医療用医薬品 詳細表示

眼・耳科用リンデロンA軟膏

処方せん医薬品

添付文書番号
企業コード
作成又は改訂年月
日本標準商品分類番号
薬効分類名
承認等
一般的名称
2.禁忌(次の患者には投与しないこと)
3.組成・性状
3.1組成
3.2製剤の性状
4.効能・効果
5.効能・効果に関連する注意
6.用法・用量
8.重要な基本的注意
9.特定の背景を有する患者に関する注意
9.1合併症・既往歴等のある患者
9.5妊婦
9.7小児等
9.8高齢者
11.副作用
11.1重大な副作用
11.2その他の副作用
14.適用上の注意
17.臨床成績
17.1有効性及び安全性に関する試験
18.薬効薬理
18.1作用機序
18.2薬理作用
19.有効成分に関する理化学的知見
20.取扱い上の注意
22.包装
23.主要文献
24.文献請求先及び問い合わせ先
26.製造販売業者等

眼・耳科用リンデロンA軟膏

添付文書番号

1319812M1026_2_03

企業コード

343018

作成又は改訂年月

2023年2月改訂(第1版)

日本標準商品分類番号

871319
871329

薬効分類名

眼科、耳鼻科用合成副腎皮質ホルモン・抗生物質配合剤

承認等

眼・耳科用リンデロンA軟膏

販売名コード

YJコード

1319812M1026

販売名英語表記

Eye, Ear RINDERON-A Ointment

販売名ひらがな

がん・じかようりんでろんAなんこう

承認番号等

承認番号

14000AZZ06348000

販売開始年月

1966年1月

貯法・有効期間

貯法

室温保存

有効期間

3年

一般的名称

ベタメタゾンリン酸エステルナトリウム・フラジオマイシン硫酸塩

2. 禁忌(次の患者には投与しないこと)

  1. 2.1 本剤の成分に対し過敏症の既往歴のある患者
  2. 2.2 ストレプトマイシン、カナマイシン、ゲンタマイシン、フラジオマイシン等のアミノグリコシド系抗生物質又はバシトラシンに対し過敏症の既往歴のある患者
  3. 2.3 鼓膜に穿孔のある患者への耳内使用[薬剤が内耳に移行し、内耳障害があらわれるおそれがある。]

3. 組成・性状

3.1 組成

眼・耳科用リンデロンA軟膏

1g中

有効成分ベタメタゾンリン酸エステルナトリウム   1mg
フラジオマイシン硫酸塩   3.5mg(力価)
添加剤パラオキシ安息香酸メチル   0.5mg
パラオキシ安息香酸プロピル   0.1mg
白色ワセリン、流動パラフィン  

3.2 製剤の性状

眼・耳科用リンデロンA軟膏

性状・剤形白色~微黄色、半透明のなめらかな半固体である。(軟膏、無菌製剤)

4. 効能・効果

  • <適応菌種>

    フラジオマイシン感性菌

  • <適応症>
    • [眼科]

      外眼部・前眼部の細菌感染を伴う炎症性疾患

    • [耳鼻科]

      外耳の湿疹・皮膚炎、進行性壊疽性鼻炎、耳鼻咽喉科領域における術後処置

5. 効能・効果に関連する注意

本剤の使用に際しては適応症、起炎菌の感受性等を十分考慮すること。

6. 用法・用量

  • [眼科用]

    通常、適量を1日1~数回患部に点眼・塗布する。
    なお、症状により適宜増減する。

  • [耳鼻科用]

    通常、適量を1日1~数回患部に塗布する。
    なお、症状により適宜増減する。

8. 重要な基本的注意

  1. 8.1 非可逆性の難聴があらわれることがあるので、次の諸点に留意すること。
    1. 8.1.1 長期間連用しないこと。
    2. 8.1.2 本剤使用中は特に聴力の変動に注意すること。
  2. 8.2 使用中に感作されるおそれがあるので、観察を十分に行い、感作されたことを示す兆候があらわれた場合には使用を中止すること。
  3. 8.3 連用により、数週後から眼圧亢進、また、緑内障があらわれることがあるので、定期的に眼圧検査を実施すること。
  4. 8.4 長期連用を避けること。

