医療用医薬品 詳細表示

クリンダマイシンリン酸エステルゲル1%「クラシエ」

処方せん医薬品

添付文書番号
企業コード
作成又は改訂年月
日本標準商品分類番号
薬効分類名
承認等
一般的名称
2.禁忌(次の患者には投与しないこと)
3.組成・性状
3.1組成
3.2製剤の性状
4.効能又は効果
6.用法及び用量
7.用法及び用量に関連する注意
8.重要な基本的注意
9.特定の背景を有する患者に関する注意
9.1合併症・既往歴等のある患者
9.5妊婦
9.6授乳婦
9.7小児等
10.相互作用
10.2併用注意(併用に注意すること)
11.副作用
11.1重大な副作用
11.2その他の副作用
16.薬物動態
16.1血中濃度
16.5排泄
17.臨床成績
17.1有効性及び安全性に関する試験
17.2製造販売後調査等
17.3その他
18.薬効薬理
18.1作用機序
19.有効成分に関する理化学的知見
22.包装
23.主要文献
24.文献請求先及び問い合わせ先
26.製造販売業者等

クリンダマイシンリン酸エステルゲル1%「クラシエ」

添付文書番号

2634713M1100_1_02

企業コード

340409

作成又は改訂年月

2023年7月改訂(第1版)

日本標準商品分類番号

872634

薬効分類名

外用抗生物質製剤

承認等

クリンダマイシンリン酸エステルゲル1%「クラシエ」

販売名コード

YJコード

2634713M1100

販売名英語表記

Clindamycin Phosphate Gel 1%「Kracie」

承認番号等

承認番号

30300AMX00475000

販売開始年月

2009年11月

貯法・有効期間

貯法

室温保存

有効期間

21ヵ月

一般的名称

クリンダマイシンリン酸エステル製剤

2. 禁忌(次の患者には投与しないこと)

本剤の成分又はリンコマイシン系抗生物質に対し過敏症の既往歴のある患者

3. 組成・性状

3.1 組成

クリンダマイシンリン酸エステルゲル1%「クラシエ」

有効成分(1g中)
日局クリンダマイシンリン酸エステル   10mg(力価)
添加剤日局マクロゴール400、日局プロピレングリコール、カルボキシビニルポリマー、日局パラオキシ安息香酸メチル、アラントイン、pH調節剤

3.2 製剤の性状

クリンダマイシンリン酸エステルゲル1%「クラシエ」

性状無色澄明の粘性のある半固形状

4. 効能又は効果

  • 〈適応菌種〉

    クリンダマイシンに感性のブドウ球菌属、アクネ菌

  • 〈適応症〉

    ざ瘡(化膿性炎症を伴うもの)

6. 用法及び用量

本品の適量を1日2回、洗顔後、患部に塗布する。

7. 用法及び用量に関連する注意

  1. 7.1 本剤を塗布する面積は治療上必要最小限にとどめること。
  2. 7.2 本剤の使用にあたっては、4週間で効果が認められない場合には使用を中止すること。また、炎症性皮疹が消失した場合には継続使用しないこと。

8. 重要な基本的注意

本剤の使用にあたっては、耐性菌の発現等を防ぐため、疾病の治療上必要な最小限の期間の使用にとどめること。

9. 特定の背景を有する患者に関する注意

9.1 合併症・既往歴等のある患者

  1. 9.1.1 抗生物質に関連した下痢又は大腸炎の既往歴のある患者

    偽膜性大腸炎等の重篤な大腸炎があらわれるおそれがある。

  2. 9.1.2 アトピー性体質の患者

    重症の即時型アレルギー反応があらわれるおそれがある。

9.5 妊婦

妊婦又は妊娠している可能性のある女性には使用しないことが望ましい。

9.6 授乳婦

治療上の有益性及び母乳栄養の有益性を考慮し、授乳の継続又は中止を検討すること。皮膚外用に用いたときの母乳中への移行は不明である。

9.7 小児等

低出生体重児、新生児、乳児、幼児を対象とした有効性及び安全性を指標とした臨床試験は実施していない。

10. 相互作用

    10.2 併用注意(併用に注意すること)

    薬剤名等臨床症状・措置方法機序・危険因子

    エリスロマイシン

    併用しても本剤の効果があらわれないと考えられる。

    細菌のリボソーム50S Subunitへの親和性が本剤より高い。

    末梢性筋弛緩剤

    • スキサメトニウム塩化物水和物
    • ツボクラリン塩化物塩酸塩水和物等

    筋弛緩作用が増強される。

    本剤は神経筋遮断作用を有する。

    11. 副作用

    次の副作用があらわれることがあるので、観察を十分に行い、異常が認められた場合には投与を中止するなど適切な処置を行うこと。

    11.1 重大な副作用

    1. 11.1.1 偽膜性大腸炎等の血便を伴う重篤な大腸炎(頻度不明)

