医療用医薬品 詳細表示

メジコン配合シロップ

処方せん医薬品以外の医薬品

添付文書番号
企業コード
作成又は改訂年月
日本標準商品分類番号
薬効分類名
承認等
一般的名称
2.禁忌(次の患者には投与しないこと)
3.組成・性状
3.1組成
3.2製剤の性状
4.効能・効果
6.用法・用量
8.重要な基本的注意
9.特定の背景を有する患者に関する注意
9.5妊婦
9.6授乳婦
9.8高齢者
10.相互作用
10.2併用注意(併用に注意すること)
11.副作用
11.1重大な副作用
11.2その他の副作用
13.過量投与
16.薬物動態
16.1血中濃度
16.4代謝
16.5排泄
17.臨床成績
17.1有効性及び安全性に関する試験
18.薬効薬理
18.1作用機序
19.有効成分に関する理化学的知見
20.取扱い上の注意
22.包装
23.主要文献
24.文献請求先及び問い合わせ先
26.製造販売業者等

メジコン配合シロップ

添付文書番号

2249106Q1066_2_05

企業コード

343018

作成又は改訂年月

2022年10月改訂(第1版)

日本標準商品分類番号

872249

薬効分類名

鎮咳去痰剤

承認等

メジコン配合シロップ

販売名コード

YJコード

2249106Q1066

販売名英語表記

MEDICON Combination Syrup

販売名ひらがな

めじこんはいごうしろっぷ

承認番号等

承認番号

22100AMX00720000

販売開始年月

1956年10月

貯法・有効期間

貯法

室温保存

有効期間

5年

一般的名称

デキストロメトルファン臭化水素酸塩水和物・クレゾールスルホン酸カリウム

2. 禁忌(次の患者には投与しないこと)

本剤の成分に対し過敏症の既往歴のある患者

3. 組成・性状

3.1 組成

メジコン配合シロップ

1mL中

有効成分デキストロメトルファン臭化水素酸塩水和物   2.5mg
クレゾールスルホン酸カリウム   15mg
添加剤エタノール、白糖、カラメル、安息香酸、水酸化ナトリウム、チェリーエッセンス(安息香酸ベンジル、エチルバニリン、グリセリン、バニリン、香料)  

3.2 製剤の性状

メジコン配合シロップ

pH3.3~4.5
性状・剤形淡黄褐色澄明の粘稠な液体である。(シロップ剤)

4. 効能・効果

下記疾患に伴う咳嗽及び喀痰喀出困難

急性気管支炎、慢性気管支炎、感冒・上気道炎、肺結核、百日咳

6. 用法・用量

通常、成人には1日18~24mL、8~14歳1日9~16mL、3ヵ月~7歳1日3~8mLを3~4回に分割経口投与する。
なお、年齢、症状により適宜増減する。

8. 重要な基本的注意

眠気を催すことがあるので、本剤投与中の患者には自動車の運転等危険を伴う機械の操作に従事させないように注意すること。

9. 特定の背景を有する患者に関する注意

9.5 妊婦

妊婦又は妊娠している可能性のある女性には、治療上の有益性が危険性を上回ると判断される場合にのみ投与すること。

9.6 授乳婦

治療上の有益性及び母乳栄養の有益性を考慮し、授乳の継続又は中止を検討すること。

9.8 高齢者

減量するなど注意すること。一般に生理機能が低下している。

10. 相互作用

  • 本剤は、主に肝代謝酵素CYP2D6で代謝される。

10.2 併用注意(併用に注意すること)

薬剤名等臨床症状・措置方法機序・危険因子
  • 選択的MAO-B阻害剤
    • セレギリン塩酸塩
    • ラサギリンメシル酸塩
    • サフィナミドメシル酸塩

セロトニン症候群があらわれることがある。

本剤及びこれらの薬剤は脳内のセロトニン濃度を上昇させる作用を有するため、併用によりセロトニンの濃度が更に高くなるおそれがある。

  • 薬物代謝酵素(CYP2D6)を阻害する薬剤
    • キニジン
    • アミオダロン
    • テルビナフィン等

本剤の血中濃度が上昇することがある。

これらの薬剤の薬物代謝酵素(CYP2D6)阻害作用により、本剤の代謝が阻害されるため。

  • セロトニン作用薬
    • 選択的セロトニン再取り込み阻害剤(SSRI)等

セロトニン症候群等のセロトニン作用による症状があらわれることがある。

セロトニン作用が増強するおそれがある。

11. 副作用

次の副作用があらわれることがあるので、観察を十分に行い、異常が認められた場合には投与を中止するなど適切な処置を行うこと。

11.1 重大な副作用

  1. 11.1.1 呼吸抑制(頻度不明)
  2. 11.1.2 ショック、アナフィラキシー(いずれも頻度不明)

    呼吸困難、蕁麻疹、血管浮腫等の異常が認められた場合には投与を中止し、適切な処置を行うこと。

11.2 その他の副作用

0.1~5%未満

頻度不明

過敏症

発疹

精神神経系

眠気、頭痛、眩暈、不快、不眠

消化器

悪心・嘔吐、食欲不振、軟便、下痢

便秘、腹痛、口渇、おくび

13. 過量投与

  1. 13.1 症状

    嘔気、嘔吐、尿閉、運動失調、錯乱、興奮、神経過敏、幻覚、呼吸抑制、嗜眠等を起こすことがある。

  2. 13.2 処置

    ナロキソンの投与により改善したとの報告がある。

16. 薬物動態

16.1 血中濃度

咳嗽を伴う成人気管支炎患者8例にデキストロメトルファン臭化水素酸塩シロップ60mg1)を単回経口投与したときの薬物動態パラメータを表16-1に示す1)(外国人データ)。

