医療用医薬品 詳細表示

ベトネベートN軟膏/ベトネベートNクリーム

処方せん医薬品以外の医薬品

添付文書番号
企業コード
作成又は改訂年月
日本標準商品分類番号
薬効分類名
承認等
一般的名称
2.禁忌(次の患者には投与しないこと)
3.組成・性状
3.1組成
3.2製剤の性状
4.効能又は効果
6.用法及び用量
8.重要な基本的注意
9.特定の背景を有する患者に関する注意
9.5妊婦
9.7小児等
9.8高齢者
11.副作用
11.1重大な副作用
11.2その他の副作用
14.適用上の注意
18.薬効薬理
18.1作用機序
18.2局所抗炎症作用
18.3化膿病巣への作用
19.有効成分に関する理化学的知見
22.包装
23.主要文献
24.文献請求先及び問い合わせ先
26.製造販売業者等

ベトネベートN軟膏/ベトネベートNクリーム

添付文書番号

2647708M1027_2_12

企業コード

340278

作成又は改訂年月

**2024年7月改訂(第2版)
2022年11月改訂(第1版)

日本標準商品分類番号

872647

薬効分類名

外用副腎皮質ホルモン剤

承認等

ベトネベートN軟膏

販売名コード

YJコード

2647708M1027

販売名英語表記

Betnevate N Ointment

販売名ひらがな

べとねべーとえぬなんこう

承認番号等

承認番号

14200AZZ02980

販売開始年月

1966年2月

貯法・有効期間

貯法

室温保存

有効期間

3年

ベトネベートNクリーム

販売名コード

YJコード

2647708N1022

販売名英語表記

Betnevate N Cream

販売名ひらがな

べとねべーとえぬくりーむ

承認番号等

承認番号

14200AZZ02981

販売開始年月

1966年2月

貯法・有効期間

貯法

室温保存

有効期間

3年

一般的名称

ベタメタゾン吉草酸エステル
フラジオマイシン硫酸塩

2. 禁忌(次の患者には投与しないこと)

  1. 2.1 下記に示す感染症
    1. 2.1.1 フラジオマイシン耐性菌又は非感性菌による皮膚感染のある場合[フラジオマイシンの効果が認められず、症状が悪化するおそれがある。]
    2. 2.1.2 細菌・真菌・スピロヘータ・ウイルス皮膚感染症及び動物性皮膚疾患(疥癬、けじらみ等)[感染に伴う症状を悪化させるおそれがある。]
  2. 2.2 鼓膜に穿孔のある患者への耳内使用[薬剤が内耳に移行し、内耳障害があらわれるおそれがある。]
  3. 2.3 本剤の成分に対して過敏症の既往歴のある患者
  4. 2.4 フラジオマイシン、カナマイシン、ストレプトマイシン、ゲンタマイシン等のアミノグリコシド系抗生物質又はバシトラシンに対し過敏症の既往歴のある患者[これらの薬剤とは交差感作のあることが認められている。]
  5. 2.5 潰瘍(ベーチェット病は除く)、第2度深在性以上の熱傷・凍傷[皮膚の再生が抑制され、治癒が著しく遅れるおそれがある。]

3. 組成・性状

3.1 組成

ベトネベートN軟膏

有効成分1g中
日局ベタメタゾン吉草酸エステル   1.2mg
1g中
日局フラジオマイシン硫酸塩   3.5mg(力価)
添加剤流動パラフィン、白色ワセリン

ベトネベートNクリーム

有効成分1g中
日局ベタメタゾン吉草酸エステル   1.2mg
1g中
日局フラジオマイシン硫酸塩   3.5mg(力価)
添加剤セトステアリルアルコール、白色ワセリン、流動パラフィン、クロロクレゾール、セトマクロゴール1000、pH調節剤

