医療用医薬品 詳細表示

イルトラ配合錠LD/イルトラ配合錠HD

処方せん医薬品

添付文書番号
企業コード
作成又は改訂年月
日本標準商品分類番号
薬効分類名
承認等
一般的名称
2.禁忌(次の患者には投与しないこと)
3.組成・性状
3.1組成
3.2製剤の性状
4.効能・効果
5.効能・効果に関連する注意
6.用法・用量
8.重要な基本的注意
9.特定の背景を有する患者に関する注意
9.1合併症・既往歴等のある患者
9.2腎機能障害患者
9.3肝機能障害患者
9.4生殖能を有する者
9.5妊婦
9.6授乳婦
9.7小児等
9.8高齢者
10.相互作用
10.1併用禁忌(併用しないこと)
10.2併用注意(併用に注意すること)
11.副作用
11.1重大な副作用
11.2その他の副作用
12.臨床検査結果に及ぼす影響
13.過量投与
14.適用上の注意
15.その他の注意
15.1臨床使用に基づく情報
16.薬物動態
16.1血中濃度
16.2吸収
16.3分布
16.4代謝
16.5排泄
16.6特定の背景を有する患者
16.7薬物相互作用
17.臨床成績
17.1有効性及び安全性に関する試験
18.薬効薬理
18.1作用機序
18.2薬理作用
19.有効成分に関する理化学的知見
22.包装
23.主要文献
24.文献請求先及び問い合わせ先
26.製造販売業者等

イルトラ配合錠LD/イルトラ配合錠HD

添付文書番号

2149119F1024_2_09

企業コード

343018

作成又は改訂年月

**2025年9月改訂(第5版)
2025年5月改訂(第4版)

日本標準商品分類番号

872149

薬効分類名

長時間作用型ARB/利尿薬合剤

承認等

イルトラ配合錠LD

販売名コード

YJコード

2149119F1024

販売名英語表記

IRTRA Combination Tablets LD

販売名ひらがな

いるとらはいごうじょうLD

承認番号等

承認番号

22500AMX01005000

販売開始年月

2013年9月

貯法・有効期間

貯法

室温保存

有効期間

3年

イルトラ配合錠HD

販売名コード

YJコード

2149119F2020

販売名英語表記

IRTRA Combination Tablets HD

販売名ひらがな

いるとらはいごうじょうHD

承認番号等

承認番号

22500AMX01006000

販売開始年月

2013年9月

貯法・有効期間

貯法

室温保存

有効期間

3年

一般的名称

イルベサルタン/トリクロルメチアジド

2. 禁忌(次の患者には投与しないこと)

  1. 2.1 本剤の成分に対し過敏症の既往歴のある患者
  2. 2.2 チアジド系薬剤又はその類似化合物(例えばクロルタリドン等のスルホンアミド誘導体)に対する過敏症の既往歴のある患者
  3. 2.3 妊婦又は妊娠している可能性のある女性
  4. 2.4 無尿の患者又は透析中の患者[トリクロルメチアジドの効果が期待できない。]
  5. 2.5 急性腎不全の患者
  6. 2.6 体液中のナトリウム、カリウムが明らかに減少している患者[トリクロルメチアジドは低ナトリウム血症、低カリウム血症等の電解質失調を悪化させるおそれがある。]
  7. 2.7 アリスキレンフマル酸塩を投与中の糖尿病患者(ただし、他の降圧治療を行ってもなお血圧のコントロールが著しく不良の患者を除く)
  8. 2.8 デスモプレシン酢酸塩水和物(男性における夜間多尿による夜間頻尿)を投与中の患者

3. 組成・性状

3.1 組成

イルトラ配合錠LD

1錠中

有効成分イルベサルタン   100mg
トリクロルメチアジド   1mg
添加剤乳糖水和物、結晶セルロース、クロスカルメロースナトリウム、ヒプロメロース、トウモロコシデンプン、ステアリン酸マグネシウム、クエン酸トリエチル、酸化チタン、タルク、三二酸化鉄  

イルトラ配合錠HD

1錠中

有効成分イルベサルタン   200mg
トリクロルメチアジド   1mg
添加剤乳糖水和物、結晶セルロース、クロスカルメロースナトリウム、ヒプロメロース、トウモロコシデンプン、ステアリン酸マグネシウム、クエン酸トリエチル、酸化チタン、タルク、三二酸化鉄  

3.2 製剤の性状

イルトラ配合錠LD

外形表面
裏面
側面
大きさ長径約11.0mm
短径約 5.7mm
厚さ約 4.0mm
質量約0.22g
識別コード
@ 141:100/1
性状・剤形淡赤色のだ円形のフィルムコーティング錠である。

イルトラ配合錠HD

外形表面
裏面
側面
大きさ直径約14.0mm
短径約 7.3mm
厚さ約 4.9mm
質量約0.43g
識別コード
@ 142:200/1
性状・剤形淡赤色のだ円形のフィルムコーティング錠である。

4. 効能・効果

高血圧症

5. 効能・効果に関連する注意

  1. 5.1 過度な血圧低下のおそれ等があり、本剤を高血圧治療の第一選択薬としないこと。
  2. 5.2 原則として、イルベサルタン100mgで効果不十分な場合にイルベサルタン/トリクロルメチアジド100mg/1mgの投与を、イルベサルタン200mg、又はイルベサルタン/トリクロルメチアジド100mg/1mgで効果不十分な場合にイルベサルタン/トリクロルメチアジド200mg/1mgの投与を検討すること。

