医療用医薬品 詳細表示

エイゾプト懸濁性点眼液1%

処方せん医薬品

添付文書番号
企業コード
作成又は改訂年月
日本標準商品分類番号
薬効分類名
承認等
一般的名称
2.禁忌(次の患者には投与しないこと)
3.組成・性状
3.1組成
3.2製剤の性状
4.効能又は効果
6.用法及び用量
8.重要な基本的注意
9.特定の背景を有する患者に関する注意
9.1合併症・既往歴等のある患者
9.2腎機能障害患者
9.3肝機能障害患者
9.5妊婦
9.6授乳婦
9.7小児等
9.8高齢者
10.相互作用
10.2併用注意(併用に注意すること)
11.副作用
11.2その他の副作用
14.適用上の注意
16.薬物動態
16.1血中濃度
16.6特定の背景を有する患者
17.臨床成績
17.1有効性及び安全性に関する試験
18.薬効薬理
18.1作用機序
19.有効成分に関する理化学的知見
22.包装
23.主要文献
24.文献請求先及び問い合わせ先
26.製造販売業者等

エイゾプト懸濁性点眼液1%

添付文書番号

1319748Q1036_2_03

企業コード

300242

作成又は改訂年月

2021年7月改訂(第1版)

日本標準商品分類番号

871319

薬効分類名

眼圧下降剤

承認等

エイゾプト懸濁性点眼液1%

販売名コード

YJコード

1319748Q1036

販売名英語表記

Azopt Ophthalmic Suspension 1%

承認番号等

承認番号

21900AMX00906000

販売開始年月

2002年12月

貯法・有効期間

貯法

室温保存

有効期間

3年

一般的名称

ブリンゾラミド懸濁性点眼液

2. 禁忌(次の患者には投与しないこと)

  1. 2.1 本剤の成分に対して過敏症の既往歴のある患者
  2. 2.2 重篤な腎障害のある患者

3. 組成・性状

3.1 組成

エイゾプト懸濁性点眼液1%

有効成分1mL中含量 ブリンゾラミド   10mg
添加剤カルボキシビニルポリマー、チロキサポール、D-マンニトール、エデト酸ナトリウム水和物、ベンザルコニウム塩化物、pH調節剤2成分、等張化剤

3.2 製剤の性状

エイゾプト懸濁性点眼液1%

pH約7.5
浸透圧比0.9~1.2
(0.9%塩化ナトリウム液に対する比)
性状白色~微黄白色の無菌懸濁性点眼液

4. 効能又は効果

次の疾患で、他の緑内障治療薬が効果不十分又は使用できない場合:緑内障、高眼圧症

6. 用法及び用量

通常、1回1滴、1日2回点眼する。なお、十分な効果が得られない場合には1回1滴、1日3回点眼することができる。

8. 重要な基本的注意

  1. 8.1 本剤は点眼後、全身的に吸収されるため、スルホンアミド系薬剤の全身投与時と同様の副作用があらわれるおそれがあるので注意すること。
  2. 8.2 本剤の点眼後、一時的に目がかすむことがあるので、機械類の操作や自動車等の運転には注意させること。

9. 特定の背景を有する患者に関する注意

9.1 合併症・既往歴等のある患者

  1. 9.1.1 角膜障害(角膜内皮細胞の減少等)のある患者

    安全性は確立していない。角膜内皮細胞数の減少により角膜浮腫の発現が増加する可能性がある。

  2. 9.1.2 急性閉塞隅角緑内障の患者

    本剤を用いる場合には、薬物治療以外に手術療法などを考慮すること。

9.2 腎機能障害患者

  1. 9.2.1 重篤な腎障害のある患者

    投与しないこと。本剤及びその代謝物は、主に腎より排泄されるため、排泄遅延により副作用があらわれるおそれがある。

9.3 肝機能障害患者

肝機能障害患者を対象とした臨床試験は実施していない。

9.5 妊婦

妊婦又は妊娠している可能性のある女性には、治療上の有益性が危険性を上回ると判断される場合にのみ投与すること。動物実験で胎盤を通過することが報告されている。

9.6 授乳婦

治療上の有益性及び母乳栄養の有益性を考慮し、授乳の継続又は中止を検討すること。動物実験で乳汁中に移行することが報告されている。

9.7 小児等

小児等を対象とした臨床試験は実施していない。

9.8 高齢者

一般に生理機能が低下している。

10. 相互作用

    10.2 併用注意(併用に注意すること)