表16-1 薬物動態パラメータ

投与量
(mg)

例数

Cmax※1
(ng/mL)

Tmax※2
(hr)

AUC0-∞※1
(ng・hr/mL)

T1/2※1
(hr)

60

8

386±107.2

2.0(1.0-2.0)

2169±702.6

3.3±0.63

※1:平均値±標準偏差

※2:中央値(範囲)

(測定法:GC/MS)

イヌにデキストロメトルファン臭化水素酸塩水和物15mg及びクレゾールスルホン酸カリウム90mgを経口投与したときのデキストロメトルファン及び4-クレゾールスルホン酸の薬物動態パラメータ2)を表16-2に示す。

表16-2 薬物動態パラメータ

例数

Cmax
(ng/mL)

Tmax
(hr)

AUC
(ng・hr/mL)

デキストロメトルファン

6

3.33

1.50

AUC0-7 12.796

4-クレゾールスルホン酸

6

6050

0.75

AUC0-3 8820

(平均値)

1) 本剤の承認された成人の用法用量は、1日18~24mL(デキストロメトルファン臭化水素酸塩水和物として45~60mg)を3~4回に分割経口投与である。
本剤はデキストロメトルファン臭化水素酸塩水和物とクレゾールスルホン酸カリウムの配合剤である。

16.4 代謝

デキストロメトルファンは肝臓で大部分が代謝され、O-脱メチル体(デキストルファン)、N-脱メチル体及びNO-脱メチル体となる。これらの代謝物はデキストロメトルファンと同等の鎮咳作用を示した3)(外国人データ)。
デキストロメトルファンの肝代謝に関するCYP分子種は、O-脱メチル化ではCYP2D6、N-脱メチル化ではCYP3A4である4)

16.5 排泄

ヒトに14C-標識デキストロメトルファンを経口投与したとき、投与後24時間以内の尿中及び糞中回収率は、総投与放射活性に対してそれぞれ42.71%、0.12%であった5)(外国人データ)。

17. 臨床成績

17.1 有効性及び安全性に関する試験

  1. 17.1.1 国内臨床試験

    再評価時の臨床試験の成績は以下のとおりであった6)

    表17-1 臨床成績

    疾患名

    有効例数/有効性評価対象例数

    有効率(%)

    急性気管支炎

    4/11

    36.4

    慢性気管支炎

    17/25

    68.0

    慢性細気管支炎

    0/1

    感冒

    31/48

    64.6

    52/85

    61.2

18. 薬効薬理

18.1 作用機序

  1. 18.1.1 デキストロメトルファンは延髄にある咳中枢に直接作用し、咳反射を抑制することにより鎮咳作用を示す7)
  2. 18.1.2 クレゾールスルホン酸カリウムはウサギを用いた試験によれば気道の分泌を促進し、粘稠な喀痰を液化して去痰作用を示す8)

19. 有効成分に関する理化学的知見

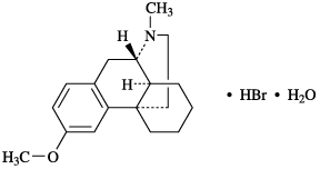
19.1 デキストロメトルファン臭化水素酸塩水和物

一般的名称

デキストロメトルファン臭化水素酸塩水和物
(Dextromethorphan Hydrobromide Hydrate)(JAN)[日局]

化学名

(9S,13S,14S)-3-Methoxy-17-methylmorphinan monohydrobromide monohydrate

分子式

C18H25NO・HBr・H2O

分子量

370.32

性状

白色の結晶又は結晶性の粉末である。
メタノールに極めて溶けやすく、エタノール(95)又は酢酸(100)に溶けやすく、水にやや溶けにくい。

化学構造式

融点

約126℃

分配係数

16.98[pH7、1-オクタノール/緩衝液]

19.2 クレゾールスルホン酸カリウム

一般的名称

クレゾールスルホン酸カリウム
(Potassium Cresolsulphonate)(JAN)[局外規]

分子式

C7H7KO4S

分子量

分子量:226.29

性状

白色の結晶性の粉末で、においはなく、味は苦い。
水又はギ酸に溶けやすく、エタノール(95)にやや溶けにくく、ジエチルエーテルにほとんど溶けない。

化学構造式

20. 取扱い上の注意

光により退色するので、外箱開封後は遮光して保存すること。

22. 包装

500mL[瓶]

24. 文献請求先及び問い合わせ先

塩野義製薬株式会社 医薬情報センター

〒541-0045大阪市中央区道修町3丁目1番8号

電話0120-956-734

FAX 06-6202-1541

https://med.shionogi.co.jp/

26. 製造販売業者等

26.1 製造販売元

シオノギファーマ株式会社

大阪府摂津市三島2丁目5番1号

26.2 販売元

塩野義製薬株式会社

大阪市中央区道修町3丁目1番8号

〒100-0013 東京都千代田区霞が関3-3-2 新霞が関ビル

画面を閉じる

Copyright © Pharmaceuticals and Medical Devices Agency, All Rights reserved.