医療用医薬品 詳細表示

セファクロルカプセル250mg「SN」

処方せん医薬品

添付文書番号
企業コード
作成又は改訂年月
日本標準商品分類番号
薬効分類名
承認等
一般的名称
2.禁忌(次の患者には投与しないこと)
3.組成・性状
3.1組成
3.2製剤の性状
4.効能又は効果
5.効能又は効果に関連する注意
6.用法及び用量
8.重要な基本的注意
9.特定の背景を有する患者に関する注意
9.1合併症・既往歴等のある患者
9.2腎機能障害患者
9.5妊婦
9.6授乳婦
9.8高齢者
11.副作用
11.1重大な副作用
11.2その他の副作用
12.臨床検査結果に及ぼす影響
14.適用上の注意
16.薬物動態
16.1血中濃度
16.3分布
16.4代謝
16.5排泄
16.6特定の背景を有する患者
17.臨床成績
17.1有効性及び安全性に関する試験
18.薬効薬理
18.1作用機序
19.有効成分に関する理化学的知見
20.取扱い上の注意
22.包装
23.主要文献
24.文献請求先及び問い合わせ先
26.製造販売業者等

セファクロルカプセル250mg「SN」

添付文書番号

6132005M1253_2_07

企業コード

340409

作成又は改訂年月

2023年12月改訂(第1版)

日本標準商品分類番号

876132

薬効分類名

経口用セフェム系抗生物質製剤

承認等

セファクロルカプセル250mg「SN」

販売名コード

YJコード

6132005M1253

販売名英語表記

Cefaclor Capsules 250mg[SN]

販売名ひらがな

せふぁくろるかぷせる250mg[SN]

承認番号等

承認番号

22600AMX00224000

販売開始年月

1990年7月

貯法・有効期間

貯法

室温保存

有効期間

2年

基準名

日本薬局方

セファクロルカプセル

一般的名称

セファクロル

2. 禁忌(次の患者には投与しないこと)

本剤の成分に対し過敏症の既往歴のある患者

3. 組成・性状

3.1 組成

セファクロルカプセル250mg「SN」

有効成分(1カプセル中)
(日局)セファクロル   250mg(力価)
添加剤セルロース、ヒドロキシプロピルセルロース、デンプングリコール酸ナトリウム、無水ケイ酸、ステアリン酸マグネシウム、ラウリル硫酸ナトリウム、青色1号、酸化チタン、ゼラチン

3.2 製剤の性状

セファクロルカプセル250mg「SN」

外形側面
断面
大きさ全長17.9mm
蓋部6.3mm
胴体部6.1mm
号数2
質量358mg
識別コードSLT 250
色・剤形蓋部青色不透明、胴体部白色不透明の硬カプセル剤で、内容物は白色~黄白色の粒を含む粉末で、わずかに特異なにおいを有し、味はわずかに苦い。

4. 効能又は効果

  • 〈適応菌種〉

    本剤に感性のブドウ球菌属、レンサ球菌属、肺炎球菌、大腸菌、クレブシエラ属、プロテウス・ミラビリス、インフルエンザ菌

  • 〈適応症〉
    • 表在性皮膚感染症、深在性皮膚感染症、リンパ管・リンパ節炎、慢性膿皮症
    • 外傷・熱傷及び手術創等の二次感染、乳腺炎
    • 咽頭・喉頭炎、扁桃炎、急性気管支炎、肺炎、慢性呼吸器病変の二次感染
    • 膀胱炎、腎盂腎炎
    • 麦粒腫
    • 中耳炎
    • 歯周組織炎、歯冠周囲炎、顎炎
    • 猩紅熱

