医療用医薬品 詳細表示

プロチレリン酒石酸塩注射液0.5mg「サワイ」

処方せん医薬品

添付文書番号
企業コード
作成又は改訂年月
日本標準商品分類番号
薬効分類名
承認等
一般的名称
3.組成・性状
3.1組成
3.2製剤の性状
4.効能又は効果
6.用法及び用量
9.特定の背景を有する患者に関する注意
9.1合併症・既往歴等のある患者
9.5妊婦
9.6授乳婦
9.7小児等
11.副作用
11.1重大な副作用
11.2その他の副作用
14.適用上の注意
15.その他の注意
15.1臨床使用に基づく情報
16.薬物動態
16.1血中濃度
17.臨床成績
17.1有効性及び安全性に関する試験
17.3その他
18.薬効薬理
18.1作用機序
18.2自発運動亢進作用
18.3覚醒促進作用
18.4脳波賦活作用
18.5運動失調改善作用
18.6下垂体TSH分泌作用
19.有効成分に関する理化学的知見
22.包装
23.主要文献
24.文献請求先及び問い合わせ先
26.製造販売業者等

プロチレリン酒石酸塩注射液0.5mg「サワイ」

添付文書番号

7223401A1112_1_03

企業コード

300119

作成又は改訂年月

2024年1月改訂(第1版)

日本標準商品分類番号

87119
877223

薬効分類名

遷延性意識障害治療剤
脊髄小脳変性症治療剤
TSH分泌機能検査用剤

承認等

プロチレリン酒石酸塩注射液0.5mg「サワイ」

販売名コード

YJコード

7223401A1112

販売名英語表記

PROTIRELIN TARTRATE Injection [SAWAI]

販売名ひらがな

ぷろちれりんしゅせきさんえんちゅうしゃえき

承認番号等

承認番号

22300AMX01240000

販売開始年月

1996年7月

貯法・有効期間

貯法

室温保存

有効期間

3年

一般的名称

プロチレリン酒石酸塩水和物

3. 組成・性状

3.1 組成

プロチレリン酒石酸塩注射液0.5mg「サワイ」

1アンプル(1mL)中
有効成分日局プロチレリン酒石酸塩水和物   0.732mg
(プロチレリンとして   0.5mg )
添加剤D-ソルビトール   50mg
pH調節剤  

3.2 製剤の性状

プロチレリン酒石酸塩注射液0.5mg「サワイ」

pH5.5~6.5
浸透圧比約1(生理食塩液に対する比)
剤形・性状無色澄明の注射液

4. 効能又は効果

  • 下記疾患に伴う昏睡、半昏睡を除く遷延性意識障害
    • ・頭部外傷
    • ・くも膜下出血、ただし意識障害固定期間3週以内
  • 脊髄小脳変性症における運動失調の改善
  • 下垂体TSH分泌機能検査
    • ①採血時間:本剤注射前と注射後30分に採血するが、必要に応じて、更に経時的に採血する。
    • ②測定方法:TSH測定キットを使用し、ラジオイムノアッセイ法により測定する。
    • ③正常範囲:血中TSHの正常範囲はラジオイムノアッセイの操作法及び判定基準により若干異なるので、施設ごとに設定すべきであるが、通常、正常人では本剤投与後30分でピークに達し、血中TSH値は10μU/mL以上になる。また、投与前の血中TSH値は5μU/mL以下である。

6. 用法及び用量

  • 〈遷延性意識障害(ただし、昏睡、半昏睡を除く)〉

    通常、成人には疾患に応じて、下記の用量を1日1回10日間静注又は点滴静注する。
    静脈内注射の場合は、生理食塩液、ブドウ糖注射液又は注射用水5~10mLに希釈して、徐々に注射する。
    1)頭部外傷:1回プロチレリン酒石酸塩水和物として0.732~2.92mg(プロチレリンとして0.5~2mg)
    2)くも膜下出血(ただし、意識障害固定期間3週以内):1回プロチレリン酒石酸塩水和物として2.92mg(プロチレリンとして2mg)

  • 〈脊髄小脳変性症〉

    通常、成人には1日1回プロチレリン酒石酸塩水和物として0.732~2.92mg(プロチレリンとして0.5~2mg)を筋肉内又は静脈内に注射するが、重症例にはプロチレリン酒石酸塩水和物として2.92mg(プロチレリンとして2mg)を注射する。
    2~3週間連日注射した後、2~3週間の休薬期間をおく。以後、これを反復するか、週2~3回の間歇注射を行う。静脈内注射の場合は、生理食塩液、ブドウ糖注射液又は注射用水5~10mLに希釈して、徐々に注射する。