3.2 製剤の性状

ベトネベートN軟膏

剤形・性状白色半透明の軟膏剤

ベトネベートNクリーム

剤形・性状白色のクリーム剤で、特異なにおいがある。

4. 効能又は効果

  • 〈適応菌種〉

    フラジオマイシン感性菌

  • 〈適応症〉
    • 深在性皮膚感染症、慢性膿皮症
    • 湿潤、びらん、結痂を伴うか、又は二次感染を併発している次の疾患:
      湿疹・皮膚炎群(進行性指掌角皮症、ビダール苔癬、放射線皮膚炎、日光皮膚炎を含む)、乾癬、虫さされ、痒疹群(固定蕁麻疹を含む)
    • 外傷・熱傷及び手術創等の二次感染
    • 耳鼻咽喉科領域における術後処置

6. 用法及び用量

通常1日1~数回直接患部に塗布または塗擦するか、あるいは無菌ガーゼ等にのばして貼付する。
なお、症状により適宜増減する。

8. 重要な基本的注意

  1. 8.1 感作されるおそれがあるので、観察を十分に行い感作されたことを示す徴候(瘙痒、発赤、腫脹、丘疹、小水疱等)があらわれた場合には使用を中止すること。
  2. 8.2 大量又は長期にわたる広範囲の使用(特に密封法(ODT))により、副腎皮質ステロイド剤を全身投与した場合と同様な症状があらわれることがあるので、特別な場合を除き長期大量使用や密封法(ODT)を極力避けること。,,,
  3. 8.3 広範囲な熱傷、潰瘍のある皮膚には長期間連用しないこと。
  4. 8.4 本剤の使用により症状の改善がみられない場合又は症状の悪化をみる場合は使用を中止すること。
  5. 8.5 長期連用を避けること。

9. 特定の背景を有する患者に関する注意

9.5 妊婦

妊婦又は妊娠している可能性のある女性に対しては大量又は長期にわたる広範囲の使用を避けること。
動物実験(妊娠ラット)で生存胎児数の低下が報告されている。

9.7 小児等

ベタメタゾン吉草酸エステルの長期・大量使用又は密封法(ODT)により発育障害を来すとの報告がある。また、おむつは密封法(ODT)と同様の作用があるので注意すること。

9.8 高齢者

大量又は長期にわたる広範囲の使用、密封法(ODT)に際しては特に注意すること。一般に、副作用があらわれやすい。

11. 副作用

次の副作用があらわれることがあるので、観察を十分に行い、異常が認められた場合には使用を中止するなど適切な処置を行うこと。

11.1 重大な副作用

  • 眼圧亢進、緑内障、後囊白内障(いずれも頻度不明)

    眼瞼皮膚への使用に際し、あらわれることがある。大量又は長期にわたる広範囲の使用、密封法(ODT)により、緑内障、後囊白内障等があらわれることがある。

11.2 その他の副作用

頻度不明

皮膚の感染症注1)

フラジオマイシン耐性菌又は非感性菌による感染症(伝染性膿痂疹、毛のう炎等)、真菌症(白癬、カンジダ症等)、ウイルス感染症

過敏症

皮膚の刺激感、接触性皮膚炎、発疹

その他の皮膚症状注2)

ステロイドざ瘡注3)、ステロイド皮膚(皮膚萎縮、毛細血管拡張)、ステロイド酒さすなわち口囲皮膚炎(口囲、顔面全体に紅斑、丘疹、毛細血管拡張、痂皮、鱗屑を生じる)、魚鱗癬様皮膚変化、色素脱失、紫斑、多毛

その他

下垂体・副腎皮質系機能抑制注4)、中心性漿液性網脈絡膜症、腎障害注5)、難聴注5)

注1)密封法(ODT)の場合に起こりやすい。
注2)長期連用によりあらわれることがある。このような症状があらわれた場合には徐々にその使用を差し控え、副腎皮質ステロイドを含有しない薬剤に切り替えること。
注3)尋常性ざ瘡に似ているが、白色の面皰が多発する傾向がある。
注4)大量又は長期にわたる広範囲の使用、密封法(ODT)によりあらわれることがある。また、このような場合において、使用中止により急性副腎皮質機能不全に陥る危険性があるため、使用を中止する際は患者の状態を観察しながら徐々に減量すること。
注5)長期連用によりあらわれる可能性がある。

