医療用医薬品 詳細表示

ジエノゲスト錠1mg「キッセイ」

処方せん医薬品

添付文書番号
企業コード
作成又は改訂年月
日本標準商品分類番号
薬効分類名
承認等
一般的名称
2.禁忌(次の患者には投与しないこと)
3.組成・性状
3.1組成
3.2製剤の性状
4.効能又は効果
6.用法及び用量
7.用法及び用量に関連する注意
8.重要な基本的注意
9.特定の背景を有する患者に関する注意
9.1合併症・既往歴等のある患者
9.3肝機能障害患者
9.5妊婦
9.6授乳婦
9.7小児等
10.相互作用
10.2併用注意(併用に注意すること)
11.副作用
11.1重大な副作用
11.2その他の副作用
14.適用上の注意
16.薬物動態
16.1血中濃度
16.2吸収
16.3分布
16.4代謝
16.5排泄
16.7薬物相互作用
17.臨床成績
17.1有効性及び安全性に関する試験
18.薬効薬理
18.1作用機序
18.2ステロイドホルモン受容体に対する作用
18.3卵巣機能抑制作用
18.4子宮内膜への作用
18.5実験的子宮内膜症に対する効果
19.有効成分に関する理化学的知見
22.包装
23.主要文献
24.文献請求先及び問い合わせ先
26.製造販売業者等

ジエノゲスト錠1mg「キッセイ」

添付文書番号

2499010F1082_1_07

企業コード

340269

作成又は改訂年月

2025年11月改訂(第3版)
2023年4月改訂(第2版、承認条件の項削除)

日本標準商品分類番号

872499

薬効分類名

子宮内膜症治療剤・子宮腺筋症に伴う疼痛改善治療剤

承認等

ジエノゲスト錠1mg「キッセイ」

販売名コード

YJコード

2499010F1082

販売名英語表記

Dienogest Tablets 1mg “KISSEI”

販売名ひらがな

じえのげすとじょう1mgきっせい

承認番号等

承認番号

22900AMX00355000

販売開始年月

2017年6月

貯法・有効期間

貯法

室温保存

有効期間

3年

一般的名称

ジエノゲスト錠

2. 禁忌(次の患者には投与しないこと)

  1. 2.1 診断のつかない異常性器出血のある患者[類似疾患(悪性腫瘍等)のおそれがある。]
  2. 2.2 妊婦又は妊娠している可能性のある女性,
  3. 2.3 本剤の成分に対し過敏症の既往歴のある患者
  4. 2.4 高度の子宮腫大又は重度の貧血のある患者[不正子宮出血が増悪し、大量出血を起こすおそれがある。],,,

3. 組成・性状

3.1 組成

ジエノゲスト錠1mg「キッセイ」

有効成分1錠中ジエノゲスト   1mg
添加剤乳糖水和物、結晶セルロース、デンプングリコール酸Na、ステアリン酸Mg、ヒプロメロース、酸化チタン、マクロゴール6000、タルク

3.2 製剤の性状

ジエノゲスト錠1mg「キッセイ」

剤形フィルムコーティング錠
色調白色
外形表面
裏面
側面側面
大きさ直径6.6mm
厚さ2.9mm
質量110mg
本体表示(表・裏)ジエノゲスト 1 キッセイ

