医療用医薬品 詳細表示

プロクトセディル坐薬

処方せん医薬品以外の医薬品

添付文書番号
企業コード
作成又は改訂年月
日本標準商品分類番号
薬効分類名
承認等
一般的名称
2.禁忌(次の患者には投与しないこと)
3.組成・性状
3.1組成
3.2製剤の性状
4.効能又は効果
6.用法及び用量
8.重要な基本的注意
9.特定の背景を有する患者に関する注意
9.5妊婦
9.6授乳婦
9.7小児等
10.相互作用
10.1併用禁忌(併用しないこと)
11.副作用
11.1重大な副作用
11.2その他の副作用
14.適用上の注意
16.薬物動態
16.2吸収
17.臨床成績
17.1有効性及び安全性に関する試験
18.薬効薬理
18.1作用機序
19.有効成分に関する理化学的知見
20.取扱い上の注意
22.包装
23.主要文献
24.文献請求先及び問い合わせ先
26.製造販売業者等

プロクトセディル坐薬

添付文書番号

2559805J1020_4_02

企業コード

340269

作成又は改訂年月

2025年4月改訂(第2版)
2023年3月改訂(第1版)

日本標準商品分類番号

872559

薬効分類名

痔疾治療剤

承認等

プロクトセディル坐薬

販売名コード

YJコード

2559805J1020

販売名英語表記

PROCTOSEDYL SUPPOSITORIES

販売名ひらがな

ぷろくとせでぃるざやく

承認番号等

承認番号

14100AZY00126

販売開始年月

1966年4月

貯法・有効期間

貯法

室温保存(30℃以下)

有効期間

2年

一般的名称

ヒドロコルチゾン・フラジオマイシン配合剤

2. 禁忌(次の患者には投与しないこと)

  1. 2.1 局所に結核性感染症又はウイルス性感染症のある患者[感染症を悪化させるおそれがある。]
  2. 2.2 局所に真菌症(カンジダ症、白癬等)のある患者[真菌症を悪化させるおそれがある。]
  3. 2.3 本剤に対し過敏症の既往歴のある患者
  4. 2.4 ストレプトマイシン、カナマイシン、ゲンタマイシン、フラジオマイシン等のアミノグリコシド系抗生物質及びバシトラシン並びにヒドロコルチゾン、ジブカイン塩酸塩及びエスクロシドに対し過敏症の既往歴のある患者
  5. 2.5 デスモプレシン酢酸塩水和物(男性における夜間多尿による夜間頻尿)を投与中の患者

3. 組成・性状

3.1 組成

プロクトセディル坐薬

有効成分1個中
ヒドロコルチゾン   5mg
1個中
フラジオマイシン硫酸塩   7.1mg(力価)
1個中
ジブカイン塩酸塩   5mg
1個中
エスクロシド   10mg
添加剤硬化油  

3.2 製剤の性状

プロクトセディル坐薬

剤形紡すい型坐剤
色調黄白色
質量1.84g
外形・大きさ

4. 効能又は効果

痔核・裂肛の症状(出血、疼痛、腫脹、痒感)の緩解

6. 用法及び用量

通常成人1回1個を1日1~3回肛門内に挿入する。

8. 重要な基本的注意

  1. 8.1 感作されるおそれがあるので、観察を十分に行い、感作されたことを示す兆候(そう痒、発赤、腫脹、丘疹、小水疱等)があらわれた場合には使用を中止すること。

9. 特定の背景を有する患者に関する注意

9.5 妊婦

妊婦又は妊娠している可能性のある女性には、治療上の有益性が危険性を上回ると判断される場合にのみ投与すること。また、大量又は長期にわたる使用は避けること。

9.6 授乳婦

治療上の有益性及び母乳栄養の有益性を考慮し、授乳の継続又は中止を検討すること。

9.7 小児等

観察を十分に行うこと。ステロイド剤の大量又は長期の投与により、小児の発育障害をきたしたという報告がある。

10. 相互作用

    10.1 併用禁忌(併用しないこと)

    薬剤名等臨床症状・措置方法機序・危険因子

    デスモプレシン酢酸塩水和物(ミニリンメルト)(男性における夜間多尿による夜間頻尿)

