医療用医薬品 詳細表示

リタリン錠10mg

処方せん医薬品

添付文書番号
企業コード
作成又は改訂年月
日本標準商品分類番号
薬効分類名
承認等
一般的名称
1.警告
2.禁忌(次の患者には投与しないこと)
3.組成・性状
3.1組成
3.2製剤の性状
4.効能又は効果
6.用法及び用量
7.用法及び用量に関連する注意
8.重要な基本的注意
9.特定の背景を有する患者に関する注意
9.1合併症・既往歴等のある患者
9.5妊婦
9.6授乳婦
9.7小児等
9.8高齢者
10.相互作用
10.1併用禁忌(併用しないこと)
10.2併用注意(併用に注意すること)
11.副作用
11.1重大な副作用
11.2その他の副作用
13.過量投与
15.その他の注意
15.1臨床使用に基づく情報
15.2非臨床試験に基づく情報
16.薬物動態
16.1血中濃度
16.5排泄
17.臨床成績
17.1有効性及び安全性に関する試験
18.薬効薬理
18.1作用機序
18.2中枢神経刺激作用
18.3自発運動に及ぼす影響
18.4睡眠に及ぼす影響
19.有効成分に関する理化学的知見
20.取扱い上の注意
21.承認条件
22.包装
23.主要文献
24.文献請求先及び問い合わせ先
25.保険給付上の注意
26.製造販売業者等

リタリン錠10mg

添付文書番号

1179009F1035_1_07

企業コード

300242

作成又は改訂年月

**2025年9月改訂(第3版)
2024年2月改訂(第2版)

日本標準商品分類番号

871179

薬効分類名

中枢神経刺激剤

承認等

リタリン錠10mg

販売名コード

YJコード

1179009F1035

販売名英語表記

Ritalin tablets 10mg

販売名ひらがな

りたりんじょう10mg

承認番号等

承認番号

22100AMX01357000

販売開始年月

1958年11月

貯法・有効期間

貯法

室温保存

有効期間

3年

規制区分

一般的名称

メチルフェニデート塩酸塩

1. 警告

  1. 1.1 本剤の投与は、ナルコレプシーの診断、治療に精通し、薬物依存を含む本剤のリスク等についても十分に管理できる医師・医療機関・管理薬剤師のいる薬局のもとでのみ行うとともに、それら薬局においては、調剤前に当該医師・医療機関を確認した上で調剤を行うこと。

2. 禁忌(次の患者には投与しないこと)

  1. 2.1 過度の不安、緊張、興奮性のある患者[中枢神経刺激作用により症状を悪化させることがある。]
  2. 2.2 閉塞隅角緑内障の患者[眼圧を上昇させるおそれがある。]
  3. 2.3 甲状腺機能亢進のある患者[循環器系に影響を及ぼすことがある。]
  4. 2.4 不整頻拍、狭心症のある患者[症状が悪化するおそれがある。]
  5. 2.5 本剤の成分に対し過敏症の既往歴のある患者
  6. 2.6 運動性チック、Tourette症候群の患者又はその既往歴・家族歴のある患者[症状を悪化又は誘発させることがある。]
  7. 2.7 重症うつ病の患者[抑うつ症状が悪化するおそれがある。]
  8. 2.8 *褐色細胞腫又はパラガングリオーマのある患者[血圧を上昇させるおそれがある。]
  9. 2.9 モノアミンオキシダーゼ(MAO)阻害剤を投与中又は投与中止後14日以内の患者

3. 組成・性状

3.1 組成

リタリン錠10mg

有効成分1錠中メチルフェニデート塩酸塩   10mg
添加剤乳糖、第三リン酸カルシウム、トウモロコシデンプン、ヒドロキシプロピルセルロース、リン酸二水素カルシウム、ゼラチン、タルク、ステアリン酸マグネシウム