9. 特定の背景を有する患者に関する注意

9.1 合併症・既往歴等のある患者

  1. 9.1.1 以下の患者には治療上やむを得ないと判断される場合を除き投与しないこと。
    1. (1) 角膜上皮剥離又は角膜潰瘍の患者

      これらの疾患が増悪するおそれがある。

    2. (2) ウイルス性結膜・角膜疾患、結核性眼疾患、真菌性眼疾患の患者

      これらの疾患が増悪するおそれがある。

    3. (3) 耳又は鼻に結核性又はウイルス性疾患のある患者

      これらの疾患が増悪するおそれがある。

  2. 9.1.2 糖尿病の患者

    糖尿病が増悪するおそれがある。

  3. 9.1.3 耳手術後の患者

    手術部位の治癒が遅延するおそれがある。

9.5 妊婦

妊婦又は妊娠している可能性のある女性には、治療上の有益性が危険性を上回ると判断される場合にのみ投与すること。また、長期・頻回使用を避けること。

9.7 小児等

特に2歳未満の場合には慎重に使用すること。小児等を対象とした有効性及び安全性を指標とした臨床試験は実施していない。

9.8 高齢者

減量するなど注意すること。一般に生理機能が低下している。

11. 副作用

次の副作用があらわれることがあるので、観察を十分に行い、異常が認められた場合には投与を中止するなど適切な処置を行うこと。

11.1 重大な副作用

  1. 11.1.1 難聴(0.1%未満)

    非可逆性の難聴があらわれることがある。

  2. 11.1.2 緑内障(0.1%未満)

    連用により、数週後から眼圧亢進、また、緑内障があらわれることがある。

  3. 11.1.3 角膜ヘルペス、角膜真菌症、眼部の緑膿菌感染症の誘発(いずれも頻度不明)
  4. 11.1.4 眼部の穿孔(頻度不明)

    角膜ヘルペス、角膜潰瘍又は外傷等に使用した場合には穿孔を生じることがある。

  5. 11.1.5 後嚢白内障(0.1%未満)

    長期使用により、後嚢白内障があらわれることがある。

11.2 その他の副作用

0.1~5%未満注1

0.1%未満注1

頻度不明

過敏症

眼瞼炎、結膜炎

刺激感

接触性皮膚炎

耳・鼻

局所にフラジオマイシンの耐性菌又は非感性菌による化膿性の感染症

下垂体・副腎皮質系

長期使用による下垂体・副腎皮質系機能の抑制

その他

全身使用の場合と同様な症状注2

創傷治癒の遅延

注1)再評価結果を含む。
注2)

14. 適用上の注意

14.1 薬剤交付時の注意

  • 〈眼科用〉

    患者に対し以下の点に注意するよう指導すること。

    • 薬剤汚染防止のため、塗布するとき、容器の先端が直接目に触れないように注意すること。
    • 患眼を開瞼して結膜嚢内に塗布し、閉瞼して軟膏が全体に広がった後、開瞼すること。
    • 軟膏が眼瞼皮膚等についた場合には、すぐにふき取ること。
    • 他の点眼剤を併用する場合には、本剤を最後に使用すること。その際、少なくとも5分以上間隔をあけること。

17. 臨床成績

17.1 有効性及び安全性に関する試験

  1. 17.1.1 国内臨床試験

    再評価時の臨床試験の成績は表17-1及び表17-2のとおりであった1)

    表17-1 眼科疾患

    疾患名

    有効例数/有効性評価対象例数

    有効率(%)

    眼瞼炎

    46/46

    100

    結膜炎

    86/88

    97.7

    角膜炎

    24/25

    96.0

    強膜炎・上強膜炎

    4/4

    ブドウ膜炎

    5/7

    術後炎症

    36/39

    92.3

    201/209

    96.2

    表17-2 耳鼻科疾患

    疾患名

    有効例数/有効性評価対象例数

    有効率(%)

    外耳炎・外耳湿疹

    33/37

    89.2

    術後炎症

    31/35

    88.6

    咽喉疾患

    19/20

    95.0

    その他

    13/13

    100

    96/105

    91.4

18. 薬効薬理

18.1 作用機序

  1. 18.1.1 ベタメタゾンリン酸エステルナトリウム

    ステロイドは細胞質に存在する熱ショック蛋白質、抑制蛋白質と複合体を形成したステロイド受容体に結合後核内に移行し、ステロイド反応性の遺伝子を活性化させ、その薬理作用を発揮すると考えられている。また、血管内皮細胞やリンパ球等の細胞膜の障害を抑制するような膜の安定性に関与する作用や、フォスフォリパーゼA2と呼ばれる細胞膜リン脂質からロイコトリエンやプロスタグランジンなど種々の炎症惹起物質を誘導する重要な酵素の機能を抑える作用も知られている。
    その作用機序としては、単量体のステロイドとその受容体が複合体を形成することで、NFκBやAP-1と呼ばれるサイトカイン産生の誘導や細胞接着分子の発現等を調節している細胞内転写因子の機能を抑制することで、2量体の受容体と結合した場合、リポコルチン等の誘導を介して、炎症を制御すると考えられている。免疫抑制作用に関しては、リンパ球に対する直接的な機能抑制、アポトーシスの誘導によると考えられている2)