6. 用法・用量

成人には1日1回1錠(イルベサルタン/トリクロルメチアジドとして100mg/1mg又は200mg/1mg)を経口投与する。本剤は高血圧治療の第一選択薬として用いない。

8. 重要な基本的注意

  1. 8.1 本剤はイルベサルタン100mgあるいは200mgとトリクロルメチアジド1mgの配合剤であり、イルベサルタンとトリクロルメチアジド双方の副作用が発現するおそれがあるため、適切に本剤の使用を検討すること。
  2. 8.2 トリクロルメチアジドは低カリウム血症を発現させるおそれがあるので、定期的に血清カリウム値のモニタリングを実施し、観察を十分に行うこと。
  3. 8.3 トリクロルメチアジドは高尿酸血症を発現させるおそれがあるので、定期的に血清尿酸値のモニタリングを実施し、観察を十分に行うこと。血清尿酸値の上昇が観察された場合は、その程度に応じて投与を中止するなど適切な処置を行うこと。
  4. 8.4 イルベサルタンを含むアンジオテンシンⅡ受容体拮抗剤投与中に重篤な肝機能障害があらわれたとの報告がある。肝機能検査を実施するなど観察を十分に行うこと。
  5. 8.5 降圧作用に基づくめまい、ふらつきがあらわれることがあるので、高所作業、自動車の運転等危険を伴う機械を操作する際には注意させること。
  6. 8.6 手術前24時間は投与しないことが望ましい。アンジオテンシンⅡ受容体拮抗剤投与中の患者は、麻酔及び手術中にレニン-アンジオテンシン系の抑制作用による高度な血圧低下を起こす可能性がある。
  7. 8.7 トリクロルメチアジドの利尿効果は急激にあらわれることがあるので、電解質失調、脱水に十分注意すること。
  8. 8.8 連用する場合、トリクロルメチアジドによる電解質失調があらわれることがあるので定期的に検査を行うこと。
  9. 8.9 夜間の休息が特に必要な患者には、夜間の排尿を避けるため、午前中に投与することが望ましい。

9. 特定の背景を有する患者に関する注意

9.1 合併症・既往歴等のある患者

  1. 9.1.1 両側性腎動脈狭窄のある患者又は片腎で腎動脈狭窄のある患者

    治療上やむを得ないと判断される場合を除き、本剤の使用は避けること。イルベサルタンは、腎血流量の減少や糸球体ろ過圧の低下により急速に腎機能を悪化させるおそれがある。

  2. 9.1.2 血清カリウム値異常の患者

    血清カリウム値が悪化するおそれがある。,,

  3. 9.1.3 高カリウム血症の患者

    治療上やむを得ないと判断される場合を除き、本剤の使用は避けること。イルベサルタンは、高カリウム血症を増悪させるおそれがある。また、腎機能障害、コントロール不良の糖尿病等により血清カリウム値が高くなりやすい患者では、血清カリウム値に注意すること。,

  4. 9.1.4 重篤な冠動脈硬化症又は脳動脈硬化症のある患者

    トリクロルメチアジドによる急激な利尿があらわれた場合、急速な血漿量減少、血液濃縮を来し、血栓塞栓症を誘発するおそれがある。

  5. 9.1.5 脳血管障害のある患者

    過度の降圧が脳血流不全を引き起こし、病態を悪化させるおそれがある。

  6. 9.1.6 本人又は両親、兄弟に痛風、糖尿病のある患者及び高尿酸血症のある患者

    トリクロルメチアジドにより高尿酸血症、高血糖症を来し、痛風、血糖値の悪化や顕性化のおそれがある。

  7. 9.1.7 下痢、嘔吐のある患者

    トリクロルメチアジドにより電解質失調を起こすおそれがある。

  8. 9.1.8 高カルシウム血症、副甲状腺機能亢進症のある患者

    トリクロルメチアジドにより血清カルシウムを上昇させるおそれがある。

  9. 9.1.9 減塩療法中の患者

    トリクロルメチアジドにより低ナトリウム血症等の電解質失調を起こすおそれがある。厳重な減塩療法中の患者では低用量から投与を開始し、増量する場合は徐々に行うこと。一過性の急激な血圧低下を起こすおそれがある。,

  10. 9.1.10 交感神経切除後の患者

    トリクロルメチアジドの降圧作用が増強される。

9.2 腎機能障害患者

  1. 9.2.1 急性腎不全の患者

    投与しないこと。腎機能を更に悪化させるおそれがある。

  2. 9.2.2 透析中の患者

    投与しないこと。トリクロルメチアジドの効果が期待できない。

  3. 9.2.3 血清クレアチニン値が2.0mg/dLを超える腎機能障害患者

    治療上やむを得ないと判断される場合を除き、本剤の使用は避けること。

  4. 9.2.4 腎機能障害のある患者

    定期的に血清クレアチニン値のモニタリングを実施し、観察を十分に行うこと。血清クレアチニン値上昇等、腎機能を更に悪化させるおそれがある。

9.3 肝機能障害患者

  1. 9.3.1 胆汁性肝硬変及び胆汁うっ滞のある患者

    イルベサルタンは主に胆汁中に排泄されるため、血中濃度が上昇するおそれがある。

  2. 9.3.2 進行した肝硬変症のある患者

    トリクロルメチアジドは、肝性昏睡を誘発することがある。

  3. 9.3.3 肝疾患、肝障害のある患者

    肝機能を更に悪化させるおそれがある。

9.4 生殖能を有する者

  1. 9.4.1 妊娠する可能性のある女性

    妊娠していることが把握されずアンジオテンシン変換酵素阻害剤又はアンジオテンシンⅡ受容体拮抗剤を使用し、胎児・新生児への影響(腎不全、頭蓋・肺・腎の形成不全、死亡等)が認められた例が報告されている1),2)