3.2 製剤の性状

リタリン錠10mg

外形
識別コードCG 202
性状白色の割線入りの素錠
大きさ(約)直径:7.0mm 厚さ:2.6mm 質量:0.14g

4. 効能又は効果

ナルコレプシー

6. 用法及び用量

メチルフェニデート塩酸塩として、通常成人1日20~60mgを1~2回に分割経口投与する。なお、年齢、症状により適宜増減する。

7. 用法及び用量に関連する注意

覚醒効果があるので、不眠に注意し、夕刻以後の服薬は原則として避けさせること。

8. 重要な基本的注意

  1. 8.1 本剤を投与する医師又は医療従事者は、投与前に患者又は家族等に対して、本剤の治療上の位置づけ、依存性等を含む本剤のリスクについて、十分な情報を提供するとともに、適切な使用法について指導すること。
  2. 8.2 本剤を長期間投与する場合には、定期的に血液学的検査を行うことが望ましい。
  3. 8.3 心血管系に対する影響を観察するため、本剤の投与期間中は、定期的に心拍数(脈拍数)及び血圧を測定すること。
  4. 8.4 視覚障害の症状(視調節障害、霧視)が報告されている。視覚障害が認められた場合には、眼の検査を実施し、必要に応じて投与を中断又は中止すること。
  5. 8.5 通常量の本剤を服用していた精神病性障害や躁病の既往がない患者において、幻覚等の精神病性又は躁病の症状が報告されている。このような症状の発現を認めたら、本剤との関連の可能性を考慮すること。投与中止が適切な場合もある。
  6. 8.6 めまい、眠気、視覚障害等が発現するおそれがあるので、本剤投与中の患者には、自動車の運転等危険を伴う機械の操作には従事させないように注意すること。

9. 特定の背景を有する患者に関する注意

9.1 合併症・既往歴等のある患者

  1. 9.1.1 てんかん又はその既往歴のある患者

    痙攣閾値を低下させ、発作を誘発させるおそれがある。

  2. 9.1.2 患者の心疾患に関する病歴、突然死や重篤な心疾患に関する家族歴等から、心臓に重篤ではないが異常が認められる、若しくはその可能性が示唆される患者

    本剤の投与を検討する場合には、投与開始前に心電図検査等により心血管系の状態を評価すること。

  3. 9.1.3 高血圧の患者、心不全、心筋梗塞を起こしたことのある患者

    血圧又は心拍数を上昇させるおそれがある。

  4. 9.1.4 脳血管障害(脳動脈瘤、血管炎、脳卒中等)のある患者又はその既往歴のある患者

    これらの症状を悪化又は再発させることがある。

  5. 9.1.5 精神系疾患(統合失調症、精神病性障害、双極性障害)のある患者

    行動障害、思考障害又は躁病エピソードの症状が悪化するおそれがある。

  6. 9.1.6 薬物依存又はアルコール中毒等の既往歴のある患者

    慢性的乱用により過度の耐性及び様々な程度の異常行動を伴う精神的依存を生じる可能性がある。

  7. 9.1.7 心臓に構造的異常又は他の重篤な問題のある患者

    因果関係は確立していないが、本剤を含む中枢神経刺激作用を有する薬剤の投与による突然死の報告がある。

  8. 9.1.8 開放隅角緑内障の患者

    眼圧を上昇させるおそれがある。

9.5 妊婦

妊婦又は妊娠している可能性のある女性には投与しないことが望ましい。動物実験(ウサギ)において大量投与(200mg/kg/日)により催奇形性(二分脊椎)が報告されている。

9.6 授乳婦

授乳しないことが望ましい。ヒトでメチルフェニデートが、乳汁中に移行するとの報告がある。

9.7 小児等

  1. 9.7.1 低出生体重児、新生児、乳児又は6歳未満の幼児には治療上やむを得ないと判断される場合を除き、投与しないこと。
  2. 9.7.2 本剤の投与が長期にわたる場合には患児の成長に注意し、身長や体重の増加が思わしくない時は投与を中断すること。小児に本剤を長期投与した場合に体重増加の抑制、成長遅延が報告されている。