5. 効能又は効果に関連する注意

  • 〈咽頭・喉頭炎、扁桃炎、急性気管支炎、中耳炎〉

    「抗微生物薬適正使用の手引き」1)を参照し、抗菌薬投与の必要性を判断した上で、本剤の投与が適切と判断される場合に投与すること。

6. 用法及び用量

通常、成人及び体重20kg以上の小児にはセファクロルとして1日750mg(力価)を3回に分割して経口投与する。重症の場合や分離菌の感受性が比較的低い症例には1日1500mg(力価)を3回に分割して経口投与する。
なお、年齢、体重、症状等に応じ適宜増減する。

8. 重要な基本的注意

  1. 8.1 ショックがあらわれるおそれがあるので、十分な問診を行うこと。
  2. 8.2 本剤の使用にあたっては、耐性菌の発現等を防ぐため、原則として感受性を確認し、疾病の治療上必要な最小限の期間の投与にとどめること。
  3. 8.3 急性腎障害等の重篤な腎障害があらわれることがあるので、定期的に腎機能検査を行うなど観察を十分に行うこと。

9. 特定の背景を有する患者に関する注意

9.1 合併症・既往歴等のある患者

  1. 9.1.1 セフェム系抗生物質に対し過敏症の既往歴のある患者(ただし、本剤に対し過敏症の既往歴のある患者には投与しないこと)

    治療上やむを得ないと判断される場合を除き、投与しない。

  2. 9.1.2 ペニシリン系抗生物質に対し過敏症の既往歴のある患者
  3. 9.1.3 本人又は両親、兄弟に気管支喘息、発疹、蕁麻疹等のアレルギー症状を起こしやすい体質を有する患者
  4. 9.1.4 経口摂取の不良な患者又は非経口栄養の患者、全身状態の悪い患者

    観察を十分に行うこと。ビタミンK欠乏症状があらわれることがある。

9.2 腎機能障害患者

  1. 9.2.1 高度の腎障害のある患者

    投与量を減らすか、投与間隔をあけて使用すること。血中濃度が持続する。

9.5 妊婦

妊婦又は妊娠している可能性のある女性には、治療上の有益性が危険性を上回ると判断される場合にのみ投与すること。

9.6 授乳婦

治療上の有益性及び母乳栄養の有益性を考慮し、授乳の継続又は中止を検討すること。ヒト母乳中へ移行することが報告されている。

9.8 高齢者

次の点に注意し、用量並びに投与間隔に留意するなど患者の状態を観察しながら慎重に投与すること。

  • 生理機能が低下していることが多く副作用が発現しやすい。
  • ビタミンK欠乏による出血傾向があらわれることがある。

11. 副作用

次の副作用があらわれることがあるので、観察を十分に行い、異常が認められた場合には投与を中止するなど適切な処置を行うこと。

11.1 重大な副作用

  1. 11.1.1 ショック、アナフィラキシー(いずれも0.1%未満)

    ショック、アナフィラキシー(呼吸困難、喘鳴、全身潮紅、浮腫等)を起こすことがある。

  2. 11.1.2 急性腎障害(頻度不明)

    急性腎障害等の重篤な腎障害があらわれることがある。

  3. 11.1.3 汎血球減少、無顆粒球症、血小板減少(いずれも頻度不明)
  4. 11.1.4 偽膜性大腸炎(0.1%未満)

    偽膜性大腸炎等の血便を伴う重篤な大腸炎があらわれることがある。腹痛、頻回の下痢があらわれた場合には、直ちに投与を中止するなど適切な処置を行うこと。

  5. 11.1.5 中毒性表皮壊死融解症(Toxic Epidermal Necrolysis:TEN)、皮膚粘膜眼症候群(Stevens-Johnson症候群)(いずれも頻度不明)
  6. 11.1.6 間質性肺炎、PIE症候群(いずれも頻度不明)

    発熱、咳嗽、呼吸困難、胸部X線異常、好酸球増多等を伴う間質性肺炎、PIE症候群等があらわれることがあるので、このような症状があらわれた場合には投与を中止し、副腎皮質ホルモン剤の投与等の適切な処置を行うこと。

  7. 11.1.7 肝機能障害、黄疸(いずれも頻度不明)