    本剤の投与に先立ち、代替薬の有無等も考慮して本剤投与の必要性を慎重に検討し、治療上の有益性が危険性を上回ると判断される場合にのみ投与すること。また、投与が必要な場合には次の注意事項に留意すること。

    1. (1) 本剤投与開始前に妊娠していないことを確認すること。本剤投与中も、妊娠していないことを定期的に確認すること。投与中に妊娠が判明した場合には、直ちに投与を中止すること。
    2. (2) 次の事項について、本剤投与開始時に患者に説明すること。また、投与中も必要に応じ説明すること。
      • 妊娠中に本剤を使用した場合、胎児・新生児に影響を及ぼすリスクがあること。
      • 妊娠が判明した又は疑われる場合は、速やかに担当医に相談すること。
      • 妊娠を計画する場合は、担当医に相談すること。

9.5 妊婦

妊婦又は妊娠している可能性のある女性には投与しないこと。投与中に妊娠が判明した場合には、直ちに投与を中止すること。妊娠中期及び末期にアンジオテンシンⅡ受容体拮抗剤やアンジオテンシン変換酵素阻害剤を投与された患者で羊水過少症、胎児・新生児の死亡、新生児の低血圧、腎不全、高カリウム血症、頭蓋の形成不全及び羊水過少症によると推測される四肢の拘縮、頭蓋顔面の奇形、肺の低形成等があらわれたとの報告がある。チアジド系薬剤では、新生児又は乳児に高ビリルビン血症、血小板減少等を起こすことがある。また、利尿効果に基づく血漿量減少、血液濃縮、子宮・胎盤血流量減少があらわれることがある。,

9.6 授乳婦

授乳しないことが望ましい。イルベサルタンの動物試験(ラット)において乳汁中への移行が認められている。また、イルベサルタンの動物試験(ラット出生前及び出生後の発生並びに母体の機能に関する試験)の50mg/kg/日以上で哺育期間において出生児の体重増加抑制が認められている。トリクロルメチアジドの類似化合物のヒドロクロロチアジドにおいて、ヒトで母乳中に移行することが報告されている。

9.7 小児等

小児等を対象とした臨床試験は実施していない。

9.8 高齢者

  1. 9.8.1 低用量から投与を開始するなど慎重に投与すること。一般に過度の降圧は好ましくないとされている。脳梗塞等が起こるおそれがある。
  2. 9.8.2 急激な利尿は血漿量の減少を来し、脱水、低血圧等による立ちくらみ、めまい、失神等を起こすことがある。
  3. 9.8.3 特に心疾患等のある高齢者では、急激な利尿があらわれた場合、急速な血漿量減少、血液濃縮を来し、血栓塞栓症を誘発するおそれがある。
  4. 9.8.4 トリクロルメチアジドによる低ナトリウム血症、低カリウム血症があらわれやすい。

10. 相互作用

    10.1 併用禁忌(併用しないこと)

    薬剤名等臨床症状・措置方法機序・危険因子
    • アリスキレンフマル酸塩
      • ラジレス(糖尿病患者に使用する場合。ただし、他の降圧治療を行ってもなお血圧のコントロールが著しく不良の患者を除く。)

    非致死性脳卒中、腎機能障害、高カリウム血症及び低血圧のリスク増加が報告されている。

    イルベサルタン:

    レニン‐アンジオテンシン系阻害作用が増強される可能性がある。

    • デスモプレシン酢酸塩水和物
      • ミニリンメルト(男性における夜間多尿による夜間頻尿)

    低ナトリウム血症が発現するおそれがある。

    トリクロルメチアジド:

    いずれも低ナトリウム血症が発現するおそれがある。

    10.2 併用注意(併用に注意すること)

    薬剤名等臨床症状・措置方法機序・危険因子
    • カリウム保持性利尿剤
      • スピロノラクトン、トリアムテレン等
    • カリウム補給剤
      • 塩化カリウム

    血清カリウム値が上昇することがある。

    イルベサルタン:

    機序:アルドステロン分泌抑制によりカリウム貯留作用が増強する可能性がある。

    危険因子:腎機能障害のある患者

    • 利尿降圧剤
      • フロセミド等

    一過性の急激な血圧低下を起こすおそれがあるので、利尿降圧剤投与中の患者に本剤を投与する場合は低用量から開始し、増量する場合は徐々に行うこと。

    イルベサルタン:

    利尿降圧剤で治療を受けている患者では、体液量の減少によりレニン活性が亢進しており、降圧作用が増強するおそれがある。

    • アリスキレンフマル酸塩

    腎機能障害、高カリウム血症及び低血圧を起こすおそれがある。なお、eGFRが60mL/min/1.73m2未満の腎機能障害のある患者へのアリスキレンフマル酸塩との併用については、治療上やむを得ないと判断される場合を除き避けること。

    イルベサルタン:

    レニン‐アンジオテンシン系阻害作用が増強される可能性がある。

    • アンジオテンシン変換酵素阻害剤
      • エナラプリル、イミダプリル等

    腎機能障害、高カリウム血症及び低血圧を起こすおそれがある。

    イルベサルタン:

    レニン‐アンジオテンシン系阻害作用が増強される可能性がある。

    • 非ステロイド性抗炎症薬(NSAIDs)
      • ロキソプロフェン、インドメタシン等

    降圧作用が減弱するおそれがある。

    イルベサルタン:

    血管拡張作用を有するプロスタグランジンの合成阻害により、本剤の降圧作用を減弱させる可能性がある。

    • 非ステロイド性抗炎症薬(NSAIDs)
      • ロキソプロフェン、インドメタシン等

    腎機能が低下している患者では、更に腎機能が悪化するおそれがある。

    イルベサルタン:

    プロスタグランジンの合成阻害により、腎血流量が低下するためと考えられる。

    • 非ステロイド性抗炎症薬(NSAIDs)
      • ロキソプロフェン、インドメタシン等

    利尿降圧作用が減弱されることがある。

    トリクロルメチアジド:

    非ステロイド系消炎鎮痛剤のプロスタグランジン合成酵素阻害作用による腎内プロスタグランジンの減少が、水・ナトリウムの体内貯留を引き起こし、利尿剤の作用と拮抗する。

    • バルビツール酸誘導体
    • アヘンアルカロイド系麻薬
    • アルコール

    臨床症状:起立性低血圧を増強することがある。

    トリクロルメチアジド:

    これらの薬剤は血管拡張作用を有するので、チアジド系利尿剤の降圧作用が増強されると考えられる。

    • 昇圧アミン
      • ノルアドレナリン、アドレナリン

    昇圧アミンの作用を減弱するおそれがあるので、手術前の患者に使用する場合には、本剤の一時休薬等を行うこと。

    トリクロルメチアジド:

    血管壁の反応性の低下及び交感神経終末からの生理的ノルアドレナリンの放出抑制が起こることが、動物試験で報告されている。

    • ツボクラリン及びその類似作用物質
      • ツボクラリン塩化物

    麻痺作用を増強することがあるので、手術前の患者に使用する場合には、本剤の一時休薬等の処置を行うこと。

    トリクロルメチアジド:

    利尿剤による血清カリウム値の低下により、これらの薬剤の神経・筋遮断作用が増強されると考えられている。

    • 他の降圧剤
      • β遮断剤

    降圧作用を増強するおそれがあるので、降圧剤の用量調節等に注意すること。

    作用機序が異なる降圧剤との併用により、降圧作用が増強されるとの報告がある。

    • ジギタリス剤
      • ジゴキシン、ジギトキシン

    臨床症状:ジギタリスの心臓に対する作用を増強し、ジギタリス中毒を起こすおそれがある。

    措置方法:血清カリウム値、ジギタリス血中濃度等に注意すること。

    トリクロルメチアジド:

    チアジド系利尿剤による血清カリウム値の低下により、多量のジギタリスが心筋Na+-K+ATPaseに結合し、心収縮力増強と不整脈が起こる。

    • 糖質副腎皮質ホルモン剤
    • ACTH

    臨床症状:低カリウム血症が発現するおそれがある。

    トリクロルメチアジド:

    共にカリウム排泄作用を有する。

    • グリチルリチン製剤
    • 甘草含有製剤

    血清カリウム値の低下があらわれやすくなる。

    トリクロルメチアジド:

    これらの薬剤は低カリウム血症を主徴とした偽アルドステロン症を引き起こすことがあり、本剤との併用により低カリウム血症を増強する可能性がある。

    • 糖尿病用剤
      • SU剤、インスリン

    糖尿病用剤の作用を著しく減弱するおそれがある。

    トリクロルメチアジド:

    機序は明確ではないが、チアジド系利尿剤によるカリウム喪失により膵臓のβ細胞のインスリン放出が低下すると考えられている。

    • リチウム
      • 炭酸リチウム

    リチウム中毒が報告されている。

    イルベサルタン:

    リチウムの再吸収はナトリウムと競合するため、本剤のナトリウム排泄作用により、リチウムの再吸収が促進されると考えられる。

    • リチウム
      • 炭酸リチウム

    臨床症状:リチウム中毒(振戦、消化器愁訴等)が増強される。

    措置方法:血清リチウム濃度の測定を行うなど注意すること。

    トリクロルメチアジド:

    チアジド系利尿剤は遠位尿細管でナトリウムの再吸収を抑制するが、長期投与では近位尿細管で代償的にナトリウム、リチウムの再吸収を促進し、リチウムの血中濃度が上昇する。

    • コレスチラミン

    利尿降圧作用が減弱される。

    トリクロルメチアジド:

    コレスチラミンの吸着作用により、利尿剤の吸収が阻害される。

    11. 副作用

    次の副作用があらわれることがあるので、観察を十分に行い、異常が認められた場合には投与を中止するなど適切な処置を行うこと。

    11.1 重大な副作用

    1. 11.1.1 **血管性浮腫(頻度不明)

      **顔面、口唇、咽頭、舌等の腫脹を症状とする血管性浮腫があらわれることがある。また、腹痛、嘔気、嘔吐、下痢等を伴う腸管血管性浮腫があらわれることがある。

    2. 11.1.2 ショック、失神、意識消失(頻度不明)

      冷感、嘔吐、意識消失等があらわれた場合には、直ちに適切な処置を行うこと。,

    3. 11.1.3 高カリウム血症(頻度不明)

      ,

    4. 11.1.4 低ナトリウム血症(頻度不明)

