医療用医薬品 詳細表示

リンデロン錠0.5mg/リンデロン散0.1%/リンデロンシロップ0.01%

処方せん医薬品

添付文書番号
企業コード
作成又は改訂年月
日本標準商品分類番号
薬効分類名
承認等
一般的名称
2.禁忌(次の患者には投与しないこと)
3.組成・性状
3.1組成
3.2製剤の性状
4.効能・効果
5.効能又は効果に関連する注意
6.用法・用量
8.重要な基本的注意
9.特定の背景を有する患者に関する注意
9.1合併症・既往歴等のある患者
9.2腎機能障害患者
9.3肝機能障害患者
9.5妊婦
9.6授乳婦
9.7小児等
9.8高齢者
10.相互作用
10.1併用禁忌(併用しないこと)
10.2併用注意(併用に注意すること)
11.副作用
11.1重大な副作用
11.2その他の副作用
14.適用上の注意
15.その他の注意
15.1臨床使用に基づく情報
16.薬物動態
16.1血中濃度
16.3分布
16.4代謝
16.5排泄
16.6特定の背景を有する患者
18.薬効薬理
18.1作用機序
18.2薬理作用
19.有効成分に関する理化学的知見
20.取扱い上の注意
22.包装
23.主要文献
24.文献請求先及び問い合わせ先
26.製造販売業者等

リンデロン錠0.5mg/リンデロン散0.1%/リンデロンシロップ0.01%

添付文書番号

2454004B1040_2_08

企業コード

343018

作成又は改訂年月

**2026年3月改訂(第4版)
2024年1月改訂(第3版)

日本標準商品分類番号

872454

薬効分類名

合成副腎皮質ホルモン剤

承認等

リンデロン錠0.5mg

販売名コード

YJコード

2454004F2090

販売名英語表記

RINDERON Tablets 0.5mg

販売名ひらがな

りんでろんじょう0.5mg

承認番号等

承認番号

21900AMX00249000

販売開始年月

1962年4月

貯法・有効期間

貯法

室温保存

有効期間

5年

基準名

日本薬局方

ベタメタゾン錠

リンデロン散0.1%

販売名コード

YJコード

2454004B1040

販売名英語表記

RINDERON Powder 0.1%

販売名ひらがな

りんでろんさん0.1%

承認番号等

承認番号

21900AMX00248000

販売開始年月

1963年6月

貯法・有効期間

貯法

室温保存

有効期間

5年

リンデロンシロップ0.01%

販売名コード

YJコード

2454004Q1078

販売名英語表記

RINDERON Syrup 0.01%

販売名ひらがな

りんでろんしろっぷ0.01%

承認番号等

承認番号

21800AMX10819000

販売開始年月

1964年5月

貯法・有効期間

貯法

室温保存

有効期間

5年

一般的名称

ベタメタゾン

2. 禁忌(次の患者には投与しないこと)

  1. 2.1 本剤の成分に対し過敏症の既往歴のある患者
  2. 2.2 デスモプレシン酢酸塩水和物(男性における夜間多尿による夜間頻尿)を投与中の患者

3. 組成・性状

3.1 組成

リンデロン錠0.5mg

1錠中

有効成分ベタメタゾン   0.5mg
添加剤乳糖水和物、トウモロコシデンプン、バレイショデンプン、ステアリン酸マグネシウム、タルク  

リンデロン散0.1%

1g中

有効成分ベタメタゾン   1mg
添加剤乳糖水和物、コムギデンプン、メチルセルロース  

リンデロンシロップ0.01%

1mL中

有効成分ベタメタゾン   0.1mg
添加剤プロピレングリコール、白糖、D-ソルビトール液、安息香酸ナトリウム、クエン酸水和物、塩化ナトリウム、エタノール、黄色5号  