14. 適用上の注意

14.1 薬剤交付時の注意

患者に治療以外の目的(化粧下、ひげそり後など)には使用しないよう注意すること。化粧下として連用すると顔が赤くなったり、つっぱったり、皮がむけたりという症状があらわれることがある。

14.2 薬剤投与時の注意

眼科用として使用しないこと。

18. 薬効薬理

18.1 作用機序

ベタメタゾン吉草酸エステルは合成コルチコステロイドの一種であり、炎症性サイトカイン産生の抑制及びアラキドン酸代謝の阻害等のメカニズムを介して抗炎症作用を示すと考えられる。
フラジオマイシン硫酸塩はアミノグリコシド系の抗生物質であり、細菌の蛋白質合成を阻害することにより抗菌作用を示す。

18.2 局所抗炎症作用

ベタメタゾン吉草酸エステルは、皮膚血管収縮試験(McKenzieらの方法)において、ヒドロコルチゾン酢酸エステルの360倍、フルオシノロンアセトニドの3.6倍の強さを示している1),2)

18.3 化膿病巣への作用

フラジオマイシン硫酸塩は、皮膚の炎症性皮膚疾患の二次感染及び化膿性皮膚疾患の原因となる黄色ブドウ球菌等に抗菌作用を示す3)in vitro)。

19. 有効成分に関する理化学的知見

〈ベタメタゾン吉草酸エステル〉

一般的名称

ベタメタゾン吉草酸エステル(Betamethasone Valerate)

化学名

9-Fluoro-11β,17,21-trihydroxy-16β-methylpregna-1,4-diene-3,20-dione 17-pentanoate

分子式

C27H37FO6

分子量

476.58

性状

白色の結晶性の粉末で、においはない。クロロホルムに溶けやすく、エタノール(95)にやや溶けやすく、メタノールにやや溶けにくく、ジエチルエーテルに溶けにくく、水にほとんど溶けない。

化学構造式

融点

約190℃(分解)

分配係数(logP)

4.8(pH7.1、1-オクタノール/水系)

〈フラジオマイシン硫酸塩〉

一般的名称

フラジオマイシン硫酸塩(Fradiomycin Sulfate)

化学名

フラジオマイシンB硫酸塩
2,6-Diamino-2,6-dideoxy-α-D-glucopyranosyl-(1→4)-[2,6-diamino-2,6-dideoxy-β-L-idopyranosyl-(1→3)-β-D-ribofuranosyl-(1→5)]-2-deoxy-D-streptamine trisulfate
フラジオマイシンC硫酸塩
2,6-Diamino-2,6-dideoxy-α-D-glucopyranosyl-(1→4)-[2,6-diamino-2,6-dideoxy-α-D-glucopyranosyl-(1→3)-β-D-ribofuranosyl-(1→5)]-2-deoxy-D-streptamine trisulfate

分子式

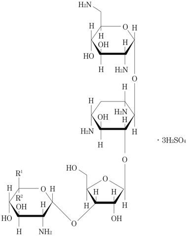
C23H46N6O13・3H2SO4

分子量

908.88

性状

白色~淡黄色の粉末である。水に溶けやすく、エタノール(95)にほとんど溶けない。
吸湿性である。

化学構造式

フラジオマイシンB硫酸塩:R1=H R2=CH2NH2
フラジオマイシンC硫酸塩:R1=CH2NH2 R2=H

22. 包装

  • 〈ベトネベートN軟膏〉

    5g[1チューブ]×10、30g[1チューブ]

  • 〈ベトネベートNクリーム〉

    5g[1チューブ]×10、30g[1チューブ]

24. 文献請求先及び問い合わせ先

グラクソ・スミスクライン株式会社

東京都港区赤坂1-8-1

カスタマー・ケア・センター
TEL:0120-561-007(9:00~17:45/土日祝日及び当社休業日を除く)
https://jp.gsk.com

26. 製造販売業者等

26.1 製造販売元

グラクソ・スミスクライン株式会社

東京都港区赤坂1-8-1

〒100-0013 東京都千代田区霞が関3-3-2 新霞が関ビル

画面を閉じる

Copyright © Pharmaceuticals and Medical Devices Agency, All Rights reserved.