医療用医薬品 詳細表示

アルプロスタジルアルファデクス注射用20μg「AFP」

処方せん医薬品

添付文書番号
企業コード
作成又は改訂年月
日本標準商品分類番号
薬効分類名
承認等
一般的名称
1.警告
2.禁忌(次の患者には投与しないこと)
3.組成・性状
3.1組成
3.2製剤の性状
4.効能又は効果
6.用法及び用量
7.用法及び用量に関連する注意
8.重要な基本的注意
9.特定の背景を有する患者に関する注意
9.1合併症・既往歴等のある患者
9.2腎機能障害患者
9.5妊婦
9.6授乳婦
9.7小児等
9.8高齢者
10.相互作用
10.2併用注意(併用に注意すること)
11.副作用
11.1重大な副作用
11.2その他の副作用
14.適用上の注意
15.その他の注意
15.1臨床使用に基づく情報
16.薬物動態
16.1血中濃度
16.3分布
16.4代謝
16.5排泄
17.臨床成績
17.1有効性及び安全性に関する試験
18.薬効薬理
18.1作用機序
19.有効成分に関する理化学的知見
20.取扱い上の注意
22.包装
23.主要文献
24.文献請求先及び問い合わせ先
26.製造販売業者等

アルプロスタジルアルファデクス注射用20μg「AFP」

添付文書番号

2190402D3072_1_05

企業コード

300166

作成又は改訂年月

2023年12月改訂(第1版)

日本標準商品分類番号

87219

薬効分類名

プロスタグランジンE1製剤

承認等

アルプロスタジルアルファデクス注射用20μg「AFP」

販売名コード

YJコード

2190402D3072

販売名英語表記

ALPROSTADIL ALFADEX FOR INJECTION

販売名ひらがな

あるぷろすたじる あるふぁでくす「えーえふぴー」

承認番号等

承認番号

22500AMX00487000

販売開始年月

1992年10月

貯法・有効期間

貯法

室温保存

有効期間

3年

一般的名称

アルプロスタジル アルファデクス

1. 警告

  • 〈動脈管依存性先天性心疾患〉
    1. 1.1 本剤投与により無呼吸発作が発現することがあるので、呼吸管理設備の整っている施設で投与すること。
  • 〈勃起障害の診断〉
    1. 1.2 本剤投与により4時間以上の勃起の延長又は持続勃起症(6時間以上持続する勃起)が発現することがあるので、勃起が4時間以上持続する症状がみられた場合、速やかに適切な処置を行うこと。持続勃起症に対する処置を速やかに行わないと陰茎組織の損傷又は勃起機能を永続的に損なうことがある。
    2. 1.3 本剤投与により勃起の延長又は持続勃起症、不整脈、一過性の低血圧等が発現することがあるので、本剤を用いた勃起障害の診断は、勃起障害の診断及び治療に精通し、本剤投与時の副作用への対処が可能な医師が、緊急時の対応が可能な状況で行うこと。

2. 禁忌(次の患者には投与しないこと)

  1. 2.1 重篤な心不全、肺水腫のある患者(ただし、動脈管依存性先天性心疾患の患者は除く)[心不全、肺水腫を増悪させることがある。]
  2. 2.2 出血(頭蓋内出血、出血性眼疾患、消化管出血、喀血等)している患者[出血を助長するおそれがある。]
  3. 2.3 妊婦又は妊娠している可能性のある女性
  4. 2.4 本剤の成分に対し過敏症の既往歴のある患者

3. 組成・性状

3.1 組成

アルプロスタジルアルファデクス注射用20μg「AFP」

有効成分
(1バイアル中)
  アルプロスタジル アルファデクス(日局)をアルプロスタジルとして20μg含有
添加剤
(1バイアル中)
  デキストラン40(日局)100mg

3.2 製剤の性状

アルプロスタジルアルファデクス注射用20μg「AFP」

剤形注射剤(バイアル)
pH4.0~6.5
(本品1バイアルを生理食塩液に溶かして5mLとした液)
浸透圧比0.9~1.1
(本品1バイアルを生理食塩液に溶かして5mLとした液)
性状白色の結晶又は粉末もしくは塊でにおいはない
凍結乾燥品