9.8 高齢者

減量するなど注意すること。一般に生理機能が低下している。

10. 相互作用

    10.1 併用禁忌(併用しないこと)

    薬剤名等臨床症状・措置方法機序・危険因子

    MAO阻害剤
    セレギリン(エフピー)
    ラサギリン(アジレクト)
    サフィナミド(エクフィナ)

    高血圧クリーゼ等の重篤な副作用発現のおそれがある。
    MAO阻害剤を投与中又は投与中止後14日以内の患者には本剤を投与しないこと。

    脳内モノアミン総量が増加するおそれがある。

    10.2 併用注意(併用に注意すること)

    薬剤名等臨床症状・措置方法機序・危険因子

    昇圧剤

    昇圧作用を増強させることがある。

    本剤は交感神経刺激作用を有するため。

    クマリン系抗凝血剤

    • ワルファリン

    クマリン系抗凝血剤の作用が増強されることがある。

    クマリン系抗凝血剤の半減期を延長させる。

    抗痙攣剤

    • フェノバルビタール
      フェニトイン
      プリミドン

    抗痙攣剤の作用が増強されることがある。

    本剤はこれらの薬剤の代謝を阻害すると考えられる。

    三環系抗うつ剤

    • イミプラミン等

    選択的セロトニン再取り込み阻害剤

    • フルボキサミン
      パロキセチン
      セルトラリン 等

    三環系抗うつ剤、選択的セロトニン再取り込み阻害剤の作用が増強されることがある。

    本剤はこれらの薬剤の代謝を阻害すると考えられる。

    選択的ノルアドレナリン再取り込み阻害剤

    • アトモキセチン

    本剤の作用が増強するおそれがあるため、注意して投与すること。

    ノルアドレナリンへの作用を相加的又は相乗的に増強する可能性がある。

    クロニジン

    本剤との併用により、突然死の報告がある。

    機序は不明である。

    アルコール

    精神神経系の副作用が増強されることがある。

    アルコールは本剤の精神神経系の作用を増強させる。

    11. 副作用

    次の副作用があらわれることがあるので、観察を十分に行い、異常が認められた場合には投与を中止するなど適切な処置を行うこと。

    11.1 重大な副作用

    1. 11.1.1 剥脱性皮膚炎(頻度不明)
    2. 11.1.2 狭心症(頻度不明)
    3. 11.1.3 悪性症候群(Syndrome malin)(頻度不明)

      発熱、高度の筋硬直、CK上昇等があらわれることがあるので、このような場合には体冷却、水分補給等の適切な処置を行うこと。

    4. 11.1.4 脳血管障害(血管炎、脳梗塞、脳出血、脳卒中)(頻度不明)
    5. 11.1.5 肝不全、肝機能障害(いずれも頻度不明)

      肝不全(急性肝不全等)、肝機能障害があらわれることがある。

    11.2 その他の副作用

    5%以上

    5%未満

    頻度不明

    **過敏症

    発疹

    血管浮腫、紅斑、耳介腫脹

    **

    視調節障害、霧視、複視、散瞳、眼圧上昇

    **精神神経系

    頭痛・頭重、注意集中困難、神経過敏、不眠、眠気、リビドー障害

    不安、焦燥、易怒・攻撃的、行為心迫、うつ状態、幻覚、妄想、めまい、振戦

    興奮、チック、舞踏病様症状、Tourette症候群、ジスキネジア、痙攣、常同症、運動亢進、中毒性精神障害注1)、作用消失後の眠気、抑制、不快感、けん怠感、自殺念慮又は企図、うつ病、吃音、歯ぎしり、易刺激性、感情不安定、怒り、気分変化、気分動揺、過覚醒、躁病、失見当識、無感情、錯乱状態、強迫性障害

