医療用医薬品 詳細表示

サージセル・アブソーバブル・ヘモスタット/サージセル・アブソーバブル・ヘモスタット/サージセル・アブソーバブル・ヘモスタット/サージセル・アブソーバブル・ヘモスタット/サージセル・アブソーバブル・ヘモスタット/サージセル・アブソーバブル・ヘモスタット/サージセル・アブソーバブル・ヘモスタット/サージセル・アブソーバブル・ヘモスタット/サージセル・アブソーバブル・ヘモスタット

処方せん医薬品

添付文書番号
企業コード
作成又は改訂年月
日本標準商品分類番号
薬効分類名
承認等
一般的名称
2.禁忌(次の患者には投与しないこと)
3.組成・性状
3.1組成
3.2製剤の性状
4.効能又は効果
6.用法及び用量
7.用法及び用量に関連する注意
8.重要な基本的注意
10.相互作用
10.2併用注意(併用に注意すること)
11.副作用
11.1重大な副作用
11.2その他の副作用
13.過量投与
14.適用上の注意
16.薬物動態
16.2吸収
18.薬効薬理
18.1作用機序
19.有効成分に関する理化学的知見
20.取扱い上の注意
22.包装
23.主要文献
24.文献請求先及び問い合わせ先
26.製造販売業者等

サージセル・アブソーバブル・ヘモスタット/サージセル・アブソーバブル・ヘモスタット/サージセル・アブソーバブル・ヘモスタット/サージセル・アブソーバブル・ヘモスタット/サージセル・アブソーバブル・ヘモスタット/サージセル・アブソーバブル・ヘモスタット/サージセル・アブソーバブル・ヘモスタット/サージセル・アブソーバブル・ヘモスタット/サージセル・アブソーバブル・ヘモスタット

添付文書番号

3325700S1020_2_10

企業コード

340216

作成又は改訂年月

2024年3月改訂(第1版)