4. 効能又は効果

  • ○子宮内膜症
  • ○子宮腺筋症に伴う疼痛の改善

6. 用法及び用量

通常、成人にはジエノゲストとして1日2mgを2回に分け、月経周期2~5日目より経口投与する。

7. 用法及び用量に関連する注意

治療に際しては妊娠していないことを確認し、必ず月経周期2~5日目より投与を開始すること。また、治療期間中は非ホルモン性の避妊をさせること。,

8. 重要な基本的注意

  1. 8.1 本剤の投与に際しては、類似疾患(悪性腫瘍等)との鑑別に留意し、投与中に腫瘤が増大したり、臨床症状の改善がみられない場合は投与を中止すること。
  2. 8.2 卵巣チョコレート嚢胞は、頻度は低いものの自然経過において悪性化を示唆する報告があるので、定期的に画像診断や腫瘍マーカー等の検査を行い、患者の状態に十分注意すること。
  3. 8.3 本剤投与中は経過を十分に観察し、期待する効果が得られない場合には漫然と投与を継続せず、他の適切な治療を考慮すること。
  4. 8.4 本剤投与後に不正子宮出血があらわれ、重度の貧血に至ることがある。不正子宮出血の程度には個人差があり、投与中に出血が持続する場合や一度に大量の出血が生じる場合もあるので、以下の点に注意すること。,
    • 患者にはあらかじめ十分に説明し、出血量が多く持続日数が長い場合や一度に大量の不正子宮出血が認められた場合には、医師へ相談するよう指導すること。
    • 貧血のある患者では、必要に応じて本剤投与前に貧血の治療を行うこと。
    • 不正子宮出血が認められた場合には必要に応じて血液検査を実施し、患者の状態を十分に観察すること。異常が認められた場合には鉄剤の投与又は本剤の投与中止、輸血等の適切な処置を行うこと。
    • 子宮内膜症患者を対象とした国内臨床試験において、子宮腺筋症又は子宮筋腫を合併する患者での貧血の発現率は、合併しない患者と比較して高い傾向が認められている。
  5. 8.5 本剤を長期投与する場合には以下の点に注意すること。
    • 不正子宮出血が持続的に認められている患者は、類似疾患(悪性腫瘍等)に起因する出血との鑑別に留意し、定期的に画像診断等を行うなど、患者の状態に十分注意すること。また、必要に応じ細胞診等の病理学的検査の実施を考慮すること。
    • 本剤の1年を超える投与における有効性及び安全性は確立していないので、1年を超える投与は治療上必要と判断される場合にのみ行い、定期的に臨床検査(血液検査、骨塩量検査等)等を行うなど、患者の状態に十分注意すること。
  6. 8.6 本剤の投与により更年期障害様のうつ症状を起こすことが報告されているので、本剤の使用に際しては患者の状態等を十分に観察すること。

9. 特定の背景を有する患者に関する注意

9.1 合併症・既往歴等のある患者

  1. 9.1.1 子宮筋腫のある患者

    不正子宮出血が増悪し、まれに大量出血を起こすおそれがある。

  2. 9.1.2 うつ病又はうつ状態の患者並びにそれらの既往歴のある患者

    更年期障害様のうつ症状があらわれるおそれがある。

  3. 9.1.3 最大骨塩量に達していない患者

    本剤投与に際し、本剤投与による骨密度の減少の可能性や将来的な骨粗鬆症等の発症リスクを考慮した上で、本剤の投与の可否を慎重に判断すること。また、本剤投与中は、定期的に骨塩量検査を実施するなど患者の状態に十分注意し、治療上の有益性と骨密度減少のリスクを考慮した上で投与継続の可否を慎重に判断し、漫然と投与しないこと。12歳~18歳を対象とした海外臨床試験において、本剤52週間投与後の骨密度変化率は-1.2%であった。1)

9.3 肝機能障害患者

代謝能の低下により、本剤の作用が増強することがある。重度の肝機能障害患者は臨床試験では除外されている。

9.5 妊婦

妊婦又は妊娠している可能性のある女性には投与しないこと。動物実験(ラット、ウサギ)において、受胎阻害、胚死亡率の増加及び流産等が認められている。,

9.6 授乳婦

授乳しないことが望ましい。動物実験(ラット)において、乳汁中に移行することが報告されている。

9.7 小児等

小児等を対象とした有効性及び安全性を指標とした臨床試験は実施していない。

10. 相互作用

  • 本剤は主にCYP3A4で代謝される。

10.2 併用注意(併用に注意すること)

薬剤名等臨床症状・措置方法機序・危険因子
  • CYP3A4阻害剤
    • エリスロマイシン
      クラリスロマイシン
      アゾール系抗真菌剤
      • イトラコナゾール
        フルコナゾール 等

本剤の血中濃度が上昇するおそれがある。(本剤とクラリスロマイシンの併用により、本剤のCmax及びAUCはそれぞれ単独投与時の20%及び86%増加した。)

