医療用医薬品 詳細表示

リンデロン点眼・点耳・点鼻液0.1%

処方せん医薬品以外の医薬品

添付文書番号
企業コード
作成又は改訂年月
日本標準商品分類番号
薬効分類名
承認等
一般的名称
2.禁忌(次の患者には投与しないこと)
3.組成・性状
3.1組成
3.2製剤の性状
4.効能・効果
6.用法・用量
8.重要な基本的注意
9.特定の背景を有する患者に関する注意
9.1合併症・既往歴等のある患者
9.5妊婦
9.7小児等
9.8高齢者
11.副作用
11.1重大な副作用
11.2その他の副作用
14.適用上の注意
16.薬物動態
16.1血中濃度
17.臨床成績
17.1有効性及び安全性に関する試験
18.薬効薬理
18.1作用機序
18.2薬理作用
19.有効成分に関する理化学的知見
20.取扱い上の注意
22.包装
23.主要文献
24.文献請求先及び問い合わせ先
26.製造販売業者等

リンデロン点眼・点耳・点鼻液0.1%

添付文書番号

1315706Q2102_2_04

企業コード

343018

作成又は改訂年月

2023年2月改訂(第1版)

日本標準商品分類番号

871315
871329

薬効分類名

眼科、耳鼻科用合成副腎皮質ホルモン剤

承認等

リンデロン点眼・点耳・点鼻液0.1%

販売名コード

YJコード

1315706Q2102

販売名英語表記

RINDERON Ophthalmic, Otic and Nasal Solution 0.1%

販売名ひらがな

りんでろんてんがん・てんじ・てんびえき0.1%

承認番号等

承認番号

21900AMX01513000

販売開始年月

1965年1月

貯法・有効期間

貯法

室温保存

有効期間

5年

一般的名称

ベタメタゾンリン酸エステルナトリウム

2. 禁忌(次の患者には投与しないこと)

本剤の成分に対し過敏症の既往歴のある患者

3. 組成・性状

3.1 組成

リンデロン点眼・点耳・点鼻液0.1%

1mL中

有効成分ベタメタゾンリン酸エステルナトリウム   1mg
添加剤乾燥亜硫酸ナトリウム、塩化ナトリウム、リン酸二水素ナトリウム水和物、リン酸水素ナトリウム水和物、水酸化ナトリウム、パラオキシ安息香酸メチル、パラオキシ安息香酸プロピル  

3.2 製剤の性状

リンデロン点眼・点耳・点鼻液0.1%

pH7.5~8.5
浸透圧比約0.8
〔生理食塩液に対する比〕
性状・剤形無色澄明の液である。(無菌製剤)

4. 効能・効果

  • (眼科用)

    外眼部および前眼部の炎症性疾患の対症療法(眼瞼炎、結膜炎、角膜炎、強膜炎、上強膜炎、前眼部ブドウ膜炎、術後炎症)

  • (耳鼻科用)

    外耳・中耳(耳管を含む)または上気道の炎症性・アレルギー性疾患(外耳炎、中耳炎、アレルギー性鼻炎など)、術後処置

6. 用法・用量

  • (眼科用)

    通常、1日3~4回、1回1~2滴ずつ点眼する。
    なお、症状により適宜増減する。

  • (耳鼻科用)

    通常、1日1~数回、適量を点耳、点鼻、耳浴、ネブライザー又はタンポンにて使用するか、又は患部に注入する。
    なお、症状により適宜増減する。

8. 重要な基本的注意

  1. 8.1 全身性ステロイド剤と比較し可能性は低いが、本剤の投与により全身性の作用(クッシング症候群、クッシング様症状、副腎皮質機能抑制、小児の成長遅延、骨密度の低下、白内障、緑内障、中心性漿液性網脈絡膜症を含む)が発現する可能性がある。特に長期間、大量投与の場合には定期的に検査を行い、全身性の作用が認められた場合には適切な処置を行うこと。
  2. 8.2 連用により、数週後から眼圧亢進、また、緑内障があらわれることがあるので、定期的に眼圧検査を実施すること。
  3. 8.3 長期連用を避けること。

9. 特定の背景を有する患者に関する注意

9.1 合併症・既往歴等のある患者

  1. 9.1.1 以下の患者には治療上やむを得ないと判断される場合を除き、投与しないこと。
    1. (1) 角膜上皮剥離又は角膜潰瘍の患者

      これらの疾患が増悪するおそれがある。

    2. (2) ウイルス性結膜・角膜疾患、結核性眼疾患、真菌性眼疾患又は化膿性眼疾患の患者

      これらの疾患が増悪するおそれがある。

    3. (3) 耳又は鼻に結核性又はウイルス性疾患のある患者

      これらの疾患が増悪するおそれがある。

  2. 9.1.2 糖尿病の患者

    糖尿病が増悪するおそれがある。

9.5 妊婦

妊婦又は妊娠している可能性のある女性には、治療上の有益性が危険性を上回ると判断される場合にのみ投与すること。また、長期・頻回使用を避けること。

9.7 小児等

特に2歳未満の場合には慎重に使用すること。小児等を対象とした有効性及び安全性を指標とした臨床試験は実施していない。

9.8 高齢者

減量するなど注意すること。一般に生理機能が低下している。

11. 副作用

次の副作用があらわれることがあるので、観察を十分に行い、異常が認められた場合には投与を中止するなど適切な処置を行うこと。

11.1 重大な副作用

  1. 11.1.1 緑内障(0.1%未満)