      倦怠感、食欲不振、嘔気、嘔吐、痙攣、意識障害等を伴う低ナトリウム血症があらわれることがある。高齢者であらわれやすい。,

    5. 11.1.5 腎不全(頻度不明)
    6. 11.1.6 肝機能障害、黄疸(頻度不明)

      AST、ALT、Al-P、γ-GTPの上昇等の肝機能障害があらわれることがある。

    7. 11.1.7 低血糖(頻度不明)

      脱力感、空腹感、冷汗、手の震え、集中力低下、痙攣、意識障害等があらわれた場合には投与を中止し、適切な処置を行うこと。糖尿病治療中の患者であらわれやすい。

    8. 11.1.8 横紋筋融解症(頻度不明)

      筋肉痛、脱力感、CK上昇、血中及び尿中ミオグロビン上昇を特徴とする横紋筋融解症があらわれることがあるので、このような場合には直ちに投与を中止し、適切な処置を行うこと。

    9. 11.1.9 再生不良性貧血(頻度不明)
    10. 11.1.10 間質性肺炎(頻度不明)

    11.2 その他の副作用

    5%以上又は頻度不明1)

    0.1~5%未満

    過敏症

    じん麻疹、そう痒、顔面潮紅

    発疹、光線過敏症

    循環器

    血圧低下、頻脈、徐脈、心室性期外収縮、心房細動

    動悸、起立性低血圧

    精神神経系

    もうろう感、眠気、不眠、知覚異常

    めまい、しびれ感、頭痛

    消化器

    悪心、嘔吐、便秘、下痢、胸やけ、食欲不振、口渇、腹部不快感、膵炎、唾液腺炎

    腹痛

    肝臓

    LDH上昇、Al-P上昇

    ALT上昇、AST上昇、ビリルビン上昇、γ-GTP上昇

    腎臓

    BUN上昇、クレアチニン上昇、尿沈渣異常

    尿中蛋白陽性

    血液

    白血球増加、ヘマトクリット減少、ヘモグロビン減少、血小板減少、紫斑

    好酸球増加、赤血球減少、白血球減少

    代謝異常

    血中尿酸値上昇(5.7%)、低カリウム血症、低クロール性アルカローシス、血中カルシウムの上昇等の電解質失調、コレステロール上昇、高血糖症

    血清脂質増加、高尿酸血症、血清カリウム上昇

    視力異常(霧視等)、黄視症

    その他

    胸痛、倦怠感、ほてり、浮腫、味覚異常、発熱、関節痛、筋痛、背部痛、筋力低下、総蛋白減少、CRP上昇、性機能異常、鼻閉、全身性紅斑性狼瘡の悪化、筋痙攣、耳鳴

    咳嗽、CK上昇、頻尿

    1) 血中尿酸値上昇以外はイルベサルタン又はトリクロルメチアジド単剤で報告されている副作用

    12. 臨床検査結果に及ぼす影響

    トリクロルメチアジドは甲状腺障害のない患者の血清PBIを低下させることがある。

    13. 過量投与

    1. 13.1 処置

      イルベサルタンは血液透析では除去できない。トリクロルメチアジドの過量投与に関する情報は得られていない。

    14. 適用上の注意

    14.1 薬剤交付時の注意

    PTP包装の薬剤はPTPシートから取り出して服用するよう指導すること。PTPシートの誤飲により、硬い鋭角部が食道粘膜へ刺入し、更には穿孔をおこして縦隔洞炎等の重篤な合併症を併発することがある。

    15. その他の注意

    15.1 臨床使用に基づく情報

    *他のチアジド系薬剤において、急性近視、閉塞隅角緑内障、脈絡膜滲出があらわれたとの報告がある。

    16. 薬物動態

    16.1 血中濃度

    本態性高血圧症患者14例にイルベサルタン/トリクロルメチアジドとして200mg/1mgを1日1回8日間食後反復経口投与したときの投与1日目及び8日目のイルベサルタン及びトリクロルメチアジドの血漿中濃度の推移を図16-1、16-2に、薬物動態パラメータを表16-1に示す3)。両成分の薬物動態に及ぼす反復投与の影響はみられなかった。

    表16-1 薬物動態パラメータ

    測定
    成分名

    投与日

    Cmax
    (ng/mL)

    Tmax注1
    (hr)

    AUC0-inf
    (ng・hr/mL)

    T1/2,z
    (hr)

    イルベサルタン

    1日目

    3420±773

    1.5(1.0-4.0)

    13340±3486

    8日目

    3500±790

    1.5(1.0-3.0)

    14360±3887注2

    14.4±5.4

    トリクロルメチアジド

    1日目

    27.3±5.17

    2.0(1.5-4.0)

    102.7±18.13

    8日目

    27.5±6.01

    2.0(1.5-3.0)

    102.4±19.72注2

    2.40±0.34

    注1:中央値(最小値-最大値)

    注2:8日目のAUCはAUC0-τ

    (測定法:LC/MS/MS)(平均値±標準偏差、14例)

    16.2 吸収

    1. 16.2.1 食事の影響

      健康成人20例にイルベサルタン/トリクロルメチアジドとして200mg/1mgをクロスオーバー法にて単回経口投与(食後及び空腹時)したとき、イルベサルタンのCmaxは食事の影響を受けなかったが、空腹時投与に比べ食後投与でイルベサルタンのAUC0-infは22%低下し、トリクロルメチアジドのCmax、AUC0-infはそれぞれ28%、25%低下した4)