これらの薬剤が本剤の薬物代謝酵素であるCYP3A4を阻害することによると考えられる。

  • CYP3A4誘導剤
    • リファンピシン
      フェニトイン
      フェノバルビタール
      カルバマゼピン 等

本剤の血中濃度が低下することにより本剤の有効性が減弱するおそれがある。

これらの薬剤が本剤の薬物代謝酵素であるCYP3A4を誘導することによると考えられる。

  • 卵胞ホルモン含有製剤
    • エストラジオール誘導体
      エストリオール誘導体
      結合型エストロゲン製剤 等

本剤の効果が減弱する可能性がある。

子宮内膜症はエストロゲン依存性の疾患であることから、卵胞ホルモン含有製剤の投与により本剤の治療効果が減弱する可能性がある。

  • 黄体ホルモン含有製剤
    • プロゲステロン製剤
      メドロキシプロゲステロン酢酸エステル製剤
      ノルエチステロン製剤
      ジドロゲステロン製剤 等

プロゲステロン作用が増強する可能性がある。

ともにプロゲステロン受容体に対するアゴニスト活性を示すことから、プロゲステロン作用が相加的に増強する可能性がある。

11. 副作用

次の副作用があらわれることがあるので、観察を十分に行い、異常が認められた場合には投与を中止するなど適切な処置を行うこと。

11.1 重大な副作用

  1. 11.1.1 重篤な不正子宮出血(頻度不明)、重度の貧血(頻度不明)

    本剤投与後に不正子宮出血があらわれ、重度の貧血に至ることがある。出血量が多く持続日数が長い場合や一度に大量の不正子宮出血が認められた場合には、必要に応じて血液検査を実施し、観察を十分に行うこと。異常が認められた場合には、鉄剤の投与又は本剤の投与中止、輸血等の適切な処置を行うこと。,

  2. 11.1.2 アナフィラキシー(頻度不明)

    アナフィラキシー(呼吸困難、血管浮腫、蕁麻疹、そう痒感等)があらわれることがあるので、このような症状があらわれた場合には投与を中止し、適切な処置を行うこと。

11.2 その他の副作用

5%以上

1~5%未満

1%未満

低エストロゲン症状

ほてり(20.6%)、頭痛

めまい、動悸

不眠、発汗、不安、抑うつ

子宮

不正子宮出血(88.3%)

腹痛

乳房

乳房緊満感、乳房痛

乳汁分泌

皮膚

外陰部かぶれ・かゆみ1)

ざ瘡

脱毛、皮膚乾燥

精神神経系

傾眠

いらいら感、片頭痛、しびれ感

過敏症

発疹等

そう痒感

肝臓

AST・ALT・γ-GTP・ビリルビン上昇等の肝機能検査値異常

消化器

悪心

腹痛、便秘、下痢、胃部不快感、腹部膨満感

嘔吐、口内炎

血液

貧血

白血球減少

筋骨格系

背部痛、骨塩量低下、肩こり

関節痛

その他

倦怠感、体重増加、浮腫、疲労

発熱、コレステロール上昇、耳鳴、血糖値上昇

1) 不正子宮出血の持続により、このような症状があらわれることがある。

14. 適用上の注意

14.1 薬剤交付時の注意

PTP包装の薬剤はPTPシートから取り出して服用するよう指導すること。PTPシートの誤飲により、硬い鋭角部が食道粘膜へ刺入し、更には穿孔をおこして縦隔洞炎等の重篤な合併症を併発することがある。

16. 薬物動態

16.1 血中濃度

  1. 16.1.1 単回投与

    健康成人女性にジエノゲスト0.5mg、1mg、2mgを絶食単回経口投与2)したときの薬物動態パラメータは以下のとおりであり、血漿中濃度は、投与後0.9~1.3時間で最高血漿中濃度に達した。Cmax及びAUC0-∞は用量に依存して増大し、半減期は6.65~7.66時間であった。2)

    単回投与時の薬物動態パラメータ

    投与量

    Cmax
    (ng/mL)

    tmax
    (hr)

    t1/2α
    (hr)

    t1/2β
    (hr)