4. 効能又は効果

  • 動脈内投与
    • 慢性動脈閉塞症(バージャー病、閉塞性動脈硬化症)における四肢潰瘍ならびに安静時疼痛の改善
  • 静脈内投与
    • 振動病における末梢血行障害に伴う自覚症状の改善ならびに末梢循環・神経・運動機能障害の回復
    • 血行再建術後の血流維持
    • 動脈内投与が不適と判断される慢性動脈閉塞症(バージャー病、閉塞性動脈硬化症)における四肢潰瘍ならびに安静時疼痛の改善
    • 動脈管依存性先天性心疾患における動脈管の開存
  • 陰茎海綿体内投与
    • 勃起障害の診断

6. 用法及び用量

  • 動脈内投与
    • 〈慢性動脈閉塞症〉
      • (1)本品1バイアル(アルプロスタジル20μg)を生理食塩液5mLに溶かし、通常成人1日量アルプロスタジルとして10~15μg(およそ0.1~0.15ng/kg/分)をシリンジポンプを用い持続的に動脈内へ注射投与する。
      • (2)症状により0.05~0.2ng/kg/分の間で適宜増減する。
  • 静脈内投与
    • 〈振動病、血行再建術後の血流維持、動脈内投与が不適と判断される慢性動脈閉塞症〉
      • (1)通常成人1回量本品2~3バイアル(アルプロスタジル40~60μg)を輸液500mLに溶解し、2時間かけて点滴静注する(5~10ng/kg/分)。
        なお、投与速度は体重1kg 2時間あたり1.2μgをこえないこと。
      • (2)投与回数は1日1~2回。
      • (3)症状により適宜増減する。
    • 〈動脈管依存性先天性心疾患〉
      • 通常、アルプロスタジルとして50~100ng/kg/分の速度で静脈内投与を開始し、症状に応じて適宜増減し、有効最小量で持続投与する。
  • 陰茎海綿体内投与
    • 〈勃起障害の診断〉
      • 本品1バイアル(アルプロスタジル20μg)を生理食塩液1mLに溶かし、通常、成人1回量アルプロスタジルとして20μgを陰茎海綿体へ注射する。

7. 用法及び用量に関連する注意

  • 〈動脈管依存性先天性心疾患〉

    観察を十分行い慎重に投与量の調整を行うこと。効果が得られた場合には減量し、有効最小量で投与を持続すること。動脈管開存の維持には10ng/kg/分でも有効な場合がある。

8. 重要な基本的注意

  • 〈振動病、血行再建術後の血流維持、慢性動脈閉塞症〉
    1. 8.1 本剤による治療は対症療法であり投与中止後再燃することがあるので注意すること。
    2. 8.2 心不全、肺水腫、胸水があらわれることがあるので、輸液量に留意するとともに、循環状態(血圧、脈拍等)を十分に観察すること。また、動悸、胸苦しさ、呼吸困難、浮腫等の症状があらわれた場合には本剤の投与を中止し、適切な処置を行うこと。特に高齢者は心機能等生理機能が低下しているので、患者の状態を観察しながら慎重に投与すること。
    3. 8.3 慢性動脈閉塞症における四肢潰瘍の改善を治療目的とする場合、静脈内投与は動脈内投与に比し治療効果がやや劣るので、動脈内投与が非適応と判断される患者(高位血管閉塞例等)又は動脈内投与操作による障害が、期待される治療上の効果を上まわると判断される患者に行うこと。
  • 〈動脈管依存性先天性心疾患〉
    1. 8.4 本剤による治療は対症療法であり投与中止後症状が悪化することがあるので注意すること。
    2. 8.5 本剤の投与を継続しても、状態の改善がみられなければ、緊急手術等、適切な処置を行うこと。
    3. 8.6 本剤の高用量投与により、副作用発現率が高まるおそれがあるため、有効最小量にて使用すること。
    4. 8.7 本剤の長期投与により長管骨膜に肥厚、多毛及び脱毛がみられるとの報告があるので観察を十分に行い、必要以上の長期投与は避けること。