3.2 製剤の性状

リンデロン錠0.5mg

外形表面
裏面
側面
大きさ直径約5.0mm
厚さ約2.3mm
質量約0.05g
識別コード
@ 347:0.5
性状・剤形白色の円形の素錠である。

リンデロン散0.1%

性状・剤形白色の粉末である。(散剤)

リンデロンシロップ0.01%

pH2.5~3.5
性状・剤形だいだい色のほとんど澄明の液である。(シロップ剤)

4. 効能・効果

  • ○ 内科・小児科領域

    (1)内分泌疾患:慢性副腎皮質機能不全(原発性、続発性、下垂体性、医原性)、急性副腎皮質機能不全(副腎クリーゼ)、副腎性器症候群、亜急性甲状腺炎、甲状腺中毒症〔甲状腺(中毒性)クリーゼ〕、甲状腺疾患に伴う悪性眼球突出症、ACTH単独欠損症、下垂体抑制試験

    (2)リウマチ疾患:関節リウマチ、若年性関節リウマチ(スチル病を含む)、リウマチ熱(リウマチ性心炎を含む)、リウマチ性多発筋痛

    (3)膠原病:エリテマトーデス(全身性及び慢性円板状)、全身性血管炎(高安動脈炎、結節性多発動脈炎、顕微鏡的多発血管炎、多発血管炎性肉芽腫症を含む)、多発性筋炎(皮膚筋炎)、強皮症

    (4)腎疾患:ネフローゼ及びネフローゼ症候群

    (5)心疾患:うっ血性心不全

    (6)アレルギー性疾患:気管支喘息、喘息性気管支炎(小児喘息性気管支炎を含む)、薬剤その他の化学物質によるアレルギー・中毒(薬疹、中毒疹を含む)、血清病

    (7)重症感染症:重症感染症(化学療法と併用する)

    (8)血液疾患:溶血性貧血(免疫性又は免疫性機序の疑われるもの)、白血病(急性白血病、慢性骨髄性白血病の急性転化、慢性リンパ性白血病)(皮膚白血病を含む)、顆粒球減少症(本態性、続発性)、紫斑病(血小板減少性及び血小板非減少性)、再生不良性貧血、凝固因子の障害による出血性素因

    (9)消化器疾患:限局性腸炎、潰瘍性大腸炎

    (10)重症消耗性疾患:重症消耗性疾患の全身状態の改善(癌末期、スプルーを含む)

    (11)肝疾患:劇症肝炎(臨床的に重症とみなされるものを含む)、胆汁うっ滞型急性肝炎、慢性肝炎(活動型、急性再燃型、胆汁うっ滞型)(但し、一般的治療に反応せず肝機能の著しい異常が持続する難治性のものに限る)、肝硬変(活動型、難治性腹水を伴うもの、胆汁うっ滞を伴うもの)

    (12)肺疾患:サルコイドーシス(但し、両側肺門リンパ節腫脹のみの場合を除く)、びまん性間質性肺炎(肺線維症)(放射線肺臓炎を含む)

    (13)結核性疾患(抗結核剤と併用する):肺結核(粟粒結核、重症結核に限る)、結核性髄膜炎、結核性胸膜炎、結核性腹膜炎、結核性心のう炎

    (14)神経疾患:脳脊髄炎(脳炎、脊髄炎を含む)(但し、一次性脳炎の場合は頭蓋内圧亢進症状がみられ、かつ他剤で効果が不十分なときに短期間用いること)、末梢神経炎(ギランバレー症候群を含む)、筋強直症、重症筋無力症、多発性硬化症(視束脊髄炎を含む)、小舞踏病、顔面神経麻痺、脊髄蜘網膜炎

    (15)悪性腫瘍:悪性リンパ腫(リンパ肉腫症、細網肉腫症、ホジキン病、皮膚細網症、菌状息肉症)及び類似疾患(近縁疾患)、好酸性肉芽腫、乳癌の再発転移

    (16)その他の内科的疾患:特発性低血糖症、原因不明の発熱

  • ○ 外科領域

    副腎摘除、臓器・組織移植、侵襲後肺水腫、副腎皮質機能不全患者に対する外科的侵襲、蛇毒・昆虫毒(重症の虫さされを含む)