    AUC0-∞
    (ng・hr/mL)

    0.5mg

    17.5±2.2

    0.9±0.2

    0.749±0.201

    7.06±1.00

    154.9±34.2

    1mg

    34.7±3.1

    1.3±0.6

    0.772±0.364

    6.65±1.49

    320.4±56.7

    2mg

    76.1±14.6

    1.2±0.4

    0.580±0.209

    7.66±1.22

    695.1±114.2

    (Mean±S.D.,n=6)

  2. 16.1.2 反復投与

    健康成人女性にジエノゲスト0.5mg、1mg、2mgを1日2回12時間毎に11回(6日間)反復経口投与2)したところ、血漿中濃度は投与回数に従い徐々に上昇し、いずれの用量においても投与回数6回でほぼ定常状態に達した。ジエノゲスト1mgを1日2回反復経口投与したときの薬物動態パラメータは以下のとおりである。3),4)

    反復投与時(1mg×2回/日)の薬物動態パラメータ

    投与回数

    Cmax
    (ng/mL)

    tmax
    (hr)

    t1/2β
    (hr)

    AUCa)
    (ng・hr/mL)

    1回目

    28.0±3.2

    2.1±0.9

    8.56±1.91

    313.5±29.2

    11回目

    42.9±2.7

    2.7±0.5

    12.44±3.17

    341.2±31.5

    (Mean±S.D.,n=6)

    a)1回目のAUCは無限大時間まで外挿した値。11回目は投与12時間後までの値。

     

    また、子宮内膜症患者134例にジエノゲスト1日2mgを2回に分け16週間又は24週間経口投与したときのCmax及びAUC0-∞の推定値はそれぞれ42.3ng/mL、393.9ng・hr/mLであった。5)

  3. 16.1.3 生物学的同等性試験

    ジエノゲスト錠1mg「キッセイ」とディナゲスト錠1mgを、クロスオーバー法によりそれぞれ1錠(ジエノゲストとして1mg)健康成人女性(n=19)に絶食単回経口投与して血漿中未変化体濃度を測定し、得られた薬物動態パラメータ(AUC、Cmax)について90%信頼区間法にて統計解析を行った結果、log(0.80)~log(1.25)の範囲内であり、両剤の生物学的同等性が確認された。6)

     

    判定パラメータ

    参考パラメータ

    AUC0-48

    (ng・hr/mL)

    Cmax

    (ng/mL)

    tmax

    (hr)

    t1/2

    (hr)

    ジエノゲスト錠1mg「キッセイ」

    361.2±73.0

    33.07±5.88

    1.724±1.010

    7.74±1.83

    ディナゲスト錠1mg

    352.9±70.5

    33.78±5.67

    1.658±1.675

    8.00±1.71

    (Mean±S.D.,n=19)

    血漿中濃度並びにAUC、Cmax等のパラメータは、被験者の選択、体液の採取回数・時間等の試験条件によって異なる可能性がある。

16.2 吸収

  1. 16.2.1 食事の影響

    健康成人女性にジエノゲスト0.5mg、1mg、2mgを単回経口投与2)したとき、摂食による吸収の遅延は認められるものの、吸収率及び消失速度には影響せず、食事の影響は少ないと考えられた。2),3),4)

    絶食下及び非絶食下の薬物動態パラメータ

    投与量

    投与条件

    Cmax
    (ng/mL)

    tmax
    (hr)

    t1/2β
    (hr)

    AUC0-∞
    (ng・hr/mL)

    0.5mg

    絶食下

    17.5±2.2

    0.9±0.2

    7.06±1.00

    154.9±34.2

    非絶食下

    12.4±0.4

    2.3±1.0

    8.82±1.48

    166.5±39.5

    1mg

    絶食下

    34.7±3.1

    1.3±0.6

    6.65±1.49

    320.4±56.7

    非絶食下

    28.0±3.2

    2.1±0.9

    8.56±1.91

    313.5±29.2

    2mg

    絶食下

    76.1±14.6

    1.2±0.4

    7.66±1.22

    695.1±114.2

    非絶食下

    52.0±8.2

    3.5±0.5

    7.47±0.36

    625.4±73.9

    (Mean±S.D.,n=6)