    薬剤名等臨床症状・措置方法機序・危険因子

    炭酸脱水酵素阻害剤
    (全身投与)

    • アセタゾラミド等

    炭酸脱水酵素阻害剤の全身的な作用に対して相加的な作用を示す可能性があるので、異常が認められた場合には、投与を中止すること。

    作用が相加的にあらわれる可能性がある。

    アスピリン
    (大量投与)

    本剤を大量のアスピリンと併用すると、双方又は一方の薬剤の副作用が増強されるおそれがあるので、異常が認められた場合には、投与を中止すること。

    炭酸脱水酵素阻害剤の血漿蛋白結合と腎からの排泄を抑制し、炭酸脱水酵素阻害剤は血液のpHを低下させ、サリチル酸の血漿から組織への移行を高める可能性がある。

    11. 副作用

    次の副作用があらわれることがあるので、観察を十分に行い、異常が認められた場合には投与を中止するなど適切な処置を行うこと。

    11.2 その他の副作用

    5%以上

    0.1~5%未満

    0.1%未満

    頻度不明

    霧視、眼瞼炎、乾燥感、異物感、充血、眼脂、不快感、眼痛、眼刺激、そう痒感、結膜炎(アレルギー性結膜炎を含む)、疲れ目、眼瞼辺縁痂皮、角膜炎、角膜上皮障害(点状角膜炎、角膜びらん等)、べとつき感、流涙

    角結膜炎、複視

    角膜浮腫

    消化器

    下痢、口内乾燥、消化不良、嘔気

    皮膚

    脱毛、皮膚炎

    蕁麻疹

    発疹

    その他

    味覚異常(苦味、味覚倒錯等)

    頭痛、鼻炎、胸部痛、めまい、呼吸困難、咽頭炎、うつ病、鼻出血、咳嗽

    緊張亢進、腎疼痛、疲労、赤血球数の減少、耳鳴

    感覚鈍麻

    注)発現頻度は使用成績調査を含む。

    14. 適用上の注意

    14.1 薬剤交付時の注意

    患者に対し以下の点に注意するよう指導すること。

    • 使用時、キャップを閉じたままよく振ってからキャップを開けて点眼すること。
    • 薬液汚染防止のため、点眼のとき、容器の先端が直接目に触れないように注意すること。
    • 患眼を開瞼して結膜囊内に点眼し、1~5分間閉瞼して涙囊部を圧迫させた後、開瞼すること。
    • 他の点眼剤を併用する場合には、少なくとも10分以上間隔をあけてから点眼すること。
    • 本剤に含まれているベンザルコニウム塩化物は、ソフトコンタクトレンズに吸着されることがあるので、点眼時はコンタクトレンズをはずし、15分以上経過後装用すること1)

    16. 薬物動態

    16.1 血中濃度

    1. 16.1.1 反復投与
      1. (1) 日本人の健康成人(男女)の両眼に本剤を1回1滴、1日2回、12週間点眼した時の赤血球中におけるブリンゾラミド濃度は18.4μmol/L、主代謝物であるN-デスエチルブリンゾラミド濃度は定量限界(0.16μg/mL)以下であり、赤血球中全炭酸脱水酵素(CA)及びⅡ型炭酸脱水酵素(CA-Ⅱ)活性は、それぞれ投与前の約51%及び約24%であった。また、赤血球中薬物濃度及びCA活性に性差は認められなかった2)
      2. (2) 外国人の緑内障患者の両眼に本剤を1回1滴、1日2回又は1日3回、18ヵ月間点眼した時の赤血球中ブリンゾラミド濃度は、両投与方法で17.1μmol/Lであり、N-デスエチルブリンゾラミド濃度は2.52μmol/L(1日2回)及び5.85μmol/L(1日3回)であった。また、18ヵ月後の赤血球中全CA活性は、投与前の約45%(1日2回)及び約49%(1日3回)であり、両投与方法の間で有意な差はなかった。赤血球中のCA-Ⅱ活性は、3ヵ月後では約41%(1日2回)及び約28%(1日3回)であったが、18ヵ月後では約18%(1日2回)及び約23%(1日3回)で両投与方法間で有意な差は認められなかった3),4)