9. 特定の背景を有する患者に関する注意

9.1 合併症・既往歴等のある患者

  • 〈効能共通〉
    1. 9.1.1 心不全のある患者

      循環状態に対する観察を十分に行い、慎重に投与すること。心不全の増強傾向があらわれるとの報告がある。

    2. 9.1.2 重症糖尿病患者

      網膜症等、脆弱血管からの出血を助長することがある。

    3. 9.1.3 出血傾向のある患者

      出血を助長するおそれがある。

    4. 9.1.4 胃潰瘍の合併症及び既往歴のある患者

      出血を助長するおそれがある。

    5. 9.1.5 緑内障、眼圧亢進のある患者

      動物実験(ウサギ)で眼圧上昇が報告されている1)

  • 〈勃起障害の診断〉
    1. 9.1.6 陰茎の構造上欠陥(屈曲、陰茎の線維化、Peyronie病等)のある患者

      陰茎痛を伴うおそれがある。

    2. 9.1.7 持続勃起症の素因となり得る疾患(鎌状赤血球性貧血、多発性骨髄腫、白血病等)のある患者

9.2 腎機能障害患者

  1. 9.2.1 腎不全の患者

    腎不全を増悪することがある。

9.5 妊婦

妊婦又は妊娠している可能性のある女性には投与しないこと。アルプロスタジルには子宮収縮作用が認められている2)

9.6 授乳婦

治療上の有益性及び母乳栄養の有益性を考慮し、授乳の継続又は中止を検討すること。

9.7 小児等

動脈管依存性先天性心疾患以外の効能について、小児等を対象とした臨床試験は実施していない。

9.8 高齢者

減量するなど注意すること。一般に心機能等生理機能が低下している。

10. 相互作用

    10.2 併用注意(併用に注意すること)

    薬剤名等臨床症状・措置方法機序・危険因子

    抗血小板剤

    • アスピリン
    • チクロピジン
    • シロスタゾール

    血栓溶解剤

    • ウロキナーゼ

    抗凝血剤

    • ヘパリン
    • ワルファリン

    これらの薬剤と併用することにより出血傾向の増強をきたすおそれがある。
    観察を十分に行い、用量を調節するなど注意すること。

    本剤は血小板凝集能を抑制するため、類似の作用を持つ薬剤を併用することにより作用を増強することが考えられる。

    11. 副作用

    次の副作用があらわれることがあるので、観察を十分に行い、異常が認められた場合には投与を中止するなど適切な処置を行うこと。

    11.1 重大な副作用

    • 〈効能共通〉
      1. 11.1.1 ショック、アナフィラキシー(いずれも頻度不明)

        観察を十分に行い、血圧低下、意識障害、呼吸困難、発疹等があらわれた場合には投与を中止し、適切な処置を行うこと。

      2. 11.1.2 心不全、肺水腫、胸水(いずれも頻度不明)

        観察を十分に行い、動悸、胸苦しさ、呼吸困難、浮腫等の症状があらわれた場合には投与を中止し、適切な処置を行うこと。

      3. 11.1.3 脳出血(頻度不明)、消化管出血(0.13%)
      4. 11.1.4 心筋梗塞(頻度不明)

        観察を十分に行い、胸痛、胸部圧迫感、心電図異常等が認められた場合には投与を中止し、適切な処置を行うこと。

      5. 11.1.5 無顆粒球症、白血球減少(いずれも頻度不明)
      6. 11.1.6 肝機能障害、黄疸(いずれも頻度不明)

        AST、ALT、γ-GTPの上昇等を伴う肝機能障害や黄疸があらわれることがある。

      7. 11.1.7 間質性肺炎(頻度不明)

        観察を十分に行い、発熱、咳嗽、呼吸困難等があらわれた場合には投与を中止し、副腎皮質ホルモン剤の投与等の適切な処置を行うこと。

    • 〈動脈管依存性先天性心疾患〉
      1. 11.1.8 無呼吸発作(頻度不明)