    AST、ALT、Al-Pの著しい上昇等を伴う肝機能障害、黄疸があらわれることがある。

  8. 11.1.8 溶血性貧血

11.2 その他の副作用

0.1~5%未満

0.1%未満

頻度不明

過敏症

発疹

蕁麻疹、紅斑、そう痒、発熱等

リンパ腺腫脹、関節痛

血液

顆粒球減少、貧血(赤血球減少、ヘモグロビン減少、ヘマトクリット減少)、血小板減少、好酸球増多等

肝臓

AST上昇、ALT上昇

Al-P上昇

黄疸

腎臓

BUN上昇、血清クレアチニン上昇

消化器

悪心、下痢、腹痛

嘔吐、胃不快感、胸やけ、食欲不振等

菌交代症

口内炎、カンジダ症

ビタミン欠乏症

ビタミンK欠乏症状(低プロトロンビン血症、出血傾向等)、ビタミンB群欠乏症状(舌炎、口内炎、食欲不振、神経炎等)

その他

頭痛、めまい等

12. 臨床検査結果に及ぼす影響

  1. 12.1 テステープ反応を除くベネディクト試薬、フェーリング試薬による尿糖検査では偽陽性を呈することがあるので注意すること。
  2. 12.2 直接クームス試験陽性を呈することがあるので注意すること。

14. 適用上の注意

14.1 薬剤交付時の注意

PTP包装の薬剤はPTPシートから取り出して服用するよう指導すること。PTPシートの誤飲により、硬い鋭角部が食道粘膜へ刺入し、更には穿孔を起こして縦隔洞炎等の重篤な合併症を併発することがある。

16. 薬物動態

16.1 血中濃度

  1. 16.1.1 単回投与

    健康成人に、250mg(力価)、500mg(力価)を空腹時単回経口投与したときの薬物動態パラメータを表1に示す2)

    表1)薬物動態パラメータ

    投与量
    [mg(力価)]

    n

    Cmax
    (μg/mL)

    AUC0-6
    (μg・hr/mL)

    t1/2
    (min)

    250

    14

    7.42

    8.9

    27

    500

    14

    13.04

    18.7

    31

    (測定法:bioassay)(mean)

  2. 16.1.2 生物学的同等性試験

    セファクロルカプセル250mg「SN」とケフラールカプセル250mgを、クロスオーバー法によりそれぞれ1カプセル(セファクロルとして250mg(力価))健康成人男性に絶食単回経口投与して血漿中未変化体濃度を測定し、得られた薬物動態パラメータ(AUC、Cmax)について、統計解析を行った結果、両剤の生物学的同等性が確認された3)

    図1)セファクロルカプセル250mg(力価)を単回投与したときの血漿中未変化体濃度推移
    表2)セファクロルカプセル250mg(力価)を単回投与したときの薬物動態パラメータ

    判定パラメータ

    参考パラメータ

    AUC0-24
    (μg(力価)・hr/mL)

    Cmax
    (μg(力価)/mL)

    tmax
    (hr)

    t1/2
    (hr)

    セファクロルカプセル250mg「SN」
    (カプセル剤、250mg(力価))

    9.9±0.3

    7.9±0.3

    0.7±0.1

    1.3±0.1

    ケフラールカプセル250mg
    (カプセル剤、250mg(力価))

    9.6±0.4

    8.2±0.4

    0.7±0.0

    1.2±0.0

    (Mean±S.E., n=10)

    血漿中濃度並びにAUC、Cmax等のパラメータは、被験者の選択、体液の採取回数・時間等の試験条件によって異なる可能性がある。

16.3 分布

  1. 16.3.1 扁桃・上顎洞粘膜4)、肺組織5)、口腔組織6)(歯肉、嚢胞壁、顎骨)、乳汁中7)に移行が認められた。
  2. 16.3.2 限外ろ過法にて測定された血漿蛋白結合率は23.1%であった8)