    16.6 特定の背景を有する患者

    1. 16.6.1 外国人の中程度腎障害患者(クレアチニンクリアランス値:30~60mL/min/1.73m2)にブリンゾラミド1mgを1日2回60週間経口投与した時、定常状態における赤血球中のブリンゾラミド及び主代謝物であるN-デスエチルブリンゾラミドの濃度は29.6μmol/L及び42.3μmol/Lであり、赤血球中全CA及びCA-Ⅱ活性は投与前の約24%及び約3%であった5)

    17. 臨床成績

    17.1 有効性及び安全性に関する試験

    1. 17.1.1 国内第Ⅱ相試験

      原発開放隅角緑内障又は高眼圧症患者68例を対象とし、無作為化非盲検法で実施した用量反応試験において、眼圧下降率は、0.25%群13.4%、0.5%群14.9%、1%群17.9%、2%群18.2%で、有意な用量反応性が認められ、眼圧下降効果は1%群でプラトーに達していた6)
      副作用発現頻度は8.7%(6/69例)であった。副作用は、角膜炎(1.4%)、眼充血(1.4%)、眼痛(1.4%)、嘔気(1.4%)、疲労(1.4%)、赤血球数の減少(1.4%)であった。

    2. 17.1.2 海外第Ⅱ相試験

      原発開放隅角緑内障又は高眼圧症患者を対象とし、二重盲検法で実施した用量反応試験において、眼圧下降率は、プラセボ群4.8%、0.3%群11.9%、1%群16.1%、2%群16.1%、3%群15.4%で、有意な用量反応性が認められ、眼圧下降効果は1%群でプラトーに達していた7)
      副作用発現頻度は0.3%群で14.3%(4/28例)、1%群で26.5%(9/34例)、2%群で30.0%(9/30例)及び3%群で36.4%(12/33例)であった。主な副作用は、0.3%群で味覚倒錯7.1%(2/28例)、1%群で味覚倒錯14.7%(5/34例)眼内不快感5.9%(2/34例)口内乾燥5.9%(2/34例)、2%群で味覚倒錯16.7%(5/30例)霧視6.7%(2/30例)鼻炎6.7%(2/30例)及び3%群で味覚倒錯24.2%(8/33例)霧視9.1%(3/33例)眼沈着物6.1%(2/33例)であった。

    3. 17.1.3 海外第Ⅲ相試験

      開放隅角緑内障又は高眼圧症を対象とした、ドルゾラミド塩酸塩2%点眼液との二重盲検比較試験において、本剤1日2回単独投与時の眼圧下降値は、3.4~5.7mmHg(各測定時点における平均値)であり、ドルゾラミド塩酸塩2%点眼液と同等(非劣性)であった8),9)。チモロールマレイン酸塩0.5%点眼液との併用療法による開放隅角緑内障又は高眼圧症を対象としたドルゾラミド塩酸塩2%点眼液との二重盲検比較試験において、本剤1日2回投与時の眼圧下降値は、3.6~5.3mmHg(各測定時点における平均値)であり、ドルゾラミド塩酸塩2%点眼液と同等(非劣性)であった10)。本剤の眼圧下降効果は、18ヵ月間の長期投与においても減弱しなかった4)

    4. 17.1.4 海外第Ⅲ相試験

      本剤単独投与時の眼圧下降値は、1日2回投与で3.4~5.7mmHg(各測定時点における平均値)、1日3回投与で4.1~5.6mmHg(各測定時点における平均値)と同等(非劣性)であったが、1日3回投与の効果が若干高かった8),9)

    18. 薬効薬理

    18.1 作用機序

    炭酸脱水酵素(CA)は多くの全身組織に存在し、CO2の加水反応及び炭酸の脱水という可逆性の反応を触媒する。ヒトの眼には複数の炭酸脱水酵素アイソザイムが存在するが、ブリンゾラミドは最も活性の高いCA-Ⅱを選択的に阻害する。ブリンゾラミドは眼の毛様体中のCA-Ⅱを阻害し、HCO3-の生成速度を低下させ、それに伴い、Na+及び水の後房への輸送を抑えることにより房水の分泌を抑制し、その結果眼圧を下げると考えられている11),12),13),14)