      腹痛、頻回の下痢があらわれた場合には直ちに使用を中止し、輸液、バンコマイシンの経口投与等の適切な処置を行うこと。

    11.2 その他の副作用

    5%以上

    0.1~5%未満

    頻度不明

    皮膚

    つっぱり感、パリパリ感

    グラム陰性菌毛嚢炎、脂性肌

    過敏症

    瘙痒

    発赤1)、蕁麻疹、刺激感、ヒリヒリ感

    接触皮膚炎

    肝臓

    AST、ALT、Al-P、総ビリルビンの上昇、ウロビリノーゲン陽性

    その他

    白血球増加、血小板増加、総コレステロール低下、尿蛋白、尿糖

    消化器障害

    1) 発赤の誘発又は悪化

    16. 薬物動態

    16.1 血中濃度

    1. 16.1.1 単回投与

      健康成人男子(6名)の背部皮膚にクリンダマイシンリン酸エステルゲル1% 2gを単回塗布した時の血漿中クリンダマイシン濃度は、多くの被験者のほとんどの測定時点で定量限界値(13.2pg/mL)以下であった1)

    2. 16.1.2 反復投与

      健康成人男子(6名)の背部皮膚にクリンダマイシンリン酸エステルゲル1% 2gを12時間毎に9回反復塗布した時の塗布後12時間の血漿中クリンダマイシン濃度は、3回塗布でほぼ一定となり、最終塗布後の最高血漿中濃度は平均163.3pg/mLであった1)

    16.5 排泄

    健康成人男子の背部皮膚にクリンダマイシンリン酸エステルゲル1% 2gを単回(6名)又は反復(6名)塗布した時の尿中クリンダマイシン排泄率は単回及び反復塗布のいずれにおいても塗布量の0.01%以下であった1)

    17. 臨床成績

    17.1 有効性及び安全性に関する試験

    1. 17.1.1 国内第Ⅱ相試験

      多発性炎症性皮疹を有する尋常性ざ瘡(ざ瘡(化膿性炎症を伴うもの))患者を対象として、1日2回、朝・夕洗顔後、患部にクリンダマイシンリン酸エステルゲル2%2)、1%又は基剤を4週間塗布した至適濃度設定試験(二重盲検試験)において、有効率3)は2%群80.9%(38/47例)、1%群81.8%(36/44例)、基剤群54.0%(27/50例)であった。
      クリンダマイシンリン酸エステルゲル2%群及び1%群の副作用発現頻度4)は、12.7%(8/63例)及び2.9%(2/68例)であった。その内訳は、クリンダマイシンリン酸エステルゲル2%群で瘙痒7.9%(5/63例)、つっぱり感1.6%(1/63例)、発赤の悪化1.6%(1/63例)、発赤1.6%(1/63例)、ヒリヒリ感1.6%(1/63例)、パリパリ感1.6%(1/63例)、1%群で瘙痒1.5%(1/68例)、刺激感1.5%(1/68例)であった。また、臨床検査値の異常変動5)は、2%群で総コレステロール低下2.1%(1/48例)、GPT上昇2.0%(1/50例)、1%群で白血球増加2.0%(1/51例)、血小板増加2.0%(1/49例)、GOT上昇2.0%(1/51例)、総ビリルビン上昇2.0%(1/51例)、尿蛋白2.0%(1/50例)が認められた2)

    2. 17.1.2 国内第Ⅲ相試験

      多発性炎症性皮疹を有する尋常性ざ瘡(ざ瘡(化膿性炎症を伴うもの))患者を対象に1日2回、朝・夕洗顔後、患部にクリンダマイシンリン酸エステルゲル又はナジフロキサシンクリームを4週間塗布した無作為化割付群間比較試験において、有効率3)はクリンダマイシンリン酸エステルゲル群72.5%(74/102例)、ナジフロキサシン群49.0%(47/96例)であった。クリンダマイシンリン酸エステルの有効性はナジフロキサシンと比較して非劣性であることが示された。
      クリンダマイシンリン酸エステルゲル群の副作用発現頻度4)は、5.8%(7/120例)であった。その内訳は、瘙痒5.0%(6/120例)、刺激感0.8%(1/120例)、発赤の悪化0.8%(1/120例)であった。また、臨床検査値の異常変動5)は、クリンダマイシンリン酸エステルゲル群で、尿蛋白1.0%(1/103例)、ウロビリノーゲン陽性1.0%(1/103例)などが認められた3)

    3. 17.1.3 国内第Ⅲ相試験

      多発性炎症性皮疹を有する尋常性ざ瘡(ざ瘡(化膿性炎症を伴うもの))患者を対象に1日2回、朝・夕洗顔後、患部にクリンダマイシンリン酸エステルゲルを12週間塗布した一般臨床試験において、クリンダマイシンリン酸エステルゲルの有効率3)は78.1%(25/32例)であった。
      クリンダマイシンリン酸エステルゲル群の副作用発現頻度4)は、12.5%(4/32例)であった。その内訳は、瘙痒12.5%(4/32例)であった。また、臨床検査値の異常変動5)は、尿蛋白3.4%(1/29例)が認められた4)