  2. 16.2.2 生物学的利用率

    健康成人男性20例にジエノゲスト2mgを絶食単回経口投与(錠剤)及び静脈内投与2)したとき、生物学的利用率は90.55%であった(外国人データ)。7)

16.3 分布

  1. 16.3.1 分布容積

    健康成人女性6例にジエノゲスト0.5mg及び1mgを絶食単回経口投与2)したときのみかけの分布容積(Vdβ/F)は、それぞれ33.79L及び30.04Lであった。2)

  2. 16.3.2 血漿蛋白結合率

    健康成人女性の血漿を用いたin vitro試験におけるジエノゲスト(100ng/mL)の蛋白結合率は94.5%であった。結合蛋白質は主にアルブミンと考えられた。8),9)

16.4 代謝

ヒト肝ミクロソームを用いたin vitro試験の結果より、ジエノゲストの代謝には、主にCYP3A4が関与すると考えられた。10),11)

また、健康成人女性6例にジエノゲスト2mgを1日2回、計11回(6日間)反復経口投与2)したときの定常状態におけるCmaxの368倍の濃度(100μmol/L)においても、ジエノゲストはCYP1A2、CYP2C9、CYP2C19、CYP2D6、CYP2E1、CYP3A4活性をほとんど阻害しなかった。12),13)

16.5 排泄

健康成人女性6例にジエノゲスト2mgを絶食単回経口投与2)した場合、尿中に未変化体は検出されず、尿中の代謝物として主に水酸化体及びグルクロン酸抱合体が排泄された。2)

16.7 薬物相互作用

  1. 16.7.1 クラリスロマイシン

    健康成人女性10例にクラリスロマイシン200mgを1日2回、3日間経口投与し、翌日、ジエノゲスト1mgとクラリスロマイシン200mgを1回併用したとき、ジエノゲストのCmax及びAUC0-∞はジエノゲスト1mg単独投与時に比し、それぞれ1.20倍、1.86倍に上昇した。14)

    2) 本剤の承認された用法及び用量は「1日2mgを2回に分け経口投与」である。

17. 臨床成績

17.1 有効性及び安全性に関する試験

  • 〈子宮内膜症〉
    1. 17.1.1 国内第III相試験

      月経時の自覚症状、月経時以外の自覚症状、他覚所見の全てを有する子宮内膜症患者255例を対象とした二重盲検比較試験(ジエノゲスト2mg/日、24週間投与)におけるジエノゲストの「全般改善度(投与終了時)」の「改善」以上の改善率は78.1%(100/128例)であった。また、ジエノゲストの「月経時以外の自覚症状の概括改善度(投与終了時)」の「改善」以上の改善率は80.5%(103/128例)、「他覚所見の概括改善度(投与終了時)」の「改善」以上の改善率は78.1%(100/128例)、「月経時の自覚症状の概括改善度(再来月経終了時)」の「改善」以上の改善率は63.3%(81/128例)であった。
      副作用発現頻度は、ジエノゲスト投与群で100%(129/129例)であった。ジエノゲスト投与群の主な副作用は、不正子宮出血94.6%(122/129例)、ほてり49.6%(64/129例)、頭痛24.8%(32/129例)であった。15)

    2. 17.1.2 国内第III相長期投与試験

      月経時の自覚症状、月経時以外の自覚症状、他覚所見の全てを有する子宮内膜症患者135例を対象とした長期投与試験(ジエノゲスト1~4mg/日、52週間投与3))におけるジエノゲストの「全般改善度」の「改善」以上の改善率は投与24週、投与52週で各々72.5%(95/131例)、90.6%(106/117例)であった。また、ジエノゲストの「月経時以外の自覚症状の概括改善度」の「改善」以上の改善率は投与24週、投与52週で各々77.9%(102/131例)、84.6%(99/117例)、「他覚所見の概括改善度」の「改善」以上の改善率は投与24週、投与52週で各々78.6%(103/131例)、94.9%(111/117例)、「月経時の自覚症状の概括改善度(再来月経終了時)」の「改善」以上の改善率は65.9%(89/135例)であった。
      副作用発現頻度は、88.9%(120/135例)であった。主な副作用は、不正子宮出血71.9%(97/135例)、頭痛18.5%(25/135例)、便秘10.4%(14/135例)であった。16),17)