        観察を十分に行うこと。なお、発現した場合は、人工呼吸器の装着、皮膚への刺激等、適切な処置を行うこと。

        注)動脈管依存性先天性心疾患への投与において、上記等の副作用が発現した場合には、患者の状態を観察し、本剤の投与継続の必要性について考慮した上で、適切な処置を行うこと。

    • 〈勃起障害の診断〉
      1. 11.1.9 持続勃起症(頻度不明)

        観察を十分に行い、発現した場合にはα刺激剤の投与、脱血と生理食塩水による洗浄等、適切な処置を行うこと。

    11.2 その他の副作用

    • 〈動脈内投与:慢性動脈閉塞症〉

    10~35%未満

    10%未満

    頻度不明

    注射部

    疼痛、腫脹

    発赤、発熱、脱力感、瘙痒

    その他

    頭痛

    発熱、動悸、血漿蛋白分画の変動

    • 〈静脈内投与:振動病、血行再建術後の血流維持、動脈内投与が不適と判断される慢性動脈閉塞症〉

    0.5~10%未満

    0.5%未満

    頻度不明

    過敏症

    掻痒、発疹、蕁麻疹

    循環器

    胸部絞扼感

    顔面潮紅

    血圧降下、動悸、発赤

    出血傾向

    眼底出血、皮下出血

    注射部

    血管痛、発赤

    腫脹、掻痒

    静脈炎、疼痛

    呼吸器

    咳嗽、喘息

    消化器

    悪心・嘔吐

    下痢

    胃部不快感、食欲不振、腹痛

    精神神経系

    めまい

    発熱、悪寒

    肝臓

    AST・ALTの上昇等

    腎臓

    腎不全の増悪

    血液

    血小板減少、貧血

    その他

    熱感、四肢疼痛(増強を含む)

    頭痛・頭重、乳房硬結

    浮腫、関節痛、しびれ、CRP上昇、低ナトリウム血症

    • 〈静脈内投与:動脈管依存性先天性心疾患〉

    5~15%未満

    5%未満

    頻度不明

    循環器

    頻脈、低血圧

    肺動脈中膜の菲薄化、浮腫、発赤、徐脈

    中枢神経系

    発熱

    痙攣、振戦、多呼吸

    注射部

    血管痛、静脈炎、疼痛、発赤、腫脹、瘙痒

    その他

    下痢、口腔内・気道分泌液の増加、アシドーシス、低ナトリウム血症

    胃粘膜肥厚、低クロール血症、CRP上昇、脱毛、多毛、腹水、骨膜肥厚、低カリウム血症、出血傾向

    • 〈陰茎海綿体内投与:勃起障害の診断〉

    頻度不明

    過敏症

    発疹、掻痒

    泌尿、生殖器

    勃起の延長、陰茎痛、陰茎腫脹

    注射部

    疼痛、血腫、出血、腫脹、灼熱感、発赤、瘙痒

    循環器

    低血圧、胸部絞扼感、発赤

    消化器

    悪心、嘔吐、腹痛

    その他

    めまい、発熱、頭痛、悪寒

    14. 適用上の注意

    14.1 薬物調製時の注意

    シリンジポンプ使用に際しては、シリンジ内に気泡が混入しないように注意すること。

    14.2 薬物投与時の注意

    本剤投与により、副作用があらわれた場合には、すみやかに投与速度を遅くするか又は投与を中止すること。

    15. その他の注意

    15.1 臨床使用に基づく情報

    1. 15.1.1 本剤の投与により脳梗塞がみられたとの報告がある。
    2. 15.1.2 適応外であるが、勃起障害の治療目的でPGE1製剤を複数回投与した症例において、陰茎海綿体の線維化が生じたとの報告がある。
    3. 15.1.3 適応外であるが、勃起障害の治療目的でPGE1製剤をパパベリン等の勃起不全治療剤と併用投与した症例において、勃起の延長又は持続勃起症があらわれたとの報告がある。