    4. 17.1.4 国内第Ⅲ相試験

      多発性炎症性皮疹を有する尋常性ざ瘡(ざ瘡(化膿性炎症を伴うもの))患者を対象に1日2回、朝・夕洗顔後、患部にクリンダマイシンリン酸エステルゲルを12週間塗布した一般臨床試験において、クリンダマイシンリン酸エステルゲルの有効率3)は48.0%(12/25例)であった。
      クリンダマイシンリン酸エステルゲル群の副作用発現頻度4)は、16.0%(4/25例)であった。その内訳は、瘙痒8.0%(2/25例)、発赤の悪化4.0%(1/25例)、蕁麻疹4.0%(1/25例)、発赤4.0%(1/25例)であった。また、臨床検査値の異常変動5)は、総ビリルビン上昇9.1%(2/22例)などが認められた5)

    17.2 製造販売後調査等

    1. 17.2.1 特定使用成績調査(小児)

      有効性解析対象症例165例において、全般改善度の評価による有効率6)は75.8%(125/165例)であった。
      安全性解析対象症例168例における副作用発現頻度は、1.8%(3/168例)であった。その内訳は、接触皮膚炎0.6%(1/168例)、湿疹0.6%(1/168例)、皮膚刺激0.6%(1/168例)であった6)

    17.3 その他

    1. 17.3.1 皮膚刺激性

      本邦パッチテスト研究班の基準に基づき、健康成人男子で傍脊椎側の無傷皮膚表面にクリンダマイシンリン酸エステルゲル1%に対し基剤を用いた単純パッチテスト並びに光パッチテストを実施した結果、クリンダマイシンリン酸エステルゲルの皮膚刺激性が弱いこと、また、光過敏反応を示さないことが確認された7)

      2) 本剤の承認された濃度は1%である。

      3) 著効、有効、やや有効、無効、悪化の5段階にて評価し、著効及び有効を有効率として算出した。

      4) 発現件数/対象症例数

      5) 発現件数/実施症例数

      6) 治癒、著しく軽快、かなり軽快、やや軽快、不変、悪化の6段階にて評価し、治癒、著しく軽快、かなり軽快を有効率として算出した。

    18. 薬効薬理

    18.1 作用機序

    細菌のリボソーム50S Subunitに作用し、ペプチド転移酵素反応を阻止し、蛋白合成を阻害する。

    18.2 抗菌作用

    クリンダマイシンリン酸エステルは生体内で加水分解され、クリンダマイシンとして抗菌力を示す。クリンダマイシンはグラム陽性球菌群、嫌気性菌群及びマイコプラズマ群に対して抗菌力を示し、尋常性ざ瘡の病態に関与しているアクネ菌(及び表皮ブドウ球菌)に対して抗菌作用を示す8),9),10),11),12)

    18.3 生物学的同等性試験

    • アクネ菌及びブドウ球菌に対する抑制作用

      人工的に惹起したアクネ菌及びブドウ球菌感染症モデルマウスにクリンダマイシンリン酸エステルゲル1%「クラシエ」及びダラシンTゲル1%をそれぞれ0.2g塗布し、菌の抑制作用を比較した。その結果、両製剤ともアクネ菌及びブドウ球菌に対する抑制作用を示し、両製剤の間に有意な差は認められず、生物学的同等性が確認された13)

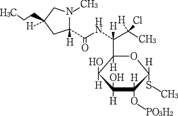
    19. 有効成分に関する理化学的知見

    一般的名称

    クリンダマイシンリン酸エステル(Clindamycin Phosphate)

    化学名

    Methyl 7-chloro-6,7,8-trideoxy-6-[(2S,4R)-1-methyl-4-propylpyrrolidine-2-carboxamido]-1-thio-L-threo-α-D-galacto-octopyranoside 2-dihydrogen phosphate

    分子式

    C18H34ClN2O8PS

    分子量

    504.96

    性状

    白色~微黄白色の結晶性の粉末である。
    水に溶けやすく、メタノールにやや溶けにくく、エタノール(95)にほとんど溶けない。

    化学構造式

    22. 包装

    10g×10本(チューブ)

    24. 文献請求先及び問い合わせ先

    〈文献請求先〉
    クラシエ薬品株式会社 医薬学術統括部

    〒108-8080 東京都港区海岸3-20-20

    TEL 03(5446)3352
    FAX 03(5446)3371

    〈製品情報お問合せ先〉
    クラシエ薬品株式会社 お客様相談センター

    〒108-8080 東京都港区海岸3-20-20

    TEL 03(5446)3334
    FAX 03(5446)3374

    〈受付時間〉10:00~17:00(土、日、祝日、弊社休業日を除く)

    26. 製造販売業者等

    26.1 製造販売元

    シオノケミカル株式会社

    東京都中央区八重洲2丁目10番10号(郵便番号104-0028)

    26.2 発売元

    クラシエ薬品株式会社

    東京都港区海岸3-20-20(郵便番号108-8080)

    〒100-0013 東京都千代田区霞が関3-3-2 新霞が関ビル

    画面を閉じる

    Copyright © Pharmaceuticals and Medical Devices Agency, All Rights reserved.