      3) 本剤の承認された用法及び用量は「1日2mgを2回に分け経口投与」であるが、本試験は症状に応じて適宜増減可能(1~4mg)とした。

  • 〈子宮腺筋症に伴う疼痛の改善〉
    1. 17.1.3 国内第III相試験

      子宮腺筋症患者67例を対象としたプラセボ対照二重盲検比較試験(ジエノゲスト2mg/日、16週間投与)では、「子宮体部の最大径が10cm(新生児頭大)以上又は子宮筋層最大厚4cm以上の患者」及び「ヘモグロビン値8.0g/dL未満の患者」を除外し、「ヘモグロビン値8.0g/dL以上11.0g/dL未満の患者」はジエノゲスト投与前に貧血に対する治療を実施し、ヘモグロビン値11.0g/dL以上に改善した症例のみを登録した。ジエノゲストの疼痛スコア変化量(平均値±標準偏差)は-3.8±1.9(34例)であり、プラセボ群の-1.4±1.8(33例)に対する優越性が検証された(p<0.001、投与前の疼痛スコアを共変量とした共分散分析)。
      副作用発現頻度は、100%(34/34例)であった。主な副作用は、不正子宮出血97.1%(33/34例)、ほてり5.9%(2/34例)であった。18),

    2. 17.1.4 国内第III相長期投与試験

      子宮腺筋症患者130例を対象とした長期投与試験(ジエノゲスト2mg/日、52週間投与)においても、国内第III相試験と同じ除外基準を設定した。ジエノゲストの疼痛スコア変化量は、投与24週時に-3.4±1.8(122例)、投与52週時に-3.8±1.5(118例)であった。
      副作用発現頻度は、97.7%(127/130例)であった。主な副作用は、不正子宮出血96.9%(126/130例)、ほてり7.7%(10/130例)、閉経期症状4.6%(6/130例)であった。19),

18. 薬効薬理

18.1 作用機序

ジエノゲストはプロゲステロン受容体に対する選択的なアゴニスト作用を示し、卵巣機能抑制及び子宮内膜細胞の増殖抑制により子宮内膜症に対する有効性及び子宮腺筋症に伴う疼痛の改善を示すと考えられる。20)

18.2 ステロイドホルモン受容体に対する作用

  1. 18.2.1 受容体アゴニスト活性

    ヒトステロイドホルモン受容体遺伝子を導入した細胞を用いたin vitro試験で、プロゲステロン受容体に対する選択的なアゴニスト活性を示した。21),22),23),24)

  2. 18.2.2 プロゲステロン作用

    ラット及びウサギを用いたin vivo試験において、子宮に対してプロゲステロン作用を示した。一方、アンドロゲン作用、グルココルチコイド作用及びミネラルコルチコイド作用は示さなかった。25),26),27),28),29),30)

18.3 卵巣機能抑制作用

  1. 18.3.1 健康成人女性

    健康成人女性にジエノゲスト1日2mgを2回に分け21日間経口投与したとき、通常の月経周期にみられる血清中エストラジオール及びプロゲステロン濃度の上昇の抑制、血清中LH及びFSH濃度の一過性の上昇の消失が認められた。31)

  2. 18.3.2 子宮内膜症患者

    子宮内膜症患者にジエノゲスト1日1~4mgを2回に分け16~24週間経口投与4)したとき、血清中エストラジオール濃度は用量の増量に伴い低値を示した。また、ジエノゲスト1日1~4mg4)で、血清中プロゲステロン濃度は全例で卵胞期の基準値以下であり、排卵抑制が示唆された。32)