  • ○ 整形外科領域

    強直性脊椎炎(リウマチ性脊椎炎)

  • ○ 産婦人科領域

    卵管整形術後の癒着防止、副腎皮質機能障害による排卵障害

  • ○ 泌尿器科領域

    前立腺癌(他の療法が無効な場合)、陰茎硬結

  • ○ 皮膚科領域

    △印の付されている効能・効果に対しては、外用剤を用いても効果が不十分な場合あるいは十分な効果を期待し得ないと推定される場合にのみ用いること

    *△湿疹・皮膚炎群(急性湿疹、亜急性湿疹、慢性湿疹、接触皮膚炎、貨幣状湿疹、自家感作性皮膚炎、アトピー皮膚炎、乳・幼・小児湿疹、ビダール苔癬、その他の神経皮膚炎、脂漏性皮膚炎、進行性指掌角皮症、その他の手指の皮膚炎、陰部あるいは肛門湿疹、耳介及び外耳道の湿疹・皮膚炎、鼻前庭及び鼻翼周辺の湿疹・皮膚炎など)(但し、重症例以外は極力投与しないこと)、△痒疹群(小児ストロフルス、蕁麻疹様苔癬、固定蕁麻疹を含む)(但し、重症例に限る。また、固定蕁麻疹は局注が望ましい)、蕁麻疹(慢性例を除く)(重症例に限る)、△乾癬及び類症〔尋常性乾癬(重症例)、乾癬性関節炎、乾癬性紅皮症、膿疱性乾癬、稽留性肢端皮膚炎、疱疹状膿痂疹、ライター症候群〕、△類乾癬(重症例に限る)、△掌蹠膿疱症(重症例に限る)、△毛孔性紅色粃糠疹(重症例に限る)、△扁平苔癬(重症例に限る)、成年性浮腫性硬化症、紅斑症〔△多形滲出性紅斑(重症例に限る)、結節性紅斑〕、IgA血管炎(重症例に限る)、ウェーバークリスチャン病、粘膜皮膚眼症候群〔開口部びらん性外皮症、スチブンス・ジョンソン病、皮膚口内炎、フックス症候群、ベーチェット病(眼症状のない場合)、リップシュッツ急性陰門潰瘍〕、レイノー病、△円形脱毛症(悪性型に限る)、天疱瘡群(尋常性天疱瘡、落葉状天疱瘡、Senear-Usher症候群、増殖性天疱瘡)、デューリング疱疹状皮膚炎(類天疱瘡、妊娠性疱疹を含む)、先天性表皮水疱症、帯状疱疹(重症例に限る)、△紅皮症(ヘブラ紅色粃糠疹を含む)、顔面播種状粟粒性狼瘡(重症例に限る)、アレルギー性血管炎及びその類症(急性痘瘡様苔癬状粃糠疹を含む)、潰瘍性慢性膿皮症、新生児スクレレーマ

  • ○ 眼科領域

    内眼・視神経・眼窩・眼筋の炎症性疾患の対症療法(ブドウ膜炎、網脈絡膜炎、網膜血管炎、視神経炎、眼窩炎性偽腫瘍、眼窩漏斗尖端部症候群、眼筋麻痺)、外眼部及び前眼部の炎症性疾患の対症療法で点眼が不適当又は不十分な場合(眼瞼炎、結膜炎、角膜炎、強膜炎、虹彩毛様体炎)、眼科領域の術後炎症