    連用により、数週後から眼圧亢進、また、緑内障があらわれることがある。

  2. 11.1.2 角膜ヘルペス、角膜真菌症、眼部の緑膿菌感染症の誘発(いずれも頻度不明)
  3. 11.1.3 眼部の穿孔(頻度不明)

    角膜ヘルペス、角膜潰瘍又は外傷等に使用した場合には穿孔を生じることがある。

  4. 11.1.4 後嚢白内障(0.1%未満)

    長期使用により、後嚢白内障があらわれることがある。

11.2 その他の副作用

0.1%未満

頻度不明

過敏症

刺激感

角膜沈着物(術後炎症に本剤を使用した場合)

耳・鼻

局所に化膿性の感染症

下垂体・副腎皮質系

長期使用による下垂体・副腎皮質系機能の抑制1)、クッシング症候群

その他

全身使用の場合と同様な症状1)

創傷治癒の遅延

14. 適用上の注意

14.1 薬剤交付時の注意

患者に対し以下の点に注意するよう指導すること。

  • 〈共通〉
  • 遮光して保存すること。
  • 〈眼科用〉
  • 薬液汚染防止のため、点眼のとき、容器の先端が直接目に触れないように注意すること。
  • 患眼を開瞼して結膜嚢内に点眼し、1~5分間閉瞼して涙嚢部を圧迫させた後、開瞼すること。
  • 他の点眼剤を併用する場合には、少なくとも5分以上間隔をあけてから点眼すること。

16. 薬物動態

16.1 血中濃度

眼科手術後の患者10例に0.1%ベタメタゾンリン酸エステルナトリウム液を1回1滴点眼した場合の血漿中濃度をラジオイムノアッセイにて測定した。血漿中濃度(平均値±標準誤差)は点眼30分後に467±138pg/mL、1時間後は479±109pg/mL、2時間後478±150pg/mLを示し、以後漸減し、6時間後は235±61pg/mLを示した2)

17. 臨床成績

17.1 有効性及び安全性に関する試験

  1. 17.1.1 国内臨床試験

    再評価時の臨床試験における疾患別の有効率は、表17-1及び表17-2のとおりであった3)

    表17-1 眼科疾患

    疾患名

    有効例数/有効性評価対象例数

    有効率(%)

    眼瞼炎

    15/15

    100

    結膜炎

    57/75

    76.0

    角膜炎

    28/38

    73.7

    強膜炎・上強膜炎

    3/4

    ブドウ膜炎

    18/20

    90.0

    術後炎症

    21/36

    58.3

    142/188

    75.5

    表17-2 耳鼻科疾患

    疾患名

    有効例数/有効性評価対象例数

    有効率(%)

    外耳炎・外耳湿疹

    4/4

    中耳炎

    11/18

    61.1

    咽頭炎

    12/19

    63.2

    アレルギー性鼻炎

    1/2

    慢性肥厚性鼻炎

    0/1

    慢性副鼻腔炎

    0/2

    術後炎症

    18/27

    66.7

    46/73

    63.0

18. 薬効薬理

18.1 作用機序

ステロイドは細胞質に存在する熱ショック蛋白質、抑制蛋白質と複合体を形成したステロイド受容体に結合後核内に移行し、ステロイド反応性の遺伝子を活性化させ、その薬理作用を発揮すると考えられている。また、血管内皮細胞やリンパ球等の細胞膜の障害を抑制するような膜の安定性に関与する作用や、フォスフォリパーゼA2と呼ばれる細胞膜リン脂質からロイコトリエンやプロスタグランジンなど種々の炎症惹起物質を誘導する重要な酵素の機能を抑える作用も知られている。
その作用機序としては、単量体のステロイドとその受容体が複合体を形成することで、NFκBやAP-1と呼ばれるサイトカイン産生の誘導や細胞接着分子の発現等を調節している細胞内転写因子の機能を抑制することで、2量体の受容体と結合した場合、リポコルチン等の誘導を介して、炎症を制御すると考えられている。免疫抑制作用に関しては、リンパ球に対する直接的な機能抑制、アポトーシスの誘導によると考えられている4)

18.2 薬理作用

ベタメタゾンリン酸エステルナトリウムは合成糖質副腎皮質ホルモンであり、抗炎症作用、抗アレルギー作用を示す。

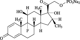
19. 有効成分に関する理化学的知見

一般的名称

ベタメタゾンリン酸エステルナトリウム
(Betamethasone Sodium Phosphate)(JAN)[日局]

化学名

9-Fluoro-11β,17,21-trihydroxy-16β-methylpregna-1,4-diene-3,20-dione 21-(disodium phosphate)

分子式

C22H28FNa2O8P

分子量

516.40

性状

白色~微黄白色の結晶性の粉末又は塊で、においはない。
水に溶けやすく、メタノールにやや溶けにくく、エタノール(95)に溶けにくく、ジエチルエーテルにほとんど溶けない。
吸湿性である。

化学構造式

融点

約213℃(分解)

20. 取扱い上の注意

外箱開封後は遮光して保存すること。

22. 包装

10本[5mL(瓶)×10]

24. 文献請求先及び問い合わせ先

塩野義製薬株式会社 医薬情報センター

〒541-0045大阪市中央区道修町3丁目1番8号

電話0120-956-734

FAX 06-6202-1541

https://med.shionogi.co.jp/

26. 製造販売業者等

26.1 製造販売元

シオノギファーマ株式会社

大阪府摂津市三島2丁目5番1号

26.2 販売元

塩野義製薬株式会社

大阪市中央区道修町3丁目1番8号

〒100-0013 東京都千代田区霞が関3-3-2 新霞が関ビル

画面を閉じる

Copyright © Pharmaceuticals and Medical Devices Agency, All Rights reserved.