  3. 18.3.3 子宮腺筋症患者

    子宮腺筋症患者にジエノゲスト1日1mg、2mg又はプラセボを2回に分け16週間経口投与4)したとき、血清中エストラジオール濃度は用量の増量に伴い低値を示した。また、ジエノゲスト1日2mgで血清中エストラジオール濃度はプラセボに比し低値であり、血清中エストラジオール濃度抑制作用が認められた。18),33)

18.4 子宮内膜への作用

  1. 18.4.1 子宮内膜細胞の増殖抑制作用

    ヒト子宮内膜間質細胞を用いたin vitro試験で、細胞増殖の抑制が認められた。34)

  2. 18.4.2 子宮内膜の偽脱落膜化

    子宮内膜症患者を対象とした臨床薬理試験で、ジエノゲスト1日2mgを2回に分け16週間経口投与したとき、ジエノゲストのプロゲステロン作用による子宮内膜の偽脱落膜化が認められた。35)

18.5 実験的子宮内膜症に対する効果

ラット及びウサギを用いた実験的子宮内膜症の試験で、移植子宮内膜片の体積縮小あるいは重量の増加抑制がみられ、子宮内膜症に対する治療効果が示唆された。36),37)

4) 本剤の承認された用法及び用量は「1日2mgを2回に分け経口投与」である。

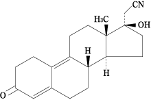
19. 有効成分に関する理化学的知見

一般的名称

ジエノゲスト(Dienogest)

化学名

17-Hydroxy-3-oxo-19-nor-17α-pregna-4,9-diene-21-nitrile

分子式

C20H25NO2

分子量

311.42

性状

白色~微黄白色の粉末である。メタノールにやや溶けにくく、アセトニトリル又はエタノール(99.5)に溶けにくく、水にほとんど溶けない。

化学構造式

22. 包装

60錠[10錠×6:PTP]

23. 主要文献

1) Ebert,A.D.et al.:J.Pediatr.Adolesc.Gynecol. 2017;30(5):560-567

2) 第I相試験-単回投与試験-(ディナゲスト錠:2007年10月19日承認、申請資料概要2.7.6.3)

3) 第I相試験-反復投与試験-(ディナゲスト錠:2007年10月19日承認、申請資料概要2.7.6.3)

4) 第I相試験-反復投与追加試験-(ディナゲスト錠:2007年10月19日承認、申請資料概要2.7.6.3)

5) 臨床薬物動態試験-子宮内膜症患者を対象とした母集団薬物動態解析-(ディナゲスト錠:2007年10月19日承認、申請資料概要2.7.2.2)

6) 社内資料:生物学的同等性試験

7) 海外臨床薬物動態試験-健康成人男性における生物学的利用率の検討-(ディナゲスト錠:2007年10月19日承認、申請資料概要2.7.6.1)

8) 薬物動態試験-ヒト血漿たん白結合(1)-(ディナゲスト錠:2007年10月19日承認、申請資料概要2.6.4.4)

9) 薬物動態試験-ヒト血漿たん白結合(2)-(ディナゲスト錠:2007年10月19日承認、申請資料概要2.7.2.2)

10) 薬物動態試験-代謝に関与するCYP分子種の検討(1)-(ディナゲスト錠:2007年10月19日承認、申請資料概要2.6.4.5)

11) 薬物動態試験-代謝に関与するCYP分子種の検討(2)-(ディナゲスト錠:2007年10月19日承認、申請資料概要2.6.4.5)

12) 薬物動態試験-CYP分子種に対する阻害作用の検討(1)-(ディナゲスト錠:2007年10月19日承認、申請資料概要2.6.4.7)

13) 薬物動態試験-CYP分子種に対する阻害作用の検討(2)-(ディナゲスト錠:2007年10月19日承認、申請資料概要2.6.4.7)

14) 臨床薬物動態試験-クラリスロマイシン併用の薬物相互作用-(ディナゲスト錠:2007年10月19日承認、申請資料概要2.7.6.4)

15) 原田 省 他:薬理と治療.2008;36(2):129-140

16) 長期投与試験-子宮内膜症患者における長期投与の有効性および安全性の検討-(ディナゲスト錠:2007年10月19日承認、申請資料概要2.7.6.8)