    消化器

    口渇、食欲不振、胃部不快感、便秘

    悪心・嘔吐、下痢、口内炎

    循環器

    心悸亢進、不整脈

    頻脈、血圧上昇、血圧下降

    **血液

    血小板減少性紫斑、白血球減少、血小板減少、貧血、汎血球減少症

    肝臓

    黄疸、肝機能検査値の異常(AST・ALT・ALP上昇等)

    **,*呼吸器

    呼吸困難

    鼻出血、咽喉頭疼痛

    **,*生殖器

    持続勃起症、女性化乳房、勃起不全

    **筋骨格系

    筋緊張

    関節痛

    筋攣縮

    **全身

    胸部圧迫感、胸痛

    疲労、発熱

    **その他

    排尿障害、発汗

    体重減少、頻尿、脱毛、レイノー現象

    注1)このような場合には中枢抑制剤(睡眠薬、抗不安薬、抗精神病薬)の投与等適切な処置を行うこと。
    注2)発現頻度は承認時以降の副作用頻度調査を含む。

    13. 過量投与

    1. 13.1 症状

      主に中枢神経系の過剰刺激及び過度の交感神経興奮に起因する次の諸症状

      • 嘔吐、激越、振戦、反射亢進、筋攣縮、痙攣(昏睡を続発することがある)、多幸感、錯乱、幻覚、せん妄、発汗、潮紅、頭痛、高熱、頻脈、心悸亢進、不整脈、高血圧、散瞳、粘膜乾燥
    2. 13.2 処置

      自己損傷の防止、過刺激症状をさらに悪化させる外部刺激の排除に留意。
      徴候、症状がそれほど重篤でなく、患者に意識がある場合には催吐あるいは胃洗浄によって胃内容物を除去する。重篤な場合は胃洗浄の前に短時間作用型バルビツール酸系薬剤を用量に注意し投与する。又は活性炭や下剤の投与を行う。高熱に対しては物理的な解熱処置をとる。

    15. その他の注意

    15.1 臨床使用に基づく情報

    1. 15.1.1 因果関係は確立していないが、本剤とクロニジンとの併用により、突然死が報告されている。
    2. 15.1.2 適応外疾患(注意欠陥多動性障害(ADHD))に対する投与で、全身痙攣が報告されている。

    15.2 非臨床試験に基づく情報

    1. 15.2.1 メチルフェニデートの長期発癌性試験の結果、F344/Nラットを用いた試験では癌原性は認められなかった。B6C3F1マウスを用いた試験では、雌雄両性で肝細胞腺腫の増加、60mg/kg/day投与群の雄で肝芽細胞腫の発現がみられている。
    2. 15.2.2 メチルフェニデートはSalmonella typhimuriumを用いたAmes試験では突然変異誘発性は認められなかった。チャイニーズハムスターの培養卵細胞を用いた試験では姉妹染色分体変換と染色体異常の増加がみられ、弱い染色体異常誘発性が認められている。

    16. 薬物動態

    16.1 血中濃度

    健康成人に14C-メチルフェニデート塩酸塩を経口投与した研究では、血漿中14Cが最高濃度を示すのは投与後約2時間で、この14Cは主に代謝産物によるものである1)(外国人のデータ)。

    16.5 排泄

    投与後8、48時間での尿中排泄率はそれぞれ50、90%であり、糞中には極く少量しか排泄されない。
    尿中の主要代謝産物は脱エステル化体で、投与量の80%を占めている。14Cの半減期は尿中排泄率より計算して7時間である1)(外国人のデータ)。

    17. 臨床成績

    17.1 有効性及び安全性に関する試験

    1. 17.1.1 国内臨床試験

      一般臨床試験において、ナルコレプシーに対する有効率は89.6%(95/106)であった。
      また、二重盲検比較試験において本剤の有用性が認められている。