    18.2 眼圧下降作用

    レーザー線維柱帯形成術によって高眼圧症を誘発された12匹のカニクイザルにおいて、ブリンゾラミド1%懸濁液を1日2回点眼したところ、投与1、3、6及び12時間後の眼圧は24.7%、35.8%、26.5%及び23.5%下降した15)

    18.3 炭酸脱水酵素阻害作用

    本剤はⅡ型炭酸脱水酵素(CA-Ⅱ)に親和性が高く、Ⅰ型炭酸脱水酵素に比べ約95倍の結合能を示した16)

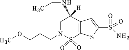
    19. 有効成分に関する理化学的知見

    一般的名称

    ブリンゾラミド(brinzolamide)

    化学名

    (R)-4-(ethylamino)-3,4-dihydro-2-(3-methoxypropyl)-2H-thieno[3, 2, e]-1,2-thiazine-6-sulfonamide 1,1-dioxide

    分子式

    C12H21N3O5S3

    分子量

    383.51

    性状

    白色~微黄白色の結晶又は結晶性粉末で、メタノールにやや溶けにくく、エタノール(99.5)に溶けにくく、水に極めて溶けにくい。

    化学構造式

    融点

    約131℃

    22. 包装

    5mL×10本

    23. 主要文献

    1) Christensen MT, et al.:CLAO J.1998;24(4):227-231[20161037]

    2) 社内資料:日本人及び外国人健康成人における経口投与及び点眼による薬物動態(2002年10月8日承認、申請資料概要へ-43、ト-11)[20170268]

    3) 社内資料:外国人患者における長期単独点眼による赤血球中薬物濃度及び炭酸脱水酵素活性(2002年10月8日承認、申請資料概要へ-28、ト-9)[20170267]

    4) March WF, et al.:Am. J. Ophthalmol.2000;129(2):136-143[20160850]

    5) 社内資料:外国人中程度腎障害患者における反復経口投与時の薬物動態(2002年10月8日承認、申請資料概要へ-39、40)[20170269]

    6) 北澤克明 他:日本眼科紀要.2003;54(1):65-73[20160988]

    7) 社内資料:外国人患者を対象とした第Ⅱ相用量反応試験(2002年10月8日承認、申請資料概要ト-3)[20170257]

    8) Sall K, et al.:Surv. Ophthalmol.2000;44(Suppl 2):S155-S162[20160845]

    9) Silver LH, et al.:Am. J. Ophthalmol.1998;126(3):400-408[20160989]

    10) Michaud JE, et al.:Am. J. Ophthalmol.2001;132(2):235-243[20160990]

    11) 中島正之:あたらしい眼科.1993;10(6):959-964[20160991]

    12) Millar C, et al.:Duane’s Foundations of Clinical Ophthalmology/Tasman W, et al ed/Lippincott-Raven. 1995:Vol.2, Chap. 6:1-51[20160992]

    13) Maren TH:J. Exp. Zool.1997;279(5):490-497[20160993]

    14) 佐藤清二:小児科診療.1991;54(7):1513-1520[20160994]

    15) 社内資料:高眼圧サルにおける眼圧下降作用(2002年10月8日承認、申請資料概要ホ-5)[20170265]

    16) 社内資料:ヒトⅠ型及びⅡ型炭酸脱水酵素に対する結合能(2002年10月8日承認、申請資料概要ホ-1)[20170263]

    24. 文献請求先及び問い合わせ先

    ノバルティスファーマ株式会社 ノバルティスダイレクト

    〒105-6333 東京都港区虎ノ門1-23-1

    26. 製造販売業者等

    26.1 製造販売(輸入)

    ノバルティスファーマ株式会社

    東京都港区虎ノ門1-23-1

    〒100-0013 東京都千代田区霞が関3-3-2 新霞が関ビル

    画面を閉じる

    Copyright © Pharmaceuticals and Medical Devices Agency, All Rights reserved.