2.3 投与開始から投与終了後まで、患者を安静の状態に保たせ、十分な観察を行うこと。特に、投与開始直後は注意深く観察すること。
  3. 8.3 本剤を投与する場合は、カルシウムを含有する注射剤又は輸液と同時に投与しないこと。国外において、新生児に本剤とカルシウムを含有する注射剤又は輸液を同一経路から同時に投与した場合に、肺、腎臓等に生じたセフトリアキソンを成分とする結晶により、死亡に至った症例が報告されている。
  4. 8.4 汎血球減少、無顆粒球症、白血球減少、血小板減少、溶血性貧血があらわれることがあるので定期的に検査を行うこと。
  5. 8.5 劇症肝炎等の重篤な肝炎、AST、ALT、γ-GTPの上昇等を伴う肝機能障害、黄疸があらわれることがあるので定期的に検査を行うこと。
  6. 8.6 急性腎障害、間質性腎炎があらわれることがあるので定期的に検査を行うこと。

9. 特定の背景を有する患者に関する注意

9.1 合併症・既往歴等のある患者

  1. 9.1.1 セフェム系又はペニシリン系抗生物質に対し過敏症の既往歴のある患者(ただし、本剤に対し過敏症の既往歴のある患者には投与しないこと)
  2. 9.1.2 本人又は両親、兄弟に気管支喘息、発疹、蕁麻疹等のアレルギー症状を起こしやすい体質を有する患者
  3. 9.1.3 経口摂取の不良な患者又は非経口栄養の患者、全身状態の悪い患者

    観察を十分に行うこと。ビタミンK欠乏症状があらわれることがある。

9.2 腎機能障害患者

  1. 9.2.1 高度の腎障害のある患者

    本剤が過剰に蓄積する可能性がある。,,

9.5 妊婦

妊婦又は妊娠している可能性のある女性には治療上の有益性が危険性を上回ると判断される場合にのみ投与すること。

9.6 授乳婦

授乳しないことが望ましい。ヒト母乳中へ低濃度移行することが報告されている。

9.7 小児等

高ビリルビン血症の低出生体重児、新生児には投与しないこと。セフトリアキソンは他のセファロスポリン系薬剤と同様に血清アルブミンと結合しているビリルビンを遊離させることが報告されている(in vitro)。さらに低出生体重児、新生児は血液脳関門が未熟なため遊離ビリルビンが脳内へ移行し核黄疸をおこすおそれがある。,

9.8 高齢者

次の点に注意し、用量並びに投与間隔に留意するなど患者の状態を観察しながら慎重に投与すること。

  1. 9.8.1 生理機能が低下していることが多い。
  2. 9.8.2 ビタミンK欠乏による出血傾向があらわれることがある。

10. 相互作用

    10.2 併用注意(併用に注意すること)

    薬剤名等臨床症状・措置方法機序・危険因子

    利尿剤

    • フロセミド 等

    類似化合物(他のセフェム系抗生物質)で併用による腎障害増強作用が報告されている。腎機能に注意すること。

    機序は不明であるが、利尿時の脱水による血中濃度の上昇等が考えられる。

    11. 副作用

    次の副作用があらわれることがあるので、観察を十分に行い、異常が認められた場合には投与を中止するなど適切な処置を行うこと。

    11.1 重大な副作用

    1. 11.1.1 ショック、アナフィラキシー(いずれも頻度不明)

      不快感、口内異常感、喘鳴、眩暈、便意、耳鳴、発汗、呼吸困難、顔面浮腫等の症状があらわれた場合には投与を中止し、適切な処置を行うこと。

    2. 11.1.2 汎血球減少、無顆粒球症、白血球減少、血小板減少、溶血性貧血(いずれも頻度不明)

    3. 11.1.3 劇症肝炎、肝機能障害、黄疸(いずれも頻度不明)

      劇症肝炎等の重篤な肝炎、AST、ALT、γ-GTPの上昇等を伴う肝機能障害、黄疸があらわれることがある。

    4. 11.1.4 急性腎障害、間質性腎炎(いずれも頻度不明)

    5. 11.1.5 偽膜性大腸炎(頻度不明)

      偽膜性大腸炎等の血便を伴う重篤な大腸炎があらわれることがあるので、腹痛、頻回の下痢があらわれた場合には直ちに投与を中止するなど適切な処置を行うこと。

    6. 11.1.6 中毒性表皮壊死融解症(Toxic Epidermal Necrolysis:TEN)、皮膚粘膜眼症候群(Stevens-Johnson症候群)、多形紅斑、急性汎発性発疹性膿疱症(いずれも頻度不明)
    7. 11.1.7 間質性肺炎、肺好酸球増多症(PIE症候群)(いずれも頻度不明)