  • ○ 耳鼻咽喉科領域

    急性・慢性中耳炎、滲出性中耳炎・耳管狭窄症、メニエル病及びメニエル症候群、急性感音性難聴、血管運動(神経)性鼻炎、アレルギー性鼻炎、花粉症(枯草熱)、副鼻腔炎・鼻茸、進行性壊疽性鼻炎、喉頭炎・喉頭浮腫、喉頭ポリープ・結節、食道の炎症(腐蝕性食道炎、直達鏡使用後)及び食道拡張術後、耳鼻咽喉科領域の手術後の後療法、難治性口内炎及び舌炎(局所療法で治癒しないもの)、嗅覚障害、急性・慢性(反復性)唾液腺炎

5. 効能又は効果に関連する注意

  • 〈下垂体抑制試験〉

    実施に先立ち褐色細胞腫又はパラガングリオーマの合併の有無を確認すること。合併がある場合には、褐色細胞腫又はパラガングリオーマの治療を優先すること。,

6. 用法・用量

  • 〈錠剤・散剤〉

    通常、成人にはベタメタゾンとして1日0.5~8mgを1~4回に分割経口投与する。
    なお、年齢、症状により適宜増減する。

  • 〈シロップ剤〉

    通常、成人にはベタメタゾンとして1日0.5~8mgを1~4回に分割経口投与する。小児には、1日0.15~4mgを1~4回に分割経口投与する。
    なお、年齢、症状により適宜増減する。

8. 重要な基本的注意

  • 〈効能共通〉
    1. 8.1 本剤の投与により、誘発感染症、続発性副腎皮質機能不全、消化管潰瘍、糖尿病、精神障害等の重篤な副作用があらわれることがあるので、本剤の投与にあたっては次の注意が必要である。
      1. 8.1.1 投与に際しては、特に適応、症状を考慮し、他の治療法によって十分に治療効果が期待できる場合には、本剤を投与しないこと。また、局所的投与で十分な場合には、局所療法を行うこと。
      2. 8.1.2 投与中は副作用の発現に対し、常に十分な配慮と観察を行い、また、患者をストレスから避けるようにし、事故、手術等の場合には増量するなど適切な処置を行うこと。
      3. 8.1.3 特に、本剤投与中に水痘又は麻疹に感染すると、致命的な経過をたどることがあるので、次の注意が必要である。
        • 本剤投与前に水痘又は麻疹の既往や予防接種の有無を確認すること。
        • 水痘又は麻疹の既往のない患者においては、水痘又は麻疹への感染を極力防ぐよう常に十分な配慮と観察を行うこと。感染が疑われる場合や感染した場合には、直ちに受診するよう指導し、適切な処置を講ずること。
        • 水痘又は麻疹の既往や予防接種を受けたことがある患者であっても、本剤投与中は、水痘又は麻疹を発症する可能性があるので留意すること。
      4. 8.1.4 連用後、投与を急に中止すると、ときに発熱、頭痛、食欲不振、脱力感、筋肉痛、関節痛、ショック等の離脱症状があらわれることがあるので、投与を中止する場合には、徐々に減量するなど慎重に行うこと。離脱症状があらわれた場合には、直ちに再投与又は増量すること。
    2. 8.2 本剤の長期あるいは大量投与中の患者、又は投与中止後6ヵ月以内の患者では、免疫機能が低下していることがあり、生ワクチンの接種により、ワクチン由来の感染を増強又は持続させるおそれがあるので、これらの患者には生ワクチンを接種しないこと。
    3. 8.3 連用により眼圧亢進、緑内障、後嚢白内障を来すことがあるので、定期的に検査をすることが望ましい。,
    4. 8.4 褐色細胞腫の合併を認識していなかった状態でベタメタゾン製剤(注射剤)を投与した際に褐色細胞腫クリーゼを発現したとの報告がある。本剤投与後に著明な血圧上昇、頭痛、動悸等が認められた場合は、褐色細胞腫クリーゼの発現を考慮した上で適切な処置を行うこと。,
  • 〈強皮症〉
    1. 8.5 強皮症患者における強皮症腎クリーゼの発現率は、副腎皮質ホルモン剤投与患者で高いとの報告がある。本剤を強皮症患者に投与する場合は、血圧及び腎機能を慎重にモニターし、強皮症腎クリーゼの徴候や症状の出現に注意すること。