    16. 薬物動態

    16.1 血中濃度

    1. 16.1.1 静脈内投与
      1. (1) 健康成人にPGE1 60μg1)を2時間静脈内持続注入したとき、注入後5分以内に血漿中PGE1濃度は4.5pg/mLに増加し、持続注入終了時まで持続した。終了後血漿レベルは速やかに減少し、投与終了10分後の血漿中PGE1濃度は2.5pg/mL、2時間後には1.3pg/mLであった。また、半減期は0.2分(α相)と8.2分(β相)であった3)
      2. (2) 心カテーテル中の3例に3H-PGE1 0.03ng/kg/分1)を静脈内投与したときの全血代謝クリアランス率は2,686±654L/日/m2であり、肺での代謝は投与量の67.8±6.8%であった4)

      1) 本剤の静脈内投与における承認用量は、振動病、血行再建術後の血流維持及び動脈内投与が不適と判断される慢性動脈閉塞症では、「通常成人1回量本品2~3バイアル(アルプロスタジル40~60μg)を輸液500mLに溶解し、2時間かけて点滴静注する(5~10ng/kg/分)」、動脈管依存性先天性心疾患では「通常、アルプロスタジルとして50~100ng/kg/分の速度で静脈内投与を開始し、症状に応じて適宜増減し、有効最小量で持続投与する」である。

    2. 16.1.2 陰茎海綿体内投与
      1. (1) 勃起障害患者12例にPGE1 20μgを陰茎海綿体投与後、PGE1及び代謝物15-keto-13,14dihydro-PGE1濃度は陰茎海綿体で上昇したが、速やかに減少した5)
      2. (2) 勃起障害患者24例にPGE1 20μgを陰茎海綿体投与後、PGE1濃度は末梢血で投与4.8分後をピークに上昇したが速やかに減少し、投与2時間以内に投与前まで減少した6)

    16.3 分布

    雄性ラットに3H-PGE114C-CDを静脈内投与したとき、投与5分後の3Hの臓器内放射能分布は、肝臓16.8%、小腸6.0%、腎臓5.6%、大腸1.7%であり、14Cの臓器内放射能分布は、肝臓3.7%、腎臓3.1%、小腸3.0%、大腸2.1%であった。また、雄性ラットに3H-PGE114C-CDを1日1回7日間静脈内投与した場合、PGE1及びCDとも各臓器への蓄積は認められない7)

    16.4 代謝

    雄性ラットに3H-PGE114C-CDを静脈内投与したとき、投与後数分間でPGE1の大部分は代謝物の13,14-dihydro 15-keto PGElとして血液中に存在し、CDはほとんど代謝を受けることなくそのまま血液中に存在する7)

    16.5 排泄

    雄性ラットに3H-PGE114C-CDを静脈内投与したとき、投与24時間以内に3H-PGE1は投与量の30~40%が尿中に、25~30%が糞中に排泄され、14C-CDは代謝を受けずに、そのままの形で92~98%が尿中に排泄され、糞中への排泄は0.4%以下であった7)

    17. 臨床成績

    17.1 有効性及び安全性に関する試験

    • 〈慢性動脈閉塞症〉
      1. 17.1.1 国内臨床試験(二重盲検試験)

        四肢に難治性潰瘍を有する慢性動脈閉塞症患者47例に、二重盲検下で0.05又は0.15ng/kg/分で2~6週間持続動脈内投与を行った。その結果、有効率は0.05ng/kg/分で44%、0.15ng/kg/分で68%であった。副作用は0.05ng/kg/分で36%(9/25例)、0.15ng/kg/分で73%(16/22例)に腫脹、鈍痛、発赤、発熱がみられた8)

    • 〈振動病〉
      1. 17.1.2 国内臨床試験(二重盲検試験)

        振動病患者107例に1μg/kgを電解質液で総量500mLとしたものを、2時間かけて二重盲検下で1日1回、2週間点滴静注した2)。その結果、改善率(「やや改善」以上)は、機能試験全般改善度で59%、自覚症状全般改善度で78%であった。副作用は22.4%(24/107例)にみられ、主な副作用は血管痛が13.1%(14/107例)、発赤が6.5%(7/107例)であった9)