      発熱、咳嗽、呼吸困難、胸部X線異常、好酸球増多を伴う間質性肺炎、肺好酸球増多症(PIE症候群)があらわれることがあるので、このような症状があらわれた場合には投与を中止し、副腎皮質ホルモン剤の投与等の適切な処置を行うこと。

    8. 11.1.8 胆石、胆嚢内沈殿物(いずれも頻度不明)

      セフトリアキソンを成分とする胆石、胆嚢内沈殿物が投与中あるいは投与後にあらわれ、胆嚢炎、胆管炎、膵炎等を起こすことがあるので、腹痛等の症状があらわれた場合には投与を中止し、速やかに腹部超音波検査等を行い、適切な処置を行うこと。なお、多くの症例は小児の重症感染症への大量投与例でみられている。

    9. 11.1.9 腎・尿路結石(頻度不明)

      セフトリアキソンを成分とする腎・尿路結石が投与中あるいは投与後にあらわれ、尿量減少、排尿障害、血尿、結晶尿等の症状や腎後性急性腎不全が起きたとの国外報告がある。

    10. 11.1.10 精神神経症状(頻度不明)

      意識障害(意識消失、意識レベルの低下等)、痙攣、不随意運動(舞踏病アテトーゼ、ミオクローヌス等)があらわれることがある。これらの症状は、高度腎障害患者での発現が多数報告されている。,,

    11.2 その他の副作用

    1%以上

    0.1~1%未満

    0.1%未満

    頻度不明

    過敏症

    発疹

    蕁麻疹、発熱、瘙痒

    発赤、紅斑

    血液

    好酸球増多

    顆粒球減少、貧血、血小板増多

    異常プロトロンビン

    好塩基球増多

    消化器

    下痢

    嘔気、嘔吐、腹痛

    食欲不振

    軟便

    菌交代症

    口内炎、カンジダ症

    ビタミン欠乏症

    ビタミンK欠乏症状(低プロトロンビン血症、出血傾向)、ビタミンB群欠乏症状(舌炎、口内炎、食欲不振、神経炎)

    その他

    頭痛、浮腫、心室性期外収縮

    注射部位反応(紅斑、疼痛、腫脹等)

    12. 臨床検査結果に及ぼす影響

    1. 12.1 テステープ反応を除くベネディクト試薬、フェーリング試薬による尿糖検査では偽陽性を呈することがあるので注意すること。
    2. 12.2 直接クームス試験陽性を呈することがあるので注意すること。
    3. 12.3 キノプロテイングルコースデヒドロゲナーゼ(変異型)酵素比色法を用いた血糖測定法では、偽低値を呈することがあるので注意すること。

    13. 過量投与

    1. 13.1 処置

      腹膜透析や血液透析では除去されない。

    14. 適用上の注意

    14.1 薬剤調製時の注意

    1. 14.1.1 溶解後は速やかに使用すること。特にグルタチオン製剤、高濃度アミノ酸類の補液に溶解して使用の場合は留意のこと。
    2. 14.1.2 配合変化(輸液中での配合時)
      配合時には配合変化データを参照のこと。
      1. (1) 本剤はトブラマイシン、ベカナマイシン硫酸塩、ジベカシン硫酸塩との配合により混濁等の変化が認められるので、配合しないこと。
      2. (2) カルシウムを含有する注射剤又は輸液との配合により混濁等の変化が認められたとの報告があるので、配合しないこと。
    3. 14.1.3 点滴静注を行う場合には、溶液が等張にならないため、注射用水を用いないこと。

    14.2 薬剤投与時の注意

    1. 14.2.1 静脈内大量投与により、まれに血管痛、血栓性静脈炎、ほてり感、嘔気、嘔吐を起こすことがあるので注射速度はできるだけ遅くすること。
    2. 14.2.2 点滴静注は30分以上かけて静脈内に注射すること。

    16. 薬物動態

    16.1 血中濃度

    • 〈成人〉

      健康成人男子に1gを静注あるいは点滴静注した際の血中半減期は8.1時間及び7.1時間であった2),3)

    • 〈小児等〉

      出生28日以内の新生児にセフトリアキソンナトリウム10mg/kg(37例)、または20mg/kg(68例)を単回静注した際の血中半減期は約10.9時間であった4)