  2. 18.1.2 フラジオマイシン硫酸塩

    細菌の蛋白合成を阻害することにより抗菌作用を発揮し、その作用は殺菌的である。

18.2 薬理作用

  1. 18.2.1 ベタメタゾンリン酸エステルナトリウムは合成糖質副腎皮質ホルモンであり、抗炎症作用、抗アレルギー作用を示す。
  2. 18.2.2 フラジオマイシン硫酸塩は、試験管内でグラム陽性菌のブドウ球菌属、モラクセラ・ラクナータ(モラー・アクセンフェルト菌)及びヘモフィルス・エジプチウス(コッホ・ウィークス菌)等に抗菌作用を示す。

19. 有効成分に関する理化学的知見

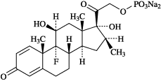
19.1ベタメタゾンリン酸エステルナトリウム

一般的名称

ベタメタゾンリン酸エステルナトリウム
(Betamethasone Sodium Phosphate)(JAN)[日局]

化学名

9-Fluoro-11β,17,21-trihydroxy-16β-methylpregna-1,4-diene-3,20-dione 21-(disodium phosphate)

分子式

C22H28FNa2O8P

分子量

516.40

性状

白色~微黄白色の結晶性の粉末又は塊で、においはない。
水に溶けやすく、メタノールにやや溶けにくく、エタノール(95)に溶けにくく、ジエチルエーテルにほとんど溶けない。
吸湿性である。

化学構造式

融点

約213℃(分解)

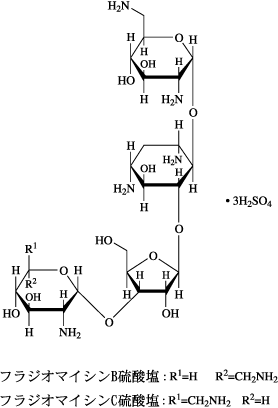
19.2 フラジオマイシン硫酸塩

一般的名称

フラジオマイシン硫酸塩
(Fradiomycin Sulfate)(JAN)[日局]

化学名

フラジオマイシンB硫酸塩
2,6-Diamino-2,6-dideoxy-α-D-glucopyranosyl-(1→4)-[2,6-diamino-2,6-dideoxy-β-L-idopyranosyl-(1→3)-β-D-ribofuranosyl-(1→5)]-2-deoxy-D-streptamine trisulfate
フラジオマイシンC硫酸塩
2,6-Diamino-2,6-dideoxy-α-D-glucopyranosyl-(1→4)-[2,6-diamino-2,6-dideoxy-α-D-glucopyranosyl-(1→3)-β-D-ribofuranosyl-(1→5)]-2-deoxy-D-streptamine trisulfate

分子式

C23H46N6O13・3H2SO4

分子量

908.88

性状

白色~淡黄色の粉末である。
水に溶けやすく、エタノール(95)にほとんど溶けない。
吸湿性である。

化学構造式

略号

FRM

20. 取扱い上の注意

高温条件下で軟膏基剤中の低融点物質(液体)が滲出すること(Bleeding現象)がある。

22. 包装

10本[5g(チューブ)×10]

24. 文献請求先及び問い合わせ先

塩野義製薬株式会社 医薬情報センター

〒541-0045大阪市中央区道修町3丁目1番8号

電話0120-956-734

FAX 06-6202-1541

https://med.shionogi.co.jp/

26. 製造販売業者等

26.1 製造販売元

シオノギファーマ株式会社

大阪府摂津市三島2丁目5番1号

26.2 販売元

塩野義製薬株式会社

大阪市中央区道修町3丁目1番8号

〒100-0013 東京都千代田区霞が関3-3-2 新霞が関ビル

画面を閉じる

Copyright © Pharmaceuticals and Medical Devices Agency, All Rights reserved.