9. 特定の背景を有する患者に関する注意

9.1 合併症・既往歴等のある患者

  1. 9.1.1 以下の患者には治療上やむを得ないと判断される場合を除き投与しないこと。
    1. (1) 有効な抗菌剤の存在しない感染症、全身の真菌症の患者

      免疫機能抑制作用により、症状が増悪することがある。

    2. (2) 消化性潰瘍の患者

      肉芽組織増殖抑制作用により、潰瘍治癒(組織修復)が障害されることがある。

    3. (3) 精神病の患者

      大脳辺縁系の神経伝達物質に影響を与え、症状が増悪することがある。

    4. (4) 結核性疾患の患者

      免疫機能抑制作用により、症状が増悪することがある。

    5. (5) 単純疱疹性角膜炎の患者

      免疫機能抑制作用により、症状が増悪することがある。

    6. (6) 後嚢白内障の患者

      症状が増悪することがある。,

    7. (7) 緑内障の患者

      眼圧の亢進により、緑内障が増悪することがある。,

    8. (8) 高血圧症の患者

      電解質代謝作用により、高血圧症が増悪することがある。

    9. (9) 電解質異常のある患者

      電解質代謝作用により、電解質異常が増悪することがある。

    10. (10) 血栓症の患者

      血液凝固促進作用により、症状が増悪することがある。

    11. (11) 最近行った内臓の手術創のある患者

      創傷治癒(組織修復)が障害されることがある。

    12. (12) 急性心筋梗塞を起こした患者

      心破裂を起こしたとの報告がある。

  2. 9.1.2 感染症の患者(有効な抗菌剤の存在しない感染症、全身の真菌症を除く)

    免疫機能抑制作用により、感染症が増悪するおそれがある。

  3. 9.1.3 糖尿病の患者

    糖新生作用等により血糖が上昇し、糖尿病が増悪するおそれがある。

  4. 9.1.4 骨粗鬆症の患者

    蛋白異化作用等により、骨粗鬆症が増悪するおそれがある。

  5. 9.1.5 甲状腺機能低下のある患者

    血中半減期が延長するとの報告があり、副作用があらわれるおそれがある。

  6. 9.1.6 脂肪肝の患者

    脂肪分解・再分布作用により、肝臓への脂肪沈着が増大し、脂肪肝が増悪するおそれがある。

  7. 9.1.7 脂肪塞栓症の患者

    大量投与により脂肪塞栓症が起こるとの報告があり、症状が増悪するおそれがある。

  8. 9.1.8 重症筋無力症の患者

    使用当初、一時症状が増悪するおそれがある。

  9. 9.1.9 B型肝炎ウイルスキャリアの患者又は既往感染者

    B型肝炎ウイルスの増殖による肝炎があらわれることがある。本剤の投与期間中及び投与終了後は継続して肝機能検査値や肝炎ウイルスマーカーのモニタリングを行うなど、B型肝炎ウイルス増殖の徴候や症状の発現に注意すること。異常が認められた場合には、本剤の減量を考慮し、抗ウイルス剤を投与するなど適切な処置を行うこと。なお、投与開始前にHBs抗原陰性の患者において、B型肝炎ウイルスによる肝炎を発症した症例が報告されている。

  10. 9.1.10 褐色細胞腫又はパラガングリオーマのある患者及びその疑いのある患者

    褐色細胞腫クリーゼがあらわれることがある。,

9.2 腎機能障害患者

  1. 9.2.1 腎不全の患者

    薬物の排泄が遅延するため、体内蓄積による副作用があらわれるおそれがある。

9.3 肝機能障害患者

  1. 9.3.1 慢性肝疾患の患者

    用量、投与回数等を調節すること。肝硬変の患者では代謝酵素活性の低下等により、副作用があらわれやすい。

9.5 妊婦

妊婦又は妊娠している可能性のある女性には、治療上の有益性が危険性を上回ると判断される場合にのみ投与すること。動物試験(マウス、ラット)で催奇形作用が報告1)されており、また、新生児に副腎不全を起こすことがある。