    16.3 分布

    1. 16.3.1 組織内移行

      セフトリアキソンナトリウムは病巣においても有効濃度が長時間持続する。1g静注約24時間後の平均値は、胆管胆汁中131μg/mL5)、腹腔内浸出液中11.8μg/mL6)、子宮・卵巣中3.5~6.8μg/g7)、骨盤死腔浸出液中22μg/mL8)であった。
      また、扁桃9)、喀痰10)、胆嚢組織5)、虫垂壁11)、羊水12)、乳突洞粘膜13)、上顎洞粘膜14)、口腔組織15)、精巣上体16)への移行も認められ、わずかながら乳汁12)への移行も認められた。
      小児化膿性髄膜炎患者での髄液中濃度17)は約50mg/kg静注あるいは点滴静注で、平均7.7μg/mL(投与0~6時間後)、平均6.8μg/mL(投与6~12時間後)であった。

    2. 16.3.2 蛋白結合率

      セフトリアキソンナトリウムの蛋白結合率は血中濃度依存的であり、血中濃度が0.5~300μg/mLの範囲の時、蛋白結合率は96.3~83.3%である18)

    16.4 代謝

    尿中には抗菌活性を有する代謝物は認められていない19)

    16.5 排泄

    セフトリアキソンナトリウムは未変化体で尿中、胆汁中に排泄される。健康成人男子に0.5、1gを静注あるいは点滴静注したとき、投与後24時間の尿中排泄率は約50%であった19)

    16.6 特定の背景を有する患者

    1. 16.6.1 腎機能障害患者

      高齢患者4例及び腎機能障害(Ccr16.4,19.8mL/分)のある高齢患者2例に1g静注した際の血中半減期は各々13.5時間、21.3時間であり延長が認められた20),,

    17. 臨床成績

    17.1 有効性及び安全性に関する試験

    • 〈中耳炎〉
      1. 17.1.1 国内臨床試験

        急性中耳炎及び慢性中耳炎患者117例を対象に、セフトリアキソンナトリウム1g(力価)を1日1回静脈内投与したときの有効率は下表のとおりであった21)
        なお、副作用の発現割合は4.3%(5/117例)であり、副作用は発疹・発赤2.6%(3/117例)、嘔気1.7%(2/117例)、蕁麻疹、気分不良、腹部不快感及び冷汗がそれぞれ0.9%(1/117例)であった。

        感染症

        例数

        有効率(%)

        耳鼻咽喉科
        感染症

        急性中耳炎
        慢性中耳炎

        17
        88

        70.6
        62.5

    • 〈咽頭・喉頭炎、尿道炎、子宮頸管炎、骨盤内炎症性疾患、直腸炎〉
      1. 17.1.2 淋菌感染症については、国内外において、咽頭・喉頭炎、尿道炎、子宮頸管炎、骨盤内炎症性疾患及び直腸炎に対するセフトリアキソンナトリウムの有効性が報告されているが、精巣上体炎(副睾丸炎)に対する報告はない3),22),23),24),25)

    18. 薬効薬理

    18.1 作用機序

    作用機序は細胞壁合成阻害である。大腸菌ではペニシリン結合蛋白質の3に最も親和性が高く、次いで1a、1b、2の順であり、細菌細胞壁ペプチドグリカン架橋形成を阻害して殺菌的に作用する26),27),30)

    18.2 抗菌作用

    1. 18.2.1 グラム陽性・陰性の好気性菌及び嫌気性菌に広く抗菌作用を示し、その作用は殺菌的である26),27),28),29)。(in vitro
    2. 18.2.2 グラム陰性桿菌の大腸菌、シトロバクター属、クレブシエラ属、エンテロバクター属、セラチア属、プロテウス属、インフルエンザ菌及びバクテロイデス属に対して強い抗菌力を示す26),27),28)。(in vitro
    3. 18.2.3 グラム陽性球菌のレンサ球菌属、肺炎球菌、ペプトストレプトコッカス属に対して強い抗菌力を示す26),27),28)。(in vitro
    4. 18.2.4 黄色ブドウ球菌に対する感受性のピークは3.13μg/mLであった27)。(in vitro
    5. 18.2.5 淋菌に対して強い抗菌力を示す26)。(in vitro
    6. 18.2.6 各種細菌の産生するβ-lactamaseに対して安定である26),28)

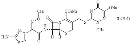
    19. 有効成分に関する理化学的知見

    一般的名称

    セフトリアキソンナトリウム水和物
    (Ceftriaxone Sodium Hydrate)