    16.3 分布

    1. 16.3.1 蛋白結合率

      蛋白結合率はイルベサルタンで約97%(ヒト血清)、トリクロルメチアジドで85%(イヌ血漿)であった(in vitro)。

    16.4 代謝

    イルベサルタンは、主としてCYP2C9による酸化的代謝とグルクロン酸抱合により代謝された5),6)。トリクロルメチアジドは、ヒト肝細胞を用いた試験系ではほとんど代謝を受けなかった7)in vitro)。

    16.5 排泄

    1. 16.5.1 本態性高血圧症患者14例にイルベサルタン/トリクロルメチアジドとして200mg/1mgを1日1回8日間食後反復経口投与したとき、最終投与の投与後24時間までの未変化体尿中排泄率の算術平均値は、イルベサルタンは0.287%、トリクロルメチアジドは68.7%であった3)
    2. 16.5.2 イルベサルタンとして、以下の報告がある。
      健康成人に14C-標識イルベサルタンを経口投与した場合、放射能の約20%は尿中に排泄され、約54%は糞中に排泄された8)(外国人データ)。

    16.6 特定の背景を有する患者

    1. 16.6.1 腎機能障害患者

      イルベサルタンとして、以下の報告がある。
      軽・中等度(9例)、高度(10例)の腎機能障害患者にイルベサルタン100mgを1日1回8日間反復経口投与したとき、腎機能正常者と比較してCmax、AUCに有意な差はみられなかった。血液透析中の患者を含め、腎機能障害患者に投与した場合にも蓄積傾向はほとんどないことが示唆された9)(外国人データ)。

    2. 16.6.2 肝機能障害患者

      イルベサルタンとして、以下の報告がある。
      軽・中等度の肝硬変患者10例に、イルベサルタン300mg2)を空腹時1日1回7日間反復経口投与したとき、健康成人と比較してCmax、AUCに有意な差はみられなかった。また蓄積傾向がほとんどないことも示唆された10)(外国人データ)。

    3. 16.6.3 高齢者

      本態性高血圧症患者14例〔高齢者7例(65~70歳)と非高齢者7例(54~64歳)〕にイルベサルタン/トリクロルメチアジドとして200mg/1mgを1日1回8日間食後反復経口投与したとき、イルベサルタン及びトリクロルメチアジドのCmax及びAUCに年齢の影響は認められなかった3)

    16.7 薬物相互作用

    1. 16.7.1 健康成人男性にイルベサルタン200mg及びトリクロルメチアジド1mgを併用単回投与したときのイルベサルタン及びトリクロルメチアジドの薬物動態は各単剤投与後と差はなく、イルベサルタンとトリクロルメチアジドの間には薬物動態学的相互作用は認められなかった11)
    2. 16.7.2 ヒト肝ミクロソームを用いて、CYP活性に対するイルベサルタンの阻害作用について検討した結果、CYP1A2、CYP2D6及びCYP2E1に対しては阻害せず、CYP2A6、CYP2C8、CYP2C9及びCYP3A4に対して阻害作用が認められたものの、いずれも阻害の程度は弱かった12)in vitro)。
    3. 16.7.3 ヒト肝ミクロソームを用いて、CYP活性に対するトリクロルメチアジドの阻害作用について検討した結果、CYP1A2、CYP2B6、CYP2C8、CYP2C9、CYP2C19、CYP2D6、CYP2E1及びCYP3A4/5に対して阻害しなかった7)in vitro)。

       

      2) 本剤の承認された1日用量はイルベサルタン/トリクロルメチアジドとして100mg/1mg又は200mg/1mgである。

    17. 臨床成績

    17.1 有効性及び安全性に関する試験

    1. 17.1.1 国内第Ⅲ相試験(イルベサルタン効果不十分例対象)

      イルベサルタン100mgで降圧効果が不十分な本態性高血圧症患者を対象に、イルベサルタン/トリクロルメチアジドとして100mg/1mg、100mg/0.5mg、又は100mg/0mgを1日1回8週間投与した結果は表17-1のとおりであった13)

      表17-1 二重盲検比較(イルベサルタン効果不十分例対象)試験

      投与量

      (イルベサルタン/
      トリクロルメチアジド)

      例数

      トラフ時坐位血圧(mmHg)

      収縮期

      拡張期

      投与前値

      変化量

      投与前値

      変化量

      100mg/1mg

      131

      155.00
      ±10.26

      -12.87
      ±1.11

      97.77
      ±5.74

      -8.85
      ±0.77

      100mg/0.5mg

      131

      154.45
      ±9.20

      -6.88
      ±1.11

      97.08
      ±5.96

      -6.24
      ±0.79

      100mg/0mg

      133

      153.86
      ±9.52

      -4.27
      ±1.10

      97.37
      ±5.63

      -4.96
      ±0.79

      投与前値:平均値±標準偏差、変化量:調整平均±標準誤差

      副作用発現頻度は、100mg/1mg群で15.9%(21/132例)であった。主な副作用は、100mg/1mg群で血中尿酸値上昇9.8%(13/132例)、血中トリグリセリド増加2.3%(3/132例)、ALT増加1.5%(2/132例)であった13)

    2. 17.1.2 国内第Ⅲ相試験(優越性検証)

      本態性高血圧症患者を対象に、イルベサルタン/トリクロルメチアジドとして200mg/1mg、100mg/1mg、又は200mg/0mgを1日1回8週間投与した結果は表17-2のとおりであった14)

      表17-2 二重盲検比較(優越性検証)試験

      投与量

      (イルベサルタン/
      トリクロルメチアジド)