9.6 授乳婦

治療上の有益性及び母乳栄養の有益性を考慮し、授乳の継続又は中止を検討すること。母乳中へ移行することがある。

9.7 小児等

  1. 9.7.1 観察を十分に行うこと。発育抑制があらわれることがある。
  2. 9.7.2 長期投与した場合、頭蓋内圧亢進症状があらわれることがある。

9.8 高齢者

長期投与した場合、感染症の誘発、糖尿病、骨粗鬆症、高血圧症、後嚢白内障、緑内障等の副作用があらわれやすい。

10. 相互作用

  • 本剤は、主にCYP3A4で代謝される。

10.1 併用禁忌(併用しないこと)

薬剤名等臨床症状・措置方法機序・危険因子
  • デスモプレシン酢酸塩水和物
    • ミニリンメルト(男性における夜間多尿による夜間頻尿)

低ナトリウム血症が発現するおそれがある。

機序は不明である。

10.2 併用注意(併用に注意すること)

薬剤名等臨床症状・措置方法機序・危険因子
  • バルビツール酸誘導体
    • フェノバルビタール
  • フェニトイン
  • リファンピシン

本剤の作用が減弱することが報告されているので、併用する場合には用量に注意すること。

バルビツール酸誘導体、フェニトイン、リファンピシンはCYPを誘導し、本剤の代謝が促進される。

  • サリチル酸誘導体
    • アスピリン、アスピリンダイアルミネート、サザピリン等

併用時に本剤を減量すると、サリチル酸中毒を起こすことが報告されているので、併用する場合には用量に注意すること。

本剤はサリチル酸誘導体の腎排泄と肝代謝を促進し、血清中のサリチル酸誘導体の濃度が低下する。

  • 抗凝血剤
    • ワルファリンカリウム

抗凝血剤の作用を減弱させることが報告されているので、併用する場合には用量に注意すること。

本剤は血液凝固促進作用がある。

  • 糖尿病用薬
    • ビグアナイド系薬剤
      スルホニルウレア剤
      速効型インスリン分泌促進剤
      α-グルコシダーゼ阻害剤
      チアゾリジン系薬剤
      DPP-4阻害剤
      GLP-1受容体作動薬
      SGLT2阻害剤
  • インスリン製剤等

糖尿病用薬、インスリン製剤等の効果を減弱させることが報告されているので、併用する場合には用量に注意すること。

本剤は肝臓での糖新生を促進し、末梢組織での糖利用を抑制する。

  • 利尿剤(カリウム保持性利尿剤を除く)
    • フロセミド、アセタゾラミド、トリクロルメチアジド等

低カリウム血症があらわれることがあるので、併用する場合には用量に注意すること。

本剤は尿細管でのカリウム排泄促進作用がある。

  • シクロスポリン

他の副腎皮質ホルモン剤の大量投与で、シクロスポリンの血中濃度が上昇するとの報告があるので、併用する場合には用量に注意すること。

副腎皮質ホルモン剤はシクロスポリンの代謝を抑制する。

  • エリスロマイシン

本剤の作用が増強されるとの報告があるので、併用する場合には用量に注意すること。

本剤の代謝が抑制される。

  • 非脱分極性筋弛緩剤
    • パンクロニウム臭化物、ベクロニウム臭化物

筋弛緩作用が減弱又は増強するとの報告があるので、併用する場合には用量に注意すること。

機序は不明である。

  • リトドリン塩酸塩

併用により肺水腫があらわれることがある。

体内の水分貯留傾向が促進される。

  • キノロン系抗菌剤
    • レボフロキサシン水和物、メシル酸ガレノキサシン水和物等

腱障害のリスクを増加させるとの報告がある。これらの薬剤との併用は、治療上の有益性が危険性を上回る場合のみとすること。

機序は不明である。

11. 副作用

次の副作用があらわれることがあるので、観察を十分に行い、異常が認められた場合には適切な処置を行うこと。

11.1 重大な副作用

  1. 11.1.1 誘発感染症、感染症の増悪(頻度不明)