日本標準商品分類番号

873325

薬効分類名

可吸収性止血剤

承認等

サージセル・アブソーバブル・ヘモスタット

ガーゼ1.3cm×5.1cm1枚

販売名コード

YJコード

3325700X4027

販売名英語表記

SURGICEL Absorbable Hemostat

販売名ひらがな

さーじせるあぶそーばぶるへもすたっと

承認番号等

承認番号

14700AMY00205000

販売開始年月

1978年4月

貯法・有効期間

貯法

25℃以下に保存

有効期間

5年

サージセル・アブソーバブル・ヘモスタット

ガーゼ5.1cm×7.6cm1枚

販売名コード

YJコード

3325700X5023

販売名英語表記

SURGICEL Absorbable Hemostat

販売名ひらがな

さーじせるあぶそーばぶるへもすたっと

承認番号等

承認番号

14700AMY00205000

販売開始年月

1978年4月

貯法・有効期間

貯法

25℃以下に保存

有効期間

5年

サージセル・アブソーバブル・ヘモスタット

ガーゼ5.1cm×35.6cm1枚

販売名コード

YJコード

3325700X6020

販売名英語表記

SURGICEL Absorbable Hemostat

販売名ひらがな

さーじせるあぶそーばぶるへもすたっと

承認番号等

承認番号

14700AMY00205000

販売開始年月

1978年4月

貯法・有効期間

貯法

25℃以下に保存

有効期間

5年

サージセル・アブソーバブル・ヘモスタット

ガーゼ10.2cm×20.3cm1枚

販売名コード

YJコード

3325700X7026

販売名英語表記

SURGICEL Absorbable Hemostat

販売名ひらがな

さーじせるあぶそーばぶるへもすたっと

承認番号等

承認番号

14700AMY00205000

販売開始年月

1978年4月

貯法・有効期間

貯法

25℃以下に保存

有効期間

5年

サージセル・アブソーバブル・ヘモスタット

綿型5.1cm×2.5cm1枚

販売名コード

YJコード

3325700X8022

販売名英語表記

SURGICEL Absorbable Hemostat

販売名ひらがな

さーじせるあぶそーばぶるへもすたっと

承認番号等

承認番号

14700AMY00205000

販売開始年月

1999年10月

貯法・有効期間

貯法

25℃以下に保存

有効期間

3年

サージセル・アブソーバブル・ヘモスタット

ニューニット2.5cm×2.5cm

販売名コード

YJコード

3325700X9029

販売名英語表記

SURGICEL Absorbable Hemostat

販売名ひらがな

さーじせるあぶそーばぶるへもすたっと

承認番号等

承認番号

14700AMY00205000

販売開始年月

2000年9月

貯法・有効期間

貯法

25℃以下に保存

有効期間

5年

サージセル・アブソーバブル・ヘモスタット

ニューニット2.5cm×8.9cm

販売名コード

YJコード

3325700S1020

販売名英語表記

SURGICEL Absorbable Hemostat

販売名ひらがな

さーじせるあぶそーばぶるへもすたっと

承認番号等

承認番号

14700AMY00205000

販売開始年月

2000年9月

貯法・有効期間

貯法

25℃以下に保存

有効期間

5年

サージセル・アブソーバブル・ヘモスタット

ニューニット7.6cm×10.2cm

販売名コード

YJコード

3325700S2027

販売名英語表記

SURGICEL Absorbable Hemostat

販売名ひらがな

さーじせるあぶそーばぶるへもすたっと

承認番号等

承認番号

14700AMY00205000

販売開始年月

2000年9月

貯法・有効期間

貯法

25℃以下に保存

有効期間

5年

サージセル・アブソーバブル・ヘモスタット

ニューニット15.2cm×22.9cm

販売名コード

YJコード

3325700S3023

販売名英語表記

SURGICEL Absorbable Hemostat

販売名ひらがな

さーじせるあぶそーばぶるへもすたっと

承認番号等

承認番号

14700AMY00205000

販売開始年月

2000年9月

貯法・有効期間

貯法

25℃以下に保存

有効期間

5年

一般的名称

酸化セルロース
Cellulose, Oxidized

2. 禁忌(次の患者には投与しないこと)

  1. 2.1 骨孔の周り、骨の境界、脊髄周辺、視神経や視束交叉の周囲への留置,,
  2. 2.2 骨折面又は椎弓切除術創への留置,,,
  3. 2.3 大動脈の出血部[十分な止血効果を得られないため]
  4. 2.4 非出血性の多量の漿液浸出部[十分な止血効果を得られないため]

3. 組成・性状

3.1 組成

サージセル・アブソーバブル・ヘモスタット

ガーゼ型

ガーゼ1.3cm×5.1cm1枚
サージセル・アブソーバブル・ヘモスタット  本剤は、セルロースを酸化して得られた酸性多糖類繊維を、ガーゼ状又は綿状に調製した可吸収性製剤である。

サージセル・アブソーバブル・ヘモスタット

ガーゼ型

ガーゼ5.1cm×7.6cm1枚
サージセル・アブソーバブル・ヘモスタット  本剤は、セルロースを酸化して得られた酸性多糖類繊維を、ガーゼ状又は綿状に調製した可吸収性製剤である。

サージセル・アブソーバブル・ヘモスタット

ガーゼ型

ガーゼ5.1cm×35.6cm1枚
サージセル・アブソーバブル・ヘモスタット  本剤は、セルロースを酸化して得られた酸性多糖類繊維を、ガーゼ状又は綿状に調製した可吸収性製剤である。

サージセル・アブソーバブル・ヘモスタット

ガーゼ型

ガーゼ10.2cm×20.3cm1枚
サージセル・アブソーバブル・ヘモスタット  本剤は、セルロースを酸化して得られた酸性多糖類繊維を、ガーゼ状又は綿状に調製した可吸収性製剤である。

サージセル・アブソーバブル・ヘモスタット

綿型

綿型5.1cm×2.5cm1枚
サージセル・アブソーバブル・ヘモスタット  本剤は、セルロースを酸化して得られた酸性多糖類繊維を、ガーゼ状又は綿状に調製した可吸収性製剤である。

サージセル・アブソーバブル・ヘモスタット

ニューニット

ニューニット2.5cm×2.5cm
サージセル・アブソーバブル・ヘモスタット  本剤は、セルロースを酸化して得られた酸性多糖類繊維を、ガーゼ状又は綿状に調製した可吸収性製剤である。

サージセル・アブソーバブル・ヘモスタット

ニューニット

ニューニット2.5cm×8.9cm
サージセル・アブソーバブル・ヘモスタット  本剤は、セルロースを酸化して得られた酸性多糖類繊維を、ガーゼ状又は綿状に調製した可吸収性製剤である。

サージセル・アブソーバブル・ヘモスタット

ニューニット

ニューニット7.6cm×10.2cm
サージセル・アブソーバブル・ヘモスタット  本剤は、セルロースを酸化して得られた酸性多糖類繊維を、ガーゼ状又は綿状に調製した可吸収性製剤である。

サージセル・アブソーバブル・ヘモスタット

ニューニット

ニューニット15.2cm×22.9cm
サージセル・アブソーバブル・ヘモスタット  本剤は、セルロースを酸化して得られた酸性多糖類繊維を、ガーゼ状又は綿状に調製した可吸収性製剤である。