17) 全試験を通しての結果の比較と解析(ディナゲスト錠:2007年10月19日承認、申請資料概要2.7.3.3)

18) Osuga,Y.et al.:Fertil.Steril.2017;108(4):673-678

19) Osuga,Y.et al.:J.Obstet.Gynaecol.Res.2017;43(9):1441-1448

20) 作用機序(ディナゲスト錠・OD錠:2016年12月2日承認、申請資料概要2.6.2)

21) 薬理試験-ヒトプロゲステロン・アンドロゲンおよびグルココルチコイド受容体に対するアゴニスト活性の検討-(ディナゲスト錠:2007年10月19日承認、申請資料概要2.6.2.2)

22) 薬理試験-ヒトエストロゲン受容体に対するアゴニスト活性の検討-(ディナゲスト錠:2007年10月19日承認、申請資料概要2.6.2.2)

23) 薬理試験-ヒトミネラルコルチコイド受容体に対するアゴニスト活性およびアンタゴニスト活性の検討-(ディナゲスト錠:2007年10月19日承認、申請資料概要2.6.2.2)

24) 薬理試験-ヒトアンドロゲンおよびグルココルチコイド受容体に対するアンタゴニスト活性の検討-(ディナゲスト錠:2007年10月19日承認、申請資料概要2.6.2.2)

25) 薬理試験-エストロゲンを投与したラットの子宮重量増加に及ぼす影響-(ディナゲスト錠:2007年10月19日承認、申請資料概要2.6.2.2)

26) 薬理試験-エストロゲンを投与したラットにおける子宮重量増加抑制作用の機序検討-(ディナゲスト錠:2007年10月19日承認、申請資料概要2.6.2.2)

27) 薬理試験-ウサギ子宮腺の発達に及ぼす影響(McPhail試験)-(ディナゲスト錠:2007年10月19日承認、申請資料概要2.6.2.2)

28) 薬理試験-ラットを用いたアンドロゲン作用の検討-(ディナゲスト錠:2007年10月19日承認、申請資料概要2.6.2.3)

29) 薬理試験-ラットを用いたグルココルチコイド作用の検討-(ディナゲスト錠:2007年10月19日承認、申請資料概要2.6.2.3)

30) 薬理試験-ラットを用いたミネラルコルチコイド作用の検討-(ディナゲスト錠:2007年10月19日承認、申請資料概要2.6.2.3)

31) 臨床薬理試験-健康成人女性におけるホルモン動態試験-(ディナゲスト錠:2007年10月19日承認、申請資料概要2.7.6.5)

32) 臨床薬理試験-子宮内膜症患者におけるホルモン動態試験-(ディナゲスト錠:2007年10月19日承認、申請資料概要2.7.2.2)

33) 大須賀 穣 他:薬理と治療.2017;45(6):907-920

34) 薬理試験-ヒト子宮内膜間質細胞の増殖に及ぼす影響-(ディナゲスト錠:2007年10月19日承認、申請資料概要2.6.2.2)

35) Irahara,M.et al.:Reprod.Med.Biol.2007;6(4):223-228

36) 薬理試験-ラット子宮内膜自家移植モデルにおける有効性-(ディナゲスト錠:2007年10月19日承認、申請資料概要2.6.2.2)

37) 薬理試験-ウサギ子宮内膜自家移植モデルにおける有効性-(ディナゲスト錠:2007年10月19日承認、申請資料概要2.6.2.2)

24. 文献請求先及び問い合わせ先

キッセイ薬品工業株式会社 くすり相談センター

〒112-0002 東京都文京区小石川3丁目1番3号

フリーダイヤル:0120-007-622

26. 製造販売業者等

26.1 製造販売元

ジェイドルフ製薬株式会社

滋賀県甲賀市土山町北土山2739-1番地

26.2 販売元

キッセイ薬品工業株式会社

松本市芳野19番48号

〒100-0013 東京都千代田区霞が関3-3-2 新霞が関ビル

画面を閉じる

Copyright © Pharmaceuticals and Medical Devices Agency, All Rights reserved.