      例数

      トラフ時坐位血圧(mmHg)

      収縮期

      拡張期

      投与前値

      変化量

      投与前値

      変化量

      200mg/1mg

      140

      160.72
      ±9.16

      -23.54
      ±1.16

      101.46
      ±5.86

      -14.79
      ±0.79

      100mg/1mg

      139

      161.60
      ±9.93

      -21.64
      ±1.17

      100.97
      ±5.64

      -13.12
      ±0.80

      200mg/0mg

      141

      161.49
      ±10.38

      -18.13
      ±1.16

      101.72
      ±6.08

      -11.43
      ±0.79

      投与前値:平均値±標準偏差、変化量:調整平均±標準誤差

      副作用発現頻度は、100mg/1mg群で18.6%(26/140例)及び200mg/1mg群で15.6%(22/141例)であった。主な副作用は、100mg/1mg群で血中尿酸増加4.3%(6/140例)、ALT増加2.9%(4/140例)、高尿酸血症2.1%(3/140例)、200mg/1mg群で血中尿酸増加3.5%(5/141例)であった14)

    3. 17.1.3 国内第Ⅲ相試験(長期投与)

      本態性高血圧症患者135例を対象に、イルベサルタン/トリクロルメチアジドとして100mg/1mg又は200mg/1mgを1日1回52週間投与したとき、耐薬性を認めることなく、安定した降圧作用が維持された。副作用発現頻度は、100mg/1mg維持群で7.6%(5/66例)及び200mg/1mg維持群で8.7%(6/69例)であった。主な副作用は、100mg/1mg維持群で血中尿酸増加4.5%(3/66例)、200mg/1mg維持群で血中尿酸増加5.8%(4/69例)であった15)

    18. 薬効薬理

    18.1 作用機序

    1. 18.1.1 イルベサルタンの降圧作用

      In vitro試験においてウサギ摘出大動脈のアンジオテンシンⅡ(AⅡ)誘発収縮を特異的に抑制し、in vivo試験(ラット、イヌ、サル)においてもAⅡ誘発昇圧反応に対して抑制作用を示した。In vitro結合試験から、その抑制作用はAⅡ受容体に対する競合的拮抗に基づくものであり、更にAⅡタイプ1受容体(AT1受容体)選択的であることが示唆された。その他の受容体には親和性を示さず、アンジオテンシン変換酵素も阻害しなかった16),17),18),19),20),21)

    2. 18.1.2 トリクロルメチアジドの利尿作用

      遠位尿細管曲部の管腔側に局在するNa+-Cl-共輸送体を阻害することによりNa+、Cl-の再吸収を抑制し、尿中への排泄を増加させる。これに伴って水の排泄が増加する22)

    3. 18.1.3 トリクロルメチアジドの降圧作用

      降圧剤としての作用機序は明らかではないが、トリクロルメチアジドの脱塩・利尿作用により、循環血液量を減少させる、あるいは交感神経刺激に対する末梢血管の感受性を低下させることにより、血圧が下降すると考えられている23),24)

    18.2 薬理作用

    1. 18.2.1 高血圧自然発症ラット(SHR)における降圧作用

      雄性SHRに、イルベサルタン単独、トリクロルメチアジド単独、その両者併用又は媒体(0.5%メチルセルロース水溶液)を1日1回15日間反復経口投与した場合の降圧作用を検討した。その結果、イルベサルタン単独投与群は安定した降圧作用を示したが、トリクロルメチアジド単独投与群は媒体投与群と比較して有意な降圧作用を示さなかった。また、イルベサルタン及びトリクロルメチアジド併用投与群は、各単独投与群と比較して、有意な降圧作用を示した25)

    2. 18.2.2 高血圧自然発症ラット(SHR)における利尿作用

      雄性SHRに、イルベサルタン単独、トリクロルメチアジド単独、その両者併用又は媒体(0.5%メチルセルロース水溶液)を1日1回15日間反復経口投与した場合の利尿作用を検討した。その結果、トリクロルメチアジド単独投与群では、尿量、尿中ナトリウム排泄量及び尿中カリウム排泄量が、媒体投与群と比較して増加したが、イルベサルタン単独投与群では変化しなかった。また、イルベサルタン及びトリクロルメチアジドを併用投与しても、イルベサルタンはトリクロルメチアジドによって増加した尿量、尿中ナトリウム排泄量及び尿中カリウム排泄量を低下させなかった25)

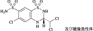
    19. 有効成分に関する理化学的知見

    19.1 イルベサルタン

    一般的名称

    イルベサルタン
    (Irbesartan)(JAN)[日局]

    化学名

    2-Butyl-3-{[2'-(1H-tetrazol-5-yl)biphenyl-4-yl]methyl}-1,3-diazaspiro[4.4]non-1-en-4-one

    分子式

    C25H28N6O

    分子量

    428.53

    性状

    白色の結晶性の粉末である。
    酢酸(100)に溶けやすく、メタノールにやや溶けにくく、エタノール(99.5)に溶けにくく、水にほとんど溶けない。
    結晶多形が認められる。

    化学構造式

    融点

    182.4~184.6℃

    分配係数

    約10.1[pH7.4、1-オクタノール/緩衝液]

    19.2 トリクロルメチアジド

    一般的名称

    トリクロルメチアジド
    (Trichlormethiazide)(JAN)[日局]

    化学名

    (3RS)-6-Chloro-3-dichloromethyl-3,4-dihydro-2H-1,2,4-benzothiadiazine-7-sulfonamide 1,1-dioxide