3.2 製剤の性状

サージセル・アブソーバブル・ヘモスタット

ガーゼ型

ガーゼ1.3cm×5.1cm1枚
剤形ガーゼ状又は綿状物質
色調類白色
においわずかに焦げくさい

サージセル・アブソーバブル・ヘモスタット

ガーゼ型

ガーゼ5.1cm×7.6cm1枚
剤形ガーゼ状又は綿状物質
色調類白色
においわずかに焦げくさい

サージセル・アブソーバブル・ヘモスタット

ガーゼ型

ガーゼ5.1cm×35.6cm1枚
剤形ガーゼ状又は綿状物質
色調類白色
においわずかに焦げくさい

サージセル・アブソーバブル・ヘモスタット

ガーゼ型

ガーゼ10.2cm×20.3cm1枚
剤形ガーゼ状又は綿状物質
色調類白色
においわずかに焦げくさい

サージセル・アブソーバブル・ヘモスタット

綿型

綿型5.1cm×2.5cm1枚
剤形ガーゼ状又は綿状物質
色調類白色
においわずかに焦げくさい

サージセル・アブソーバブル・ヘモスタット

ニューニット

ニューニット2.5cm×2.5cm
剤形ガーゼ状又は綿状物質
色調類白色
においわずかに焦げくさい

サージセル・アブソーバブル・ヘモスタット

ニューニット

ニューニット2.5cm×8.9cm
剤形ガーゼ状又は綿状物質
色調類白色
においわずかに焦げくさい

サージセル・アブソーバブル・ヘモスタット

ニューニット

ニューニット7.6cm×10.2cm
剤形ガーゼ状又は綿状物質
色調類白色
においわずかに焦げくさい

サージセル・アブソーバブル・ヘモスタット

ニューニット

ニューニット15.2cm×22.9cm
剤形ガーゼ状又は綿状物質
色調類白色
においわずかに焦げくさい

4. 効能又は効果

各種手術時の補助的な止血

6. 用法及び用量

出血部位に適当量をあてるか充填する。止血の達成後、余剰分は可能な限り取り除く。

7. 用法及び用量に関連する注意

次の場合には、止血が達成された後、本剤を取り除くこと。

  1. 7.1 骨孔の周り、骨の境界、椎弓切除術創、脊髄周辺、視神経や視束交叉の周囲、気管等の狭窄しうる管状構造の近傍での止血補助[上記部位へ留置した場合、本剤の膨潤による圧迫に伴う神経症状(麻痺や視力障害等)や狭窄に伴う症状(気管狭窄に伴う呼吸困難等)を起こすことがある]。,,,
  2. 7.2 肺葉切除、前頭骨破損の修復での止血補助[上記部位へ留置した場合、本剤の一部が脊髄周辺や眼窩周辺の骨孔へ移動し、圧迫に伴う神経症状を起こすことがある]1)
  3. 7.3 骨折面での止血補助[骨再生を妨げ、嚢胞を形成することがある]。,
  4. 7.4 創腔に充填した場合[異物反応が発生する恐れを最小限にするため]。

8. 重要な基本的注意

  1. 8.1 本剤の使用は縫合、結紮等の止血に代わるものではないことに留意すること。
  2. 8.2 血管手術の際の血管の覆い又は巻いて使用する場合、あまりきつく適用しないこと[血管が狭窄したとの報告がある]。
  3. 8.3 本剤を汚染された創に留置すると、合併症の誘発のおそれがあるので注意すること。
  4. 8.4 本剤は広範囲の病原微生物に対して、in vitroで抗菌性を有するとの報告があるが、術後感染防止などのために全身投与される抗菌剤に代わるものではない。
  5. 8.5 耳鼻咽喉科、歯科の処置において、本剤が患者によって吸引されないよう注意すること。
  6. 8.6 本剤を硝酸銀などの腐食性薬物の存在下で使用すると、本剤の吸収が妨げられることがある。
  7. 8.7 創面への使用にあたっては、癒合を妨げる場合があるので過量に使用しないこと。

10. 相互作用

    10.2 併用注意(併用に注意すること)

    薬剤名等臨床症状・措置方法機序・危険因子
    • 局所止血剤
      • トロンビン

    本剤をトロンビンと併用すると止血効果が低下することがある。
    使用にあたっては、トロンビン溶液をアルカリ性にする。

    トロンビン活性の低下

    11. 副作用

    次の副作用があらわれることがあるので、観察を十分に行い、異常が認められた場合には適切な処置を行うこと。

    11.1 重大な副作用

    1. 11.1.1 骨再生抑制(頻度不明)