    • 〈血行再建術後の血流維持〉
      1. 17.1.3 国内臨床試験

        慢性動脈閉塞症に対する動脈血行再建術施行患者52例に、非盲検下で30~100μgを1日1~2回、2~3時間かけて点滴静注した2)。投与期間は4~27日間であった。その結果、血行再建部血管の開存率は退院時で91%、術後7カ月経過時で83%であった。副作用は5.5%(3/55例(腸骨静脈閉塞に対して投与された3例を含む))に胸痛、熱感、悪心、嘔吐がみられた10)

    2) 本剤の動脈内投与が不適と判断される慢性動脈閉塞症、振動病及び血行再建術後の血流維持に対する承認用量は、「通常成人1回量本品2~3バイアル(アルプロスタジル40~60μg)を輸液500mLに溶解し、2時間かけて点滴静注する(5~10ng/kg/分)。投与回数は1日1~2回。」である。

    18. 薬効薬理

    18.1 作用機序

    血管平滑筋及び血小板のプロスタノイド受容体に作用し、細胞内のcAMPを増加させることで血管弛緩作用及び血小板凝集抑制作用を示す11),12)

    18.2 血管平滑筋に対する作用

    ウサギの摘出血管平滑筋標本に対してPGE1は大動脈のような太い血管では収縮、腸管動脈のような細い血管では低用量(PGE1・CDをPGE1として10-7~5×10-6g/mL)で弛緩、高用量(PGE1・CDをPGE1として10-5g/mL以上)で収縮の2相性の作用を示した(in vitro2)

    18.3 血流量に対する作用

    1. 18.3.1 イヌの大腿動脈内にPGE1を単回投与(PGE1・CDをPGE1として10-6~103ng/kg)すると、102ng/kgまでは用量依存的に後肢血流量は増加したが、血圧が低下する高用量(103ng/kg)では血流量の増加は小さくなった13)。また、持続動脈内投与(PGE1・CDをPGE1として10-2~7ng/kg/分)においても用量に依存した血流量の増加が認められた14)
    2. 18.3.2 イヌの大腿動脈内にPGE1を単回投与(PGE1・CDをPGE1として1~30ng/kg)すると、後肢の皮膚及び筋血流量の増加が認められた15)。また、PGE1(PGE1・CDをPGE1として10ng/kg)の単回投与で誘発される大腿動脈血流量増加作用はアトロピン、プロプラノロール、ジフェンヒドラミン等により影響を受けず、交感神経節切除によっても大きな変化は見られなかった16)
    3. 18.3.3 末梢動脈閉塞症患者にPGE1を持続動脈内投与(PGE1・CDをPGE1として0.1ng/kg/分)したところ、前脛骨筋血流量の増加が認められた17)
    4. 18.3.4 イヌにPGE1を持続静脈内投与(PGE1・CDをPGE1として10~300ng/kg/分)すると、大腿動脈血流量は用量依存的に増加し、100ng/kg/分以下では血圧の下降は10mmHg以下であった16)。また、イヌにPGE1を持続静脈内投与(PGE1・CDをPGE1として50~200ng/kg/分)すると、皮膚血流量の減少が抑制された16)
    5. 18.3.5 下肢動脈の血行再建術後症患者にPGE1を持続静脈内投与(PGE1・CDをPGE1として5~8ng/kg/分)したところ、足背動脈及び後脛骨動脈の血流量の増加が認められた18)

    18.4 血小板凝集抑制作用

    1. 18.4.1 PGE1は種々の凝集剤によるヒト血小板凝集を抑制する作用があり、アデノシン二リン酸、トロンビン、コラーゲンによる血小板凝集作用に対するPGE1・CDの50%抑制濃度はそれぞれ19、3、61ng/mLである(in vitro15)
    2. 18.4.2 末梢動脈閉塞症患者にPGE1を持続動脈内投与(PGE1・CDをPGE1として0.1~1.0ng/kg/分)したところ、局所静脈血中の血小板凝集作用の抑制が認められた19)。また、慢性閉塞性動脈症患者にPGE1を持続静脈内投与(PGE1・CDをPGE1として5~10ng/kg/分)したところ、血小板凝集作用の抑制が認められた20)