    分子式

    C8H8Cl3N3O4S2

    分子量

    380.66

    性状

    白色の粉末である。
    N,N-ジメチルホルムアミド又はアセトンに溶けやすく、アセトニトリル又はエタノール(95)に溶けにくく、水にほとんど溶けない。
    アセトン溶液(1→50)は旋光性を示さない。

    化学構造式

    融点

    約270℃(分解)

    分配係数

    3.63[pH6.5、1-オクタノール/緩衝液]

    22. 包装

    • 〈イルトラ配合錠LD〉

      100錠[10錠(PTP)×10]

    • 〈イルトラ配合錠HD〉

      100錠[10錠(PTP)×10]

    23. 主要文献

    1) 阿部真也ほか: 周産期医学. 2017; 47: 1353-1355〔202300088〕

    2) 齊藤大祐ほか: 鹿児島産科婦人科学会雑誌. 2021; 29: 49-54〔202300089〕

    3) 社内資料: 高血圧症患者における薬物動態試験(2013/6/28承認、イルトラ配合錠申請資料概要2.7.6.4)〔201300378〕

    4) 社内資料: 食事による薬物動態への影響(2013/6/28承認、イルトラ配合錠申請資料概要2.7.6.1)〔201300381〕

    5) 社内資料: イルベサルタンのヒト肝ミクロソームを用いた酸化代謝におけるCYP2C9の関与(2008/4/16承認、イルベタン錠申請資料概要2.6.5.10)〔200800829〕

    6) 社内資料: イルベサルタンのグルクロン酸抱合の種差(2008/4/16承認、イルベタン錠申請資料概要2.6.5.10)〔200800830〕

    7) 社内資料: トリクロルメチアジドのヒトin vitro代謝及びヒトCYP阻害の検討(2013/6/28承認、イルトラ配合錠申請資料概要2.6.4.5,2.6.4.7)〔201300368〕

    8) 社内資料: イルベサルタンのバイオアベイラビリティ試験(2008/4/16承認、イルベタン錠申請資料概要2.7.6.1)〔200800832〕

    9) 社内資料: イルベサルタンの腎機能障害患者における薬物動態試験(2008/4/16承認、イルベタン錠申請資料概要2.7.6.3)〔200800826〕

    10) 社内資料: イルベサルタンの肝硬変患者における薬物動態試験(2008/4/16承認、イルベタン錠申請資料概要2.7.6.3)〔200800827〕

    11) 社内資料: イルベサルタンとトリクロルメチアジドの薬物間相互作用(2013/6/28承認、イルトラ配合錠申請資料概要2.7.6.3)〔201300380〕

    12) 社内資料: イルベサルタンのヒト肝ミクロソームを用いたCYP阻害の検討(2008/4/16承認、イルベタン錠申請資料概要2.6.5.12)〔200800831〕

    13) 社内資料: イルベサルタン効果不十分例対象試験(2013/6/28承認、イルトラ配合錠申請資料概要2.7.6.5)〔201300382〕

    14) 荻原俊男ほか: 血圧. 2013; 20: 598-611〔201300370〕

    15) 荻原俊男ほか: 血圧. 2013; 20: 788-802〔201300371〕

    16) 社内資料: イルベサルタンのウサギ摘出大動脈における作用(2008/4/16承認、イルベタン錠申請資料概要2.6.2.2)〔200800840〕

    17) 社内資料: イルベサルタンのAⅡ誘発昇圧反応に対する作用(2008/4/16承認、イルベタン錠申請資料概要2.6.2.2)〔200800841〕

    18) 社内資料: イルベサルタンのAⅡ受容体に対する拮抗様式の検討(2008/4/16承認、イルベタン錠申請資料概要2.6.2.2)〔200800842〕

    19) 社内資料: イルベサルタンのAⅡ受容体サブタイプに対する選択性(2008/4/16承認、イルベタン錠申請資料概要2.6.2.2)〔200800843〕

    20) 社内資料: イルベサルタンの各種受容体及びイオン輸送系に対する作用(2008/4/16承認、イルベタン錠申請資料概要2.6.2.3)〔200800844〕

    21) 社内資料: イルベサルタンの各種酵素に対する作用(2008/4/16承認、イルベタン錠申請資料概要2.6.2.3)〔200800845〕

    22) Suki, W. N. et al. : The Kidney Second Ed. Vol.3. New York: Raven Press; 1992. p3629-3670〔199202412〕

    23) Brest, A. N. et al . : JAMA. 1970; 211: 480-484〔197000143〕

    24) 荻野耕一: 最新医学. 1976; 31: 509-515〔197600136〕

    25) 社内資料: SHRにおける降圧作用及び利尿作用(2013/6/28承認、イルトラ配合錠申請資料概要2.6.2.2)〔201300365〕

    24. 文献請求先及び問い合わせ先

    塩野義製薬株式会社 医薬情報センター

    〒541-0045大阪市中央区道修町3丁目1番8号

    電話0120-956-734

    https://med.shionogi.co.jp/

    26. 製造販売業者等

    26.1 製造販売元

    シオノギファーマ株式会社

    大阪府摂津市三島2丁目5番1号

    26.2 販売元

    塩野義製薬株式会社

    大阪市中央区道修町3丁目1番8号

    26.3 提携

    SANOFI

    〒100-0013 東京都千代田区霞が関3-3-2 新霞が関ビル

    画面を閉じる

    Copyright © Pharmaceuticals and Medical Devices Agency, All Rights reserved.