16.4 代謝

ラット、マウス、ウサギ、イヌに経口投与後、大部分が未変化体のまま尿中に排泄され、主要代謝物は尿中に認められなかった8)

16.5 排泄

健康成人に250mg(力価)(n=14)、500mg(力価)(n=14)空腹時単回経口投与後6時間以内の尿中回収率はいずれも70%以上であった2)

16.6 特定の背景を有する患者

  1. 16.6.1 腎機能障害患者

    500mg(力価)空腹時単回経口投与時、腎機能障害患者では健康成人に比べ半減期の延長が認められた。また、Cmaxも高値を示した9)(外国人データ)。

    表3)薬物動態パラメータ

    対象

    n

    Ccr
    (mL/min/1.73m2

    Cmax
    (μg/mL)

    tmax
    (hr)

    t1/2
    (hr)

    健康成人

    5

    ≧107(mean)

    12.4±1.3注1

    0.5~1

    0.8±0.1注1

    腎機能
    障害患者

    2

    37.7

    20.5

    2

    1.5

    16

    18.0

    4

    透析時:
    2.1±0.1注1

    無尿患者

    4

    0.0

    19.7±3.3注1

    0.5~4

    非透析時:
    2.8±0.8注1

    注1:mean±S.E.
    (測定法:bioassay)

17. 臨床成績

17.1 有効性及び安全性に関する試験

  1. 17.1.1 二重盲検比較試験

    セファレキシンを対照薬とし、細菌性気管支炎10)、急性単純性膀胱炎11)、複雑性尿路感染症12)、急性皮膚感染症13)、歯科・口腔外科領域感染症14)を対象とした5種の二重盲検比較試験、及びセファレキシン複粒を対照薬とし、急性単純性膀胱炎15)を対象とした二重盲検比較試験において、セファクロルの有用性が確認された。

18. 薬効薬理

18.1 作用機序

細菌の細胞壁合成を阻害することにより抗菌作用を発揮し、作用は殺菌的である。セファレキシンより低濃度・短時間で殺菌に至らしめる16),17)

18.2 抗菌作用

試験管内で好気性グラム陽性菌のブドウ球菌属、レンサ球菌属、肺炎球菌、グラム陰性菌の大腸菌、クレブシエラ属、プロテウス・ミラビリス、インフルエンザ菌に対して抗菌力を示す。リケッチア属、クラミジア属、マイコプラズマ属、ウイルス、真菌及び原虫には増殖阻止効果を示さない。細菌の産生する不活化酵素セファロスポリナーゼに対して、試験管内で安定性を示す16),17),18)

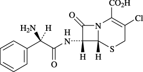
19. 有効成分に関する理化学的知見

一般的名称

セファクロル(Cefaclor)

化学名

(6R,7R)-7-[(2R)-2-Amino-2-phenylacetylamino]-3-chloro-8-oxo-5-thia-1-azabicyclo[4.2.0]oct-2-ene-2-carboxylic acid

分子式

C15H14ClN3O4S

分子量

367.81

性状

白色~黄白色の結晶性の粉末である。
水又はメタノールに溶けにくく、N,N-ジメチルホルムアミド又はエタノール(99.5)にほとんど溶けない。

化学構造式

20. 取扱い上の注意

アルミピロー開封後は遮光して保存すること。

22. 包装

100カプセル[10カプセル(PTP)×10]

24. 文献請求先及び問い合わせ先

シオノケミカル株式会社 学術情報本部

〒104-0028 東京都中央区八重洲2丁目10番10号

TEL 03-5202-0213
FAX 03-5202-0230

26. 製造販売業者等

26.1 製造販売元

シオノケミカル株式会社

東京都中央区八重洲2丁目10番10号

26.2 販売元

あゆみ製薬株式会社

東京都中央区銀座四丁目12番15号

〒100-0013 東京都千代田区霞が関3-3-2 新霞が関ビル

画面を閉じる

Copyright © Pharmaceuticals and Medical Devices Agency, All Rights reserved.