医療用医薬品 詳細表示

単シロップ シオエ

添付文書番号

7142001X1066_1_09

企業コード

340013

作成又は改訂年月

2023年7月改訂(第1版)

日本標準商品分類番号

877142

薬効分類名

矯味剤

承認等

単シロップ シオエ

販売名コード

YJコード

7142001X1066

販売名英語表記

Simple Syrup SIOE

承認番号等

許可番号

28A2X00025

販売開始年月

1949年11月

貯法・有効期間

貯法

室温保存

有効期間

3年

基準名

日本薬局方

単シロップ

一般的名称

単シロップ

3. 組成・性状

3.1 組成

単シロップ シオエ

有効成分1000mL中 日本薬局方白糖   850g
添加剤パラオキシ安息香酸イソブチル、パラオキシ安息香酸イソプロピル、パラオキシ安息香酸ブチル  

3.2 製剤の性状

単シロップ シオエ

性状無色〜微黄色の澄明な濃稠の液で、においはなく、味は甘い。
比重(20度,20度):1.310~1.325

4. 効能又は効果

矯味の目的で調剤に用いる。

6. 用法及び用量

矯味の目的で調剤に用いる。

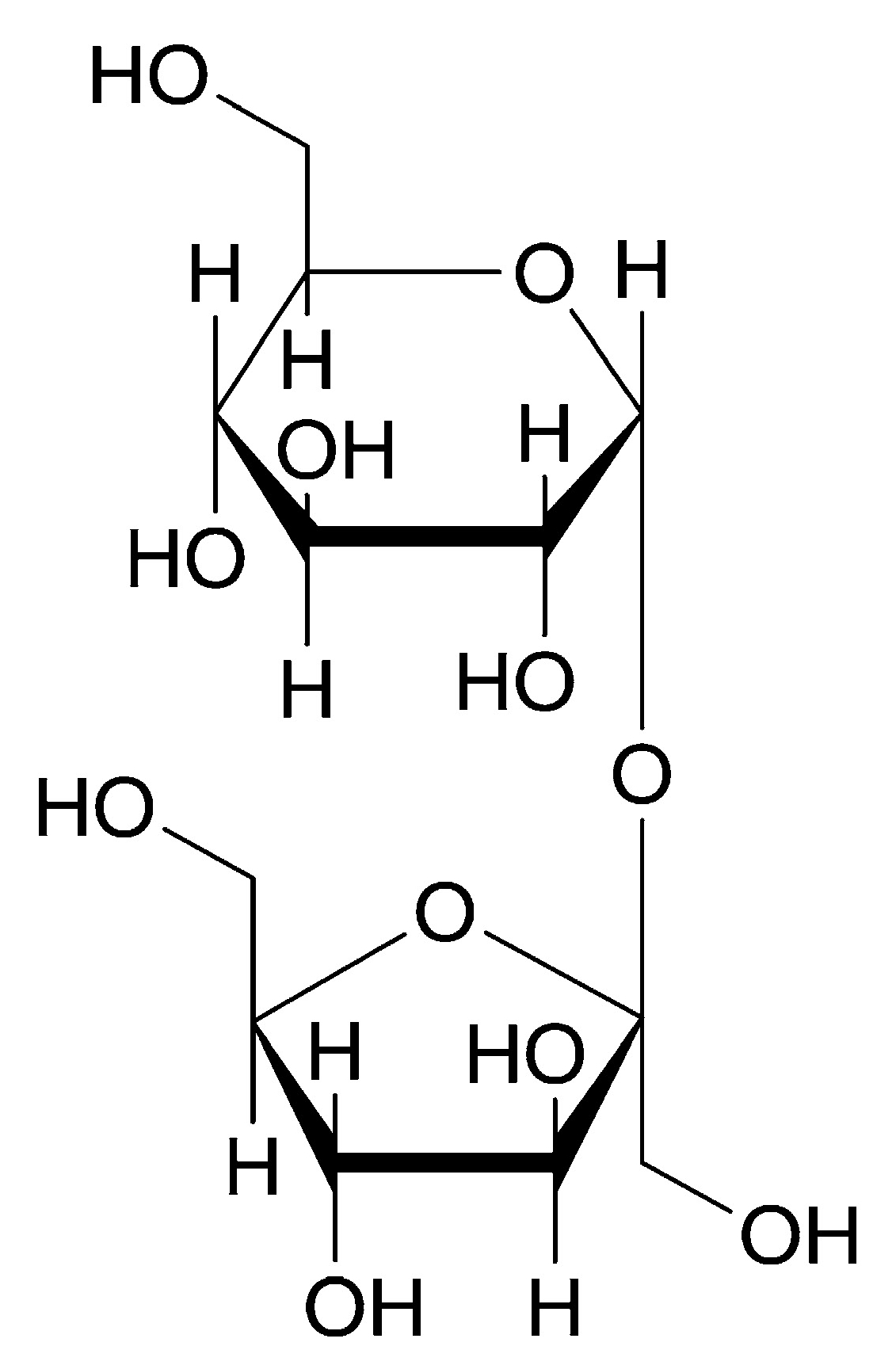
19. 有効成分に関する理化学的知見

一般的名称

白糖(White Soft Sugar)

分子式

C12H22O11

分子量

342.30

性状

無色又は白色の結晶又は結晶性の粉末で、においはなく、味は甘い。
水に極めて溶けやすく、エタノール(95)に極めて溶けにくく、ジエチルエーテルにほとんど溶けない。
本品の水溶液(1→10)は中性である。

化学構造式

20. 取扱い上の注意

開封後はなるべく早く使用し、使用後は汚染防止のため密栓して保存すること。

22. 包装

500mL(ガラス瓶)

24. 文献請求先及び問い合わせ先

シオエ製薬株式会社 製品情報担当

〒661-0976
兵庫県尼崎市潮江3丁目1番11号

TEL 06(6470)2102
FAX 06(6499)8132

26. 製造販売業者等

26.1 製造販売元

シオエ製薬株式会社

兵庫県尼崎市潮江3丁目1番11号

26.2 販売

日本新薬株式会社

京都市南区吉祥院西ノ庄門口町14

〒100-0013 東京都千代田区霞が関3-3-2 新霞が関ビル

画面を閉じる

Copyright © Pharmaceuticals and Medical Devices Agency, All Rights reserved.