    **B型肝炎ウイルスの増殖による肝炎があらわれることがある。また、進行性多巣性白質脳症(PML)が認められることがあるので、本剤の投与中及び投与終了後は患者の状態を十分に観察し、意識障害、認知機能障害、麻痺症状(片麻痺、四肢麻痺)、構音障害、失語等の症状があらわれた場合には、MRIによる画像診断及び脳脊髄液検査を行うとともに、適切な処置を行うこと。,,,,

  2. 11.1.2 続発性副腎皮質機能不全、糖尿病(頻度不明)

  3. 11.1.3 消化管潰瘍、消化管穿孔(頻度不明)

  4. 11.1.4 膵炎(頻度不明)
  5. 11.1.5 精神変調、うつ状態、痙攣(頻度不明)

  6. 11.1.6 骨粗鬆症、大腿骨及び上腕骨等の骨頭無菌性壊死、ミオパチー(頻度不明)

  7. 11.1.7 緑内障、後嚢白内障(頻度不明)

    連用により眼圧亢進、緑内障、後嚢白内障を来すことがある。,

  8. 11.1.8 血栓症(頻度不明)

11.2 その他の副作用

頻度不明

過敏症

発疹

内分泌系

月経異常、クッシング症候群様症状

消化器

下痢、悪心・嘔吐、胃痛、胸やけ、腹部膨満感、口渇、食欲不振、食欲亢進

精神神経系

多幸症、不眠、頭痛、めまい

筋・骨格

筋肉痛、関節痛

脂質・蛋白質代謝

満月様顔貌、野牛肩、窒素負平衡、脂肪肝

体液・電解質

浮腫、血圧上昇、低カリウム性アルカローシス

中心性漿液性網脈絡膜症等による網膜障害、眼球突出

血液

白血球増多

皮膚

ざ瘡、多毛、脱毛、色素沈着、皮下溢血、紫斑、線条、そう痒、発汗異常、顔面紅斑、脂肪織炎

その他

発熱、疲労感、ステロイド腎症、体重増加、精子数及びその運動性の増減、創傷治癒障害、皮膚・結合組織の菲薄化・脆弱化、しゃっくり

14. 適用上の注意

14.1 薬剤交付時の注意

PTP包装の薬剤はPTPシートから取り出して服用するよう指導すること。PTPシートの誤飲により、硬い鋭角部が食道粘膜へ刺入し、更には穿孔をおこして縦隔洞炎等の重篤な合併症を併発することがある。

15. その他の注意

15.1 臨床使用に基づく情報

  1. 15.1.1 副腎皮質ホルモン剤を投与中の患者にワクチン(種痘等)を接種して神経障害、抗体反応の欠如が起きたとの報告がある。
  2. 15.1.2 プレドニゾロン経口製剤の投与中に、腸管嚢胞様気腫症、縦隔気腫が発現したとの報告がある。

16. 薬物動態

16.1 血中濃度

健康成人10例にベタメタゾン1.0mg又は1.5mgを単回経口投与したとき、血清中ベタメタゾン濃度は2時間後に最高に達し、半減期は180~220分で漸減し、24時間後には血清中から消失した。最高血清中濃度(平均値±標準誤差)は1.0mg投与時345±40ng/dL、1.5mg投与時650±211ng/dLであった2)(測定法:RIA)。

16.3 分布

血漿蛋白結合率:64±6%(平均値±標準偏差)(外国人データ)