    低ナトリウム血症が発現するおそれがある。

    機序不明。

    11. 副作用

    次の副作用があらわれることがあるので、観察を十分に行い、異常が認められた場合には投与を中止するなど適切な処置を行うこと。

    11.1 重大な副作用

    1. 11.1.1 下垂体・副腎皮質系機能抑制(頻度不明)

      大量又は長期にわたる使用により、下垂体・副腎皮質系機能の抑制をきたすことがある。

    11.2 その他の副作用

    頻度不明

    皮膚及び陰部

    真菌症(カンジダ症、白癬等)、ウイルス性疾患

    過敏症

    皮膚刺激感、そう痒等

    長期連用

    長期連用による全身投与の場合と同様な症状

    14. 適用上の注意

    14.1 薬剤投与時の注意

    本剤が軟化して挿入が困難な場合には、被包のまま紡すい型の先端を下に向けて、冷水又は冷蔵庫に入れて硬化してから使用すること。

    16. 薬物動態

    16.2 吸収

    1. 16.2.1 フラジオマイシン硫酸塩

      痔疾患者5名に対し本剤1個を直腸内に挿入し、挿入前、挿入後、15分、30分、1時間、2時間、4時間及び6時間目に採取した各血清中にフラジオマイシン硫酸塩は検出されなかった1)

    2. 16.2.2 ヒドロコルチゾン

      痔疾患者5名に対し本剤1個を直腸内に挿入し、挿入前、挿入後、15分、30分、1時間、2時間、4時間及び6時間目に採取した各血清中のヒドロコルチゾン濃度を測定したが、投与前値に比していずれも低値であり、試験時間内に有意な吸収はみられなかった2)

    17. 臨床成績

    17.1 有効性及び安全性に関する試験

    1. 17.1.1 国内一般臨床試験

      痔核、裂肛、肛門周囲の湿疹・皮膚炎等を対象とする坐薬及び軟膏の再評価結果において、総症例642例における有効率(「有効」以上)は90.3%であった。

    18. 薬効薬理

    18.1 作用機序

    痔疾患の症状(疼痛、炎症、そう痒、出血、腫脹、細菌感染等)に対し、各種有効成分が次の作用を発揮する。

    • ヒドロコルチゾン
      抗炎症作用及び抗アレルギー作用により、患部の炎症、毛細血管の拡張、浮腫、そう痒等の症状を消失又は軽減させる。
    • フラジオマイシン硫酸塩
      グラム陽性菌、グラム陰性菌、抗酸菌、放射菌、レプトスピラに対し、たん白合成阻害により、抗菌作用を示す。炎症、浮腫を起こした患部の二次感染を治療及び予防する。
    • ジブカイン塩酸塩
      表面・伝達両麻酔剤で、局所疼痛及び排便時等の疼痛を和らげる。
    • エスクロシド
      血管壁の強化及び毛細血管の透過性を低下させる作用を有することにより出血を防止する。

    18.2 抗炎症作用(ヒドロコルチゾン、エスクロシド)

    Wistar系雄性ラットによる実験で、0.5%配合のヒドロコルチゾンの血管透過性の抑制作用及びカラゲニンによる足蹠浮腫発生に対する抑制作用がみられ、両作用はエスクロシドの配合により更に増強された3)

    18.3 鎮痛作用(ジブカイン塩酸塩)

    Hartley系雌性モルモット左右角膜による実験で、0.5%配合のジブカイン塩酸塩の局所麻酔作用がみられ、その作用は他成分配合によっても変動をきたさないことが認められた3)

    18.4 止血作用(エスクロシド)

    dd系雌性マウス尾の切断面による実験で、1.0%配合のエスクロシドは対照と比較し、出血時間を有意に短縮した。また、その効果は他成分配合により妨害的な影響を受けていないことが認められた3)

    18.5 抗菌作用(フラジオマイシン硫酸塩)

    精度管理用菌株7株及び臨床材料由来70株の計77株に対するMICを測定した。フラジオマイシン硫酸塩はグラム陽性菌及びグラム陰性桿菌のうち、S.faecalisと一部の耐性菌を除いてMIC値は低く、これらの菌に対して抗菌作用が認められた4)