      骨折面に留置された場合、骨再生を妨げ、嚢胞を形成することがある。,

    2. 11.1.2 神経障害(頻度不明)

      本剤の膨潤による圧迫に伴う神経障害を起こすことがある。,,,

    3. 11.1.3 視力障害(頻度不明)

      本剤の膨潤による圧迫に伴う視力障害を起こすことがある。,

    4. 11.1.4 異物反応(頻度不明)

      鼻粘膜壊死、鼻中隔穿孔、腸閉塞、尿管閉塞等の異物反応が起こったとの報告がある。

    11.2 その他の副作用

    頻度不明

    皮膚

    発疹、発赤、皮膚炎

    その他

    発熱、頭痛、刺激痛、焼けつくような痛み、くしゃみ

    13. 過量投与

    1. 13.1 症状

      本剤が過量に使用されると本剤の吸収が妨げられ、異物反応により本剤の被包化、肉芽腫形成等が生じ、これらの構造物が画像上、腫瘍、膿瘍等に類似し、誤診や再手術につながったとの報告がある。

    14. 適用上の注意

    14.1 薬剤調製時の注意

    1. 14.1.1 本剤に抗菌剤、止血剤、緩衝剤をしみこませて使用しないこと。

    14.2 薬剤投与時の注意

    1. 14.2.1 本剤は乾燥した状態で使用することにより、より高い止血効果が得られるので、湿らせて使用しないよう留意すること。
    2. 14.2.2 膨潤による圧迫が正常な機能を妨げる可能性があるので、創腔又は組織の間隙に使用する場合には、詰めすぎないように注意すること。
    3. 14.2.3 癒着防止材として使用しないこと。

    16. 薬物動態

    16.2 吸収

    本剤の組織での吸収性は、その使用量、血液の浸潤量、適用部位等の種々の要因により異なるが、多くの場合、本剤は体内に吸収され、適用部位に残ることはない2),3)
    ラットの皮下組織に本剤を埋入・移植した場合、1日目で、本剤はゼラチン状の液状物になりはじめ、5日目では、溶解・吸収されるのが目視でも確認できる程になる。7日目には、未だゼラチン状の物質は認められるものの、本剤の外観の形状が確認できなくなり、15日目になると、本剤は完全に吸収されることが報告されている4)

    18. 薬効薬理

    18.1 作用機序

    1. 18.1.1 本剤は、主構造をなすPolyanhydroglucuronic acidがヘモグロビンと著しい親和性を持ち、これと塩を形成することによって止血作用を示す2),5)
    2. 18.1.2 本剤の凝血促進作用は、生理学的血液凝固機序に対する作用より、むしろ物理的効果と考えられている。即ち、血液の浸潤により本剤が膨張し、褐色又は黒色のゼラチン状の塊となって凝血物の形成を促進し、局所出血の止血補助剤としての効果を発揮する6)

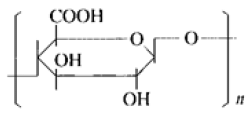
    19. 有効成分に関する理化学的知見

    一般的名称

    酸化セルロース [Cellulose, Oxidized](JAN)

    化学名

    Polyanhydroglucuronic acid

    化学構造式

    20. 取扱い上の注意

    1. 20.1 本剤は再滅菌に不適であるので、開封し使用しなかったものは廃棄すること。
    2. 20.2 開封後は速やかに使用すること。
    3. 20.3 保存中僅かに変色することがあるが効能に影響はない。

    22. 包装

    本剤は、滅菌済で、1フォイルパック1枚又は1個入りである。

    サイズ

    • <綿型>

      2.5cm×5.1cm(1"×2")

      <ガーゼ型>

      5.1cm×35.6cm(2"×14")  5.1cm×7.6cm(2"×3")

      10.2cm×20.3cm(4"×8")  1.3cm×5.1cm(1/2"×2")

      <ニューニット>

      2.5cm×2.5cm(1"×1")   2.5cm×8.9cm(1"×3.5")

      7.6cm×10.2cm(3"×4")  15.2cm×22.9cm(6"×9")

    24. 文献請求先及び問い合わせ先

    ジョンソン・エンド・ジョンソン株式会社

    〒101-0065 東京都千代田区西神田3丁目5番2号

    TEL:03-4411-7905

    26. 製造販売業者等

    26.1 製造販売元

    ジョンソン・エンド・ジョンソン株式会社

    〒101-0065 東京都千代田区西神田3丁目5番2号

    〒100-0013 東京都千代田区霞が関3-3-2 新霞が関ビル

    画面を閉じる

    Copyright © Pharmaceuticals and Medical Devices Agency, All Rights reserved.