    18.5 動脈管拡張作用

    1. 18.5.1 ラット及びウサギの新生児にそれぞれ200~1,000μg/kg及び1,000μg/kgのPGE1を投与したところ、動脈管拡張作用が認められた21)
    2. 18.5.2 ラット新生児に1~1,000μg/kgのPGE1を投与したところ、動脈管拡張作用が認められた22)

    18.6 陰茎海綿体平滑筋弛緩作用

    1. 18.6.1 ヒトの摘出陰茎海綿体標本及び摘出陰茎海綿体動脈標本に対して、PGE1はノルアドレナリン及びPGFによる収縮を減少させた(in vitro23)
    2. 18.6.2 ヒトの摘出陰茎海綿体標本に対して、PGE1(2.0μg/mL)は弛緩作用を示した(in vitro24)

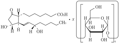
    19. 有効成分に関する理化学的知見

    一般的名称

    アルプロスタジル アルファデクス(Alprostadil Alfadex)

    化学名

    7-{(1R,2R,3R)-3-Hydroxy-2-[(1E,3S)-3-hydroxyoct-1-en-1-yl]-5-oxocyclopentyl}heptanoic acid-α-cyclodextrin

    分子式

    C20H34O5xC36H60O30

    分子量

    354.48(アルプロスタジルとして)

    性状

    白色の粉末である。
    水に溶けやすく、エタノール(95)、酢酸エチル又はジエチルエーテルにほとんど溶けない。
    吸湿性である。

    化学構造式

    20. 取扱い上の注意

    外箱開封後は、遮光して保存すること。

    22. 包装

    10バイアル

    23. 主要文献

    1) Chiang T.S. et al.:Arch Ophthal., 1972;88:418-420

    2) 川崎晃義 他:応用薬理, 1979;17(5):859-880

    3) Cawello W. et al.:Eur.J.Clin.Pharmacol., 1994;46(3):275-277

    4) Golub M. et al.:J. Clin. Invest., 1975;56(6):1404-1410

    5) Ahlen H. et al.:J. Urol., 1994;151(5):1227-1230

    6) Cawello W. et al.:J. Urol., 1997;158(4):1403-1407

    7) 宮本 積 他:現代医療, 1978;10(5):589-604

    8) Sakaguchi S. et al.:VASA. 1978;7:263-266

    9) 阿岸祐幸 他:現代医療, 1981;13(5):839-853

    10) 田辺達三 他:外科, 1980;42(2):152-157

    11) 福田 悟:日本臨床麻酔学会誌, 1992;12(4):528-533

    12) 山本尚三 他:プロスタグランジン研究法(上), 1986;35

    13) 西村昭男 他:現代医療, 1979;11(11):1491-1499

    14) 三島好雄:代謝, 1975;12:1727-1731

    15) 川崎晃義 他:応用薬理, 1979;17(6):1043-1060

    16) 桶川忠夫 他:現代医療, 1981;13:2132-2143

    17) 塩野谷恵彦 他:外科治療, 1976;34(2):213-218

    18) 本間浩樹 他:現代医療, 1981;13(3):445-448

    19) 西島早見:現代医療, 1977;9(2):195-199

    20) 原田英之 他:外科, 1982;44(10):1069-1074

    21) Sharpe G. L. et al.:Prostaglandins, 1975;9(5):703-719

    22) 門間和夫 他:日本新生児学会雑誌, 1985;21(2):396-402

    23) Hedlund H. et al.:J. Urol., 1985;134(6):1245-1250

    24) Tamura M. et al.:Int. J. Impoten. Res., 1990;2(Suppl.1):141-145

    24. 文献請求先及び問い合わせ先

    アルフレッサ ファーマ株式会社 製品情報部

    〒540-8575 大阪市中央区石町二丁目2番9号

    TEL 06-6941-0306 FAX 06-6943-8212

    26. 製造販売業者等

    26.1 製造販売元

    共創未来ファーマ株式会社

    東京都品川区広町1-4-4

    26.2 販売元

    アルフレッサ ファーマ株式会社

    大阪市中央区石町二丁目2番9号

    〒100-0013 東京都千代田区霞が関3-3-2 新霞が関ビル

    画面を閉じる

    Copyright © Pharmaceuticals and Medical Devices Agency, All Rights reserved.