  • 〈下垂体TSH分泌機能検査〉

    通常、成人には1回プロチレリン酒石酸塩水和物0.732mg(プロチレリンとして0.5mg)を静脈内又は皮下に注射する。静脈内注射の場合は、生理食塩液あるいは注射用水5~10mLに希釈して、徐々に注射する。

9. 特定の背景を有する患者に関する注意

9.1 合併症・既往歴等のある患者

  1. 9.1.1 心障害のある患者

    本剤は血圧および脈拍数を一過性に上昇させることがある。

  2. 9.1.2 遺伝性果糖不耐症の患者

    本剤の添加剤D-ソルビトールが体内で代謝されて生成した果糖が正常に代謝されず、低血糖、肝不全、腎不全等が誘発されるおそれがある。

  3. 9.1.3 下垂体腺腫の患者

9.5 妊婦

妊婦又は妊娠している可能性のある女性には治療上の有益性が危険性を上回ると判断される場合にのみ投与すること。

9.6 授乳婦

治療上の有益性及び母乳栄養の有益性を考慮し、授乳の継続又は中止を検討すること。

9.7 小児等

小児等を対象とした臨床試験は実施していない。

11. 副作用

次の副作用があらわれることがあるので、観察を十分に行い、異常が認められた場合には投与を中止するなど適切な処置を行うこと。

11.1 重大な副作用

  1. 11.1.1 ショック様症状(頻度不明)

    一過性の血圧低下、意識喪失等があらわれることがある。

  2. 11.1.2 痙攣(頻度不明)
  3. 11.1.3 下垂体卒中(頻度不明)

    下垂体腺腫患者に投与した場合、頭痛、視力・視野障害等を伴う下垂体卒中があらわれることがあるので、このような症状があらわれた場合には外科的治療等適切な処置を行うこと。

  4. 11.1.4 血小板減少(頻度不明)

11.2 その他の副作用

5%以上

0.1~5%未満

0.1%未満

頻度不明

循環器

脈拍数の変動、熱感、顔面潮紅感

動悸、胸部圧迫感、血圧の変動

消化器

悪心

心窩部不快感、嘔吐、食欲不振、腹痛、口渇、異味感

肝臓

ALTの上昇

Al-Pの上昇

ASTの上昇

血液

白血球減少

貧血

精神神経系

興奮、多弁、頭痛、めまい、しびれ感

振戦、不眠

不安

過敏症

発疹、そう痒

その他

尿意、発熱、発汗、悪寒、倦怠感、浮腫

排尿障害

脱力感、咽頭違和感、乳房腫大、乳汁分泌

14. 適用上の注意

14.1 薬剤投与時の注意

  1. 14.1.1 静脈内投与にあたってはできるだけゆっくり投与すること。急速に静脈内注射すると、一過性の尿意、悪心、熱感等があらわれやすい。
  2. 14.1.2 筋肉内注射にあたっては、組織・神経等への影響を避けるため、下記の点に注意すること。
    1. (1) 同一部位への反復注射は行わないこと。
      なお、小児には特に注意すること。
    2. (2) 神経走行部位を避けるよう注意すること。
    3. (3) 注射針を刺入したとき、激痛を訴えたり、血液の逆流をみた場合は、直ちに針を抜き、部位をかえて注射すること。

15. その他の注意

15.1 臨床使用に基づく情報

  1. 15.1.1 本剤の連用により、TRHに対するTSH分泌反応が低下するので、定められた投与期間を標準として投与すること。
  2. 15.1.2 本剤の連用によるTSH分泌反応低下は連用中止1週ないし2週後に回復するので、TRHテストを施行する場合はその後に行うこと。
  3. 15.1.3 甲状腺ホルモン剤、抗甲状腺剤、副腎皮質ステロイド剤投与中の患者ではTRHに対するTSH分泌反応が変化することがある。

16. 薬物動態

16.1 血中濃度

  1. 16.1.1 点滴静注時の血中濃度

    健康成人にプロチレリンとして0.5、2mg(各4例)を120分間で点滴静注すると、血中プロチレリン濃度は投与開始15分後に0.5mg投与で663pg/mL(投与前値は126pg/mL)、2mg投与で3,150pg/mL(投与前値は101pg/mL)を示し、点滴中はほぼ同値を持続するが、終了後急速に低下する。0.5、2mg投与時の血中濃度の半減期はそれぞれ約18分、約9分である1)