    化学名

    Disodium(6R,7R)-7-[(Z)-2-(2-aminothiazol-4-yl)-2-(methoxyimino)acetylamino]-3-(6-hydroxy-2-methyl-5-oxo-2,5-dihydro-1,2,4-triazin-3-ylsulfanylmethyl)-8-oxo-5-thia-1-azabicyclo[4.2.0]oct-2-ene-2-carboxylate hemiheptahydrate

    分子式

    C18H16N8Na2O7S3・3 1/2 H2O

    分子量

    661.60

    性状

    白色~淡黄白色の結晶性の粉末である。水又はジメチルスルホキシドに溶けやすく、メタノールにやや溶けにくく、エタノール(99.5)に極めて溶けにくく、アセトニトリルにほとんど溶けない。

    化学構造式

    略号

    CTRX

    20. 取扱い上の注意

    外箱開封後は遮光して保存すること。本剤は光、熱によって徐々に着色することがある。

    22. 包装

    • 〈セフトリアキソンNa静注用0.5g「サワイ」〉

      10バイアル

    • 〈セフトリアキソンNa静注用1g「サワイ」〉

      10バイアル

    23. 主要文献

    1) 厚生労働省健康局結核感染症課編:抗微生物薬適正使用の手引き

    2) 第十八改正日本薬局方解説書, 廣川書店, 2021;C-2889-2897

    3) 血中濃度(ロセフィン静注用/点滴静注用:2004年6月22日承認、審査報告書)

    4) 藤井良知他:Jpn. J. Antibiot., 1988;41(9):1237-1250

    5) 谷村弘他:Chemotherapy, 1984;32(S-7):518-543

    6) 鈴木啓一郎他:Chemotherapy, 1984;32(S-7):500-505

    7) 本郷基弘他:Jpn. J. Antibiot., 1984;37(12):2391-2396

    8) 土光文夫:Jpn. J. Antibiot., 1984;37(12):2377-2383

    9) 木下治二他:Chemotherapy, 1984;32(S-7):722-729

    10) 石岡伸一他:Jpn. J. Antibiot., 1991;44(6):605-613

    11) 中村孝他:Chemotherapy, 1984;32(S-7):463-480

    12) 高瀬善次郎他:Chemotherapy, 1984;32(S-7):697-707

    13) 河村正三他:耳鼻と臨床, 1988;34(1):77-86

    14) 中川千尋他:Jpn. J. Antibiot., 1995;48(3):427-431

    15) 山下敏康他:日本口腔外科学会雑誌, 1988;34(11):2343-2350

    16) Florence, G. et al.:Biopharm. Drug Dispos., 1993;14(2):161-169

    17) 目黒英典他:小児科臨床, 1985;38(2):261-268

    18) 角田良孝他:化学療法の領域, 1989;5(8):1510-1515

    19) 中島光好他:Chemotherapy, 1984;32(S-7):178-196

    20) 島田馨他:Chemotherapy, 1984;32(S-7):306-311

    21) 馬場駿吉他:Jpn. J. Antibiot., 1989;42(1):212-247

    22) 占部愼二他:Jpn. J. Antibiot., 1984;37(11):2169-2173

    23) 市木康久他:Chemotherapy, 1990;38(1):68-73

    24) Ronald, M. R. et al.:Am. J. Obstet. Gynecol., 2001;185(3):629-632

    25) Portilla, I. et al.:Sex. Transm. Dis., 1992;19(2):94-98

    26) 関根譲他:Chemotherapy, 1984;32(S-7):1-15

    27) 西野武志他:Chemotherapy, 1984;32(S-7):62-76

    28) 五島瑳智子他:Chemotherapy, 1984;32(S-7):39-61

    29) Tanaka, M. et al.:J. Infect. Chemother., 2002;8(1):81-86

    30) 横田健他:Chemotherapy, 1984;32(S-7):16-21

    24. 文献請求先及び問い合わせ先

    沢井製薬株式会社 医薬品情報センター

    〒532-0003 大阪市淀川区宮原5丁目2-30

    *TEL:0120-381-999 FAX:06-7708-8966

    26. 製造販売業者等

    26.1 製造販売元

    沢井製薬株式会社

    大阪市淀川区宮原5丁目2-30

    〒100-0013 東京都千代田区霞が関3-3-2 新霞が関ビル

    画面を閉じる

    Copyright © Pharmaceuticals and Medical Devices Agency, All Rights reserved.