    18. 薬効薬理

    18.1 作用機序

    メチルフェニデートは、シナプス前終末でのドパミン及びノルアドレナリンの再取り込みを阻害し、シナプス間隙のドパミン及びノルアドレナリン濃度を上昇させて神経系の興奮性を高めるものと考えられているが2),3),4)、ナルコレプシーの治療効果における詳細な作用機序は十分に解明されていない。

    18.2 中枢神経刺激作用

    マウス、ラット、ウサギ、イヌにおいてメチルフェニデート塩酸塩0.5~5mg/kgの経口又は非経口的投与により運動の亢進、攻撃的行動、闘争的衝動等の中枢性興奮症状が認められている5)

    18.3 自発運動に及ぼす影響

    マウスにメチルフェニデート塩酸塩15mg/kgを経口投与し、振動カゴを用いて観察した実験では投与1時間後に未処置群の4倍の運動量を示し、またラットによる回転カゴ実験において10mg/kgを経口投与した場合には著明な自発運動の亢進が認められている5)
    メチルフェニデート塩酸塩の運動亢進作用はその強さ及び持続性においてメタンフェタミン、カフェインのほぼ中間であることが認められている5),6)

    18.4 睡眠に及ぼす影響

    REM型ナルコレプシーの患者(13例)にメチルフェニデート塩酸塩(10~40mg)を投与し、同じ日の午前(無投薬)と午後(試験薬投与後)の2回反復して1時間のポリグラフィを行い両記録を比較した結果、覚醒維持機能の指標となる入眠前覚醒持続時間(入眠潜時)が3.5倍に延長し強力な覚醒作用を持つことが認められている。また、REM睡眠抑制効果の指標となる入眠時REM期の持続時間の短縮が認められ、REM睡眠抑制作用の存在が示されている7)

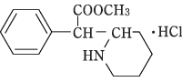
    19. 有効成分に関する理化学的知見

    一般的名称

    メチルフェニデート塩酸塩(Methylphenidate Hydrochloride)

    化学名

    Methylα-phenyl-2-piperidineacetate hydrochloride

    分子式

    C14H19NO2・HCl

    分子量

    269.77

    性状

    白色の結晶性の粉末で、においはない。
    水又はメタノールに溶けやすく、酢酸(100)、エタノール(95)又はクロロホルムにやや溶けやすく、ジクロロメタンにやや溶けにくく、無水酢酸又はアセトンに溶けにくく、酢酸エチルに極めて溶けにくい。
    本品の水溶液(1→20)のpHは3.5~5.0である。
    本品の水溶液(1→20)は旋光性がない。
    融点:約205℃(分解)

    化学構造式

    20. 取扱い上の注意

    瓶開封後は、湿気を避けて保存すること。

    21. 承認条件

    本剤の投与が、ナルコレプシーの診断、治療に精通し、薬物依存を含む本剤のリスク等についても十分に管理できる医師・医療機関・管理薬剤師のいる薬局のもとでのみ行われるとともに、それら薬局においては調剤前に当該医師・医療機関を確認した上で調剤がなされるよう、製造販売にあたって必要な措置を講じること。

    22. 包装

    100錠[瓶、バラ]
    500錠[瓶、バラ]

    24. 文献請求先及び問い合わせ先

    ノバルティスファーマ株式会社 ノバルティスダイレクト

    〒105-6333 東京都港区虎ノ門1-23-1

    25. 保険給付上の注意

    本剤は厚生労働省告示第97号(平成20年3月19日付)に基づき、投薬期間は1回30日間分を限度とされています。

    26. 製造販売業者等

    26.1 製造販売

    ノバルティスファーマ株式会社

    東京都港区虎ノ門1-23-1

    〒100-0013 東京都千代田区霞が関3-3-2 新霞が関ビル

    画面を閉じる

    Copyright © Pharmaceuticals and Medical Devices Agency, All Rights reserved.