医療用医薬品 詳細表示

アイドロイチン1%点眼液/アイドロイチン3%点眼液

添付文書番号

1319709Q3020_1_10

企業コード

300237

作成又は改訂年月

2021年8月改訂(第1版)

日本標準商品分類番号

871319

薬効分類名

角膜保護点眼剤

承認等

アイドロイチン1%点眼液

販売名コード

YJコード

1319709Q3020

販売名英語表記

Eyedroitin ophthalmic solution

承認番号等

承認番号

14500AMZ01362

販売開始年月

1970年9月

貯法・有効期間

貯法

室温保存

有効期間

3年

アイドロイチン3%点眼液

販売名コード

YJコード

1319709Q4027

販売名英語表記

Eyedroitin ophthalmic solution

承認番号等

承認番号

14500AMZ01360

販売開始年月

1970年9月

貯法・有効期間

貯法

室温保存

有効期間

3年

一般的名称

コンドロイチン硫酸エステルナトリウム点眼液

3. 組成・性状

3.1 組成

アイドロイチン1%点眼液

有効成分1mL中
コンドロイチン硫酸エステルナトリウム   10mg
添加剤塩化ナトリウム、ポビドン、酢酸ナトリウム水和物、クロロブタノール、パラオキシ安息香酸メチル、パラオキシ安息香酸プロピル、pH調節剤

アイドロイチン3%点眼液

有効成分1mL中
コンドロイチン硫酸エステルナトリウム   30mg
添加剤塩化ナトリウム、ポビドン、酢酸ナトリウム水和物、クロロブタノール、パラオキシ安息香酸メチル、パラオキシ安息香酸プロピル、pH調節剤

3.2 製剤の性状

アイドロイチン1%点眼液

pH4.5~6.0
浸透圧比約1
性状無色~淡黄色澄明、無菌水性点眼剤

アイドロイチン3%点眼液

pH4.5~6.0
浸透圧比約1
性状無色~淡黄色澄明、無菌水性点眼剤

4. 効能・効果

  • 角膜表層の保護

6. 用法・用量

  • 通常、1日2~4回、1回1~2滴宛点眼する。

11. 副作用

次の副作用があらわれることがあるので、観察を十分に行い、異常が認められた場合には投与を中止するなど適切な処置を行うこと。

11.2 その他の副作用

頻度不明

結膜充血、眼のそう痒感

14. 適用上の注意

14.1 薬剤交付時の注意

  • 患者に対し以下の点に注意するよう指導すること。
    ・薬液汚染防止のため、点眼のとき、容器の先端が直接目に触れないように注意すること。
    ・他の点眼剤を併用する場合には、少なくとも5分以上間隔をあけてから点眼すること。

17. 臨床成績

17.1 有効性及び安全性に関する試験

  1. 17.1.1 国内臨床試験①

    角膜炎及び結膜炎等の患者10例12眼を対象に、本剤1%を単剤又は他剤併用下で1回1~2滴、1日2~4回、1~17日間点眼した結果、有効率(改善以上)は91.6%(11/12眼)であった。
    副作用は認められなかった1)

  2. 17.1.2 国内臨床試験②

    角膜炎、角膜障害及び結膜炎の患者30例36眼を対象に、本剤1%を単剤又は他剤併用下で1回1~2滴、1日2~4回、2~52日間点眼した結果、有効率(やや改善以上)は97.2%(35/36眼)であった。
    副作用は認められなかった2)

18. 薬効薬理

18.1 作用機序

  • 粘性により角膜を保護する。

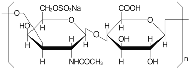
19. 有効成分に関する理化学的知見

一般的名称

  • コンドロイチン硫酸エステルナトリウム(Chondroitin Sulfate Sodium)

分子式

  • (C14H20O14NSNa)n

性状

  • 本品は白色~微黄褐色の粉末で、においはないか、又はわずかに特異なにおい及び味がある。
    本品は水に溶けやすく、エタノール、アセトン又はエーテルにほとんど溶けない。
    本品の水溶液(1→100)のpHは5.5~7.5である。
    本品は吸湿性である。

化学構造式

22. 包装

プラスチック点眼容器 5mL×10本

24. 文献請求先及び問い合わせ先

参天製薬株式会社 製品情報センター

〒530-8552(個別郵便番号) 大阪市北区大深町4-20

TEL 0120-921-839 06-7664-8624
受付時間 9:00~17:00(土・日・祝日を除く)

26. 製造販売業者等

26.1 製造販売元

参天製薬株式会社

大阪市北区大深町4-20

〒100-0013 東京都千代田区霞が関3-3-2 新霞が関ビル

画面を閉じる

Copyright © Pharmaceuticals and Medical Devices Agency, All Rights reserved.