  2. 16.1.2 静注時の血中濃度

    健康成人(10例)にプロチレリンとして2mgを静注すると、血中プロチレリン濃度は投与5分後に16,660pg/mLを示し、30分後には1,003pg/mL、120分後には19.3pg/mLと速やかに低下する。血中濃度の半減期は4.5分である2)

  3. 16.1.3 筋注時の血中濃度

    健康成人(5例)にプロチレリンとして2mgを筋注すると、血中プロチレリン濃度は、投与5分後に8,940pg/mLを示し、以後漸減するが、120分後でも283pg/mLであり、比較的長時間高値を持続する。血中濃度の半減期は19.6分である2)

17. 臨床成績

17.1 有効性及び安全性に関する試験

  • 〈遷延性意識障害(ただし、昏睡、半昏睡を除く)〉
    1. 17.1.1 国内臨床試験

      昏睡、半昏睡を除く軽症遷延性意識障害患者を対象として、プロチレリン酒石酸塩水和物をプロチレリンとして1日0.5、2mgを10日間静注又は点滴静注した二重盲検比較対照試験において頭部外傷に伴う意識障害ではプロチレリン非投与群に比し0.5mg及び2mg投与の有用性が、また、くも膜下出血に伴う意識障害では意識障害固定期間3週以内の症例に対し、2mg投与の有用性が認められている3)
      意識障害の症状別では、プロチレリン投与群で周囲の人への疎通性、場所に関する見当識等の改善が優れることが認められている。

  • 〈脊髄小脳変性症〉
    1. 17.1.2 国内臨床試験

      脊髄小脳変性症患者の内、小脳型運動失調(LCCA及びOPCA等)で発症後15年までの軽・中等症例(自力で起立・歩行が可能な例)を対象として、プロチレリンとして1日0.5mg又は2mgを15日間筋注した二重盲検比較対照試験においてプロチレリン非投与群に比し、全般改善度で2mg投与群が、失調改善度及び有用度で0.5mg投与群が優れ、症状別では2mg投与群における構音障害等の改善効果が高く、プロチレリンの有用性が認められている4)

17.3 その他

  • 〈遷延性意識障害(ただし、昏睡、半昏睡を除く)〉
    1. 17.3.1 一般臨床試験

      健康成人にプロチレリンとして1日0.5mgを7日間静注、意識障害患者に1日0.5~2mgを10日間静注あるいは点滴静注するとプロチレリンに対するTSH分泌反応は低下するが、投与終了後1週あるいは2週で正常の反応に回復する。また、その他の下垂体前葉ホルモン(LH、FSH、GH、PRL)、甲状腺ホルモン(T3、T4)及び副腎皮質ホルモン(コルチゾール)に対しては、プロチレリン連用による影響は特に認められていない5),6),7),8)

  • 〈脊髄小脳変性症〉
    1. 17.3.2 一般臨床試験

      脊髄小脳変性症患者にプロチレリンとして1日0.5mg又は2mgを3週間筋注又は静注すると2mg投与例でTSH及びT3の低下がみられるが、その他のホルモン(LH、FSH、GH、PRL、T4、コルチゾール)及び0.5mg投与例では影響は特に認められていない9)

18. 薬効薬理

18.1 作用機序

甲状腺刺激ホルモン放出ホルモンである。脳下垂体前葉での甲状腺刺激ホルモンTSH及びプロラクチンの産生を促進する。臨床的には、脳下垂体前葉でのTSH分泌能の診断薬として用いられる。他に脳エネルギー代謝改善作用を示すので、脳血管障害などの際の意識障害等に用いられる10)

18.2 自発運動亢進作用

正常マウスに2.5mg/kg静注、下垂体摘出マウスに10mg/kg静注及び正常ラットに5mg/kg腹腔内投与により、自発運動亢進が認められる。この作用は、プロチレリンが中脳-辺縁系ドーパミンニューロン終末部位である側坐核におけるドーパミン活性を高めることによると考えられる11),12)

18.3 覚醒促進作用

  1. 18.3.1 正常マウスに0.6mg/kg、正常ラットに2.4mg/kg、下垂体摘出ラットに2.4mg/kgの静注により、ペントバルビタール睡眠時間を短縮し、正常マウスに0.6mg/kg静注によりエタノール麻酔時間を短縮する11)。また、正常ラットに5mg/kg静注によりペントバルビタール前処置による脳内グルコース利用率の低下に拮抗する13)
  2. 18.3.2 意識障害モデル動物(頭部外傷マウス、脳幹圧迫ネコ、視床下部電気破壊ネコ)において、0.16mg/kg~5mg/kg静注により行動上及び脳波上覚醒反応が早期に認められる14),15),16)