    19. 有効成分に関する理化学的知見

    19.1 ヒドロコルチゾン

    一般的名称

    ヒドロコルチゾン(Hydrocortisone)

    化学名

    11β,17,21-Trihydroxypregn-4-ene-3,20-dione

    分子式

    C21H30O5

    分子量

    362.46

    性状

    白色の結晶性の粉末である。
    メタノール又はエタノール(99.5)にやや溶けにくく、水に極めて溶けにくい。

    化学構造式

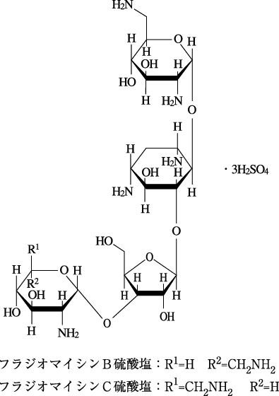
    19.2 フラジオマイシン硫酸塩

    一般的名称

    フラジオマイシン硫酸塩
    (Fradiomycin Sulfate)

    化学名

    • フラジオマイシンB硫酸塩

      2,6-Diamino-2,6-dideoxy-α-D-glucopyranosyl-(1→4)-[2,6-diamino-2,6-dideoxy-β-L-idopyranosyl-(1→3)-β-D-ribofuranosyl-(1→5)]-2-deoxy-D-streptamine trisulfate

    • フラジオマイシンC硫酸塩

      2,6-Diamino-2,6-dideoxy-α-D-glucopyranosyl-(1→4)-[2,6-diamino-2,6-dideoxy-α-D-glucopyranosyl-(1→3)-β-D-ribofuranosyl-(1→5)]-2-deoxy-D-streptamine trisulfate

    分子式

    C23H46N6O13・3H2SO4

    分子量

    908.88

    性状

    白色~淡黄色の粉末である。水に溶けやすく、エタノール(95)にはほとんど溶けない。

    化学構造式

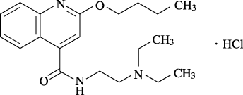
    19.3 ジブカイン塩酸塩

    一般的名称

    ジブカイン塩酸塩
    (Dibucaine Hydrochloride)

    化学名

    2-Butyloxy-N-(2-diethylaminoethyl)-4-quinolinecarboxamide monohydrochloride

    分子式

    C20H29N3O2・HCl

    分子量

    379.92

    性状

    白色の結晶又は結晶性の粉末である。水、エタノール(95)又は酢酸(100)に極めて溶けやすく、無水酢酸に溶けやすく、ジエチルエーテルにほとんど溶けない。吸湿性である。

    化学構造式

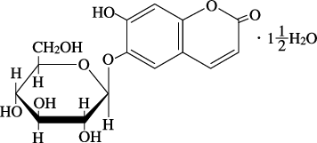
    19.4 エスクロシド

    一般的名称

    エスクロシド(Esculoside)

    化学名

    6-(β-D-Glucopyranosyloxy)-7-hydroxy-2H-1-benzopyran-2-one sesquihydrate

    分子式

    C15H16O9・11/2H2O

    分子量

    367.31

    性状

    白色の結晶性の粉末で、においはなく、味は苦い。メタノール又はジオキサンにやや溶けにくく、水、エタノール又は氷酢酸に溶けにくく、エーテルにほとんど溶けない。

    化学構造式

    20. 取扱い上の注意

    本剤は、通常固形の状態を保ち、挿入したとき体温で溶けて効果が発現するよう調製されている。保管は30℃以下とし、夏季には、涼しい場所に保管すること。

    22. 包装

    70個[7個(コンテナシート)×10]
    350個[7個(コンテナシート)×50]

    24. 文献請求先及び問い合わせ先

    *ジェイドルフ製薬株式会社 学術部 くすり相談窓口

    〒570-0081 大阪府守口市日吉町2丁目5番15号

    TEL:06-7507-2532 FAX:06-7507-2528

    26. 製造販売業者等

    26.1 *製造販売元

    ジェイドルフ製薬株式会社

    滋賀県甲賀市土山町北土山2739-1番地

    〒100-0013 東京都千代田区霞が関3-3-2 新霞が関ビル

    画面を閉じる

    Copyright © Pharmaceuticals and Medical Devices Agency, All Rights reserved.