18.4 脳波賦活作用

正常ネコに0.1mg/kg静注により脳波賦活作用を示し、その作用点は視床下部及び脳幹であると考えられる17)

18.5 運動失調改善作用

遺伝性運動失調マウスであるRolling mouse Nagoyaに25mg/kg腹腔内投与18)、また、シトシンアラビノシドによる小脳変性運動失調ラットに5又は10mg/kg腹腔内投与19)により、運動量の増加とともに転倒回数の減少等運動失調改善作用が認められる。この作用は小脳内ノルアドレナリン代謝回転の促進作用によるものと考えられる20)。なお、小脳サイクリックヌクレオチド(c-GMP、c-AMP)の増加も一部関与していると考えられる21)

18.6 下垂体TSH分泌作用

健康成人にプロチレリンとして0.5mgを静脈内あるいは皮下に単回投与すると、血中TSH値は30分後にピーク値を示し、その後漸減した。その他の下垂体前葉ホルモンのうちLH、FSH、GHにはほとんど影響を及ぼさないが、プロラクチン(PRL)には分泌促進作用を示し、投与15分後にピーク値を示し、120分後にほぼ前値に回復する22),23)

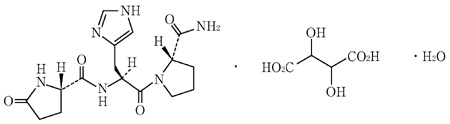
19. 有効成分に関する理化学的知見

一般的名称

プロチレリン酒石酸塩水和物(Protirelin Tartrate Hydrate)

化学名

5-Oxo-L-prolyl-L-histidyl-L-prolinamide monotartrate monohydrate

分子式

C16H22N6O4・C4H6O6・H2O

分子量

530.49

性状

白色~微帯黄白色の結晶又は結晶性の粉末である。水に溶けやすく、酢酸(100)にやや溶けにくく、エタノール(95)又はジエチルエーテルにほとんど溶けない。

化学構造式

融点

約187℃(分解)

22. 包装

10アンプル(1ml/アンプル)

23. 主要文献

1) 仁瓶禮之他:日本内分泌学会雑誌, 1979;55:1089-1097

2) 仁瓶禮之他:厚生省新薬開発研究 脊髄小脳変性症治療剤開発研究班(以下脊小開)昭和54年度研究業績, 1980:221-223

3) 佐野圭司他:神経研究の進歩, 1979;23:184-210

4) 祖父江逸郎他:神経研究の進歩, 1982;26:1190-1214

5) 松村茂次郎他:広島医学, 1979;32:436-444

6) 石井鐐二他:新潟医学会雑誌, 1978;92:829-837

7) 三好正規他:ホルモンと臨床, 1979;27:1055-1062

8) 中條武他:Neurol. Med. Chir., 1980;20:289-301

9) 満間照典他:新薬と臨牀, 1983;32:1147-1150

10) 第十八改正日本薬局方解説書, 廣川書店, 2021;C-5037-5044

11) 井上雅義他:武田研究所報, 1976;35:194-203

12) Miyamoto, M. et al.:Eur. J. Pharmacol., 1977;44:143-152

13) Nagai, Y. et al.:J. Neurochem., 1980;35:963-971

14) 間中信也他:医学のあゆみ, 1977;102:867-869

15) 福田尚久他:日薬理誌, 1979;75:321-331

16) 土居孝行他:薬理と治療, 1978;6:3229-3237

17) 佐治美昭他:武田研究所報, 1977;36:39-45

18) 安藤一也他:脊小開 昭和55年度研究業績, 1981:179-182

19) 名川雄児他:脊小開 昭和56年度研究業績, 1982:157-160

20) 小長谷正明他:臨床神経学, 1980;20:181-188

21) 名川雄児他:脊小開 昭和56年度研究業績, 1982:152-156

22) 吉田尚義他:ホルモンと臨床, 1976;24:1285-1292

23) 吉田尚義他:薬理と治療, 1976;4:1714-1724

24. 文献請求先及び問い合わせ先

沢井製薬株式会社 医薬品情報センター

〒532-0003 大阪市淀川区宮原5丁目2-30

*TEL:0120-381-999 FAX:06-7708-8966

26. 製造販売業者等

26.1 製造販売元

沢井製薬株式会社

大阪市淀川区宮原5丁目2-30

〒100-0013 東京都千代田区霞が関3-3-2 新霞が関ビル

画面を閉じる

Copyright © Pharmaceuticals and Medical Devices Agency, All Rights reserved.