16.4 代謝

  1. 16.4.1 代謝物

    健康者及び治療量のステロイドを投与中の喘息患者等に3H-標識ベタメタゾンを経口投与したとき、尿中に主として未変化体、11-デヒドロ体、6β-水酸化体、20-ジヒドロ体、6β-水酸化-20-ジヒドロ体及び他に少量の11-デヒドロ-20-ジヒドロ体、6β-水酸化-17-オキソ体の存在が確認された。尿中に排泄された総放射活性の約70%がグルクロン酸抱合体、15~30%が非抱合体であった。Δ4-3-ケト体は還元されない3)(外国人データ)。

  2. 16.4.2 代謝酵素

    ベタメタゾンの一部はC-6位が代謝され6β-水酸化体になる。その主な代謝酵素はCYP3A4である4),5)

16.5 排泄

健康者及び治療量のステロイドを投与中の喘息患者等に3H-標識ベタメタゾンを経口投与したとき、48時間で総放射活性の約70%が尿中に排泄された3)(外国人データ)。

16.6 特定の背景を有する患者

  1. 16.6.1 慢性肝疾患患者

    慢性活動性肝炎患者3例及び肝硬変患者5例にベタメタゾン1.0mg又は1.5mgを単回経口投与したとき、血清中ベタメタゾン濃度は極めて緩徐に減少し、24時間後にもなお血中に残存していた2)(測定法:RIA)。

18. 薬効薬理

18.1 作用機序

ステロイドは細胞質に存在する熱ショック蛋白質、抑制蛋白質と複合体を形成したステロイド受容体に結合後核内に移行し、ステロイド反応性の遺伝子を活性化させ、その薬理作用を発揮すると考えられている。また、血管内皮細胞やリンパ球等の細胞膜の障害を抑制するような膜の安定性に関与する作用や、フォスフォリパーゼA2と呼ばれる細胞膜リン脂質からロイコトリエンやプロスタグランジンなど種々の炎症惹起物質を誘導する重要な酵素の機能を抑える作用も知られている。
炎症制御機序としては、単量体のステロイドとその受容体が複合体を形成することで、NFκBやAP-1と呼ばれるサイトカイン産生の誘導や細胞接着分子の発現等を調節している細胞内転写因子の機能を抑制し、2量体の受容体と結合した場合は、リポコルチン等の誘導を介すると考えられている6)。一方、免疫抑制機序は多彩である。リンパ組織からTリンパ球の遊出を抑制すると共に、その増殖や活性化に係るIL-2の産生を抑制し、更にアポトーシスを促進すること等により血中Tリンパ球数を低下させ細胞性免疫を障害する。また、好中球の遊走能及び貪食能を障害すると共に、マクロファージの貪食・殺菌能障害、TNF-α、IL-1などの炎症性サイトカイン産生抑制及びリンパ球への抗原提示能障害により液性及び細胞性免疫に影響する。更に、血中Bリンパ球数を低下させ、長期間使用時には免疫グロブリン産生量を低下させる。これら以外にも、好酸球や好塩基球、肥満細胞等にも影響する7)

18.2 薬理作用

ベタメタゾンは合成糖質副腎皮質ホルモンで、抗炎症作用、抗アレルギー作用、免疫抑制作用のほか、広範囲にわたる代謝作用を有する。

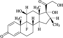
19. 有効成分に関する理化学的知見

一般的名称

ベタメタゾン
(Betamethasone)(JAN)[日局]

化学名

9-Fluoro-11β,17,21-trihydroxy-16β-methylpregna-1,4-diene-3,20-dione

分子式

C22H29FO5

分子量

392.46

性状

白色~微黄白色の結晶性の粉末である。
メタノール、エタノール(95)又はアセトンにやや溶けにくく、水にほとんど溶けない。
結晶多形が認められる。

化学構造式

融点

約240℃(分解)

20. 取扱い上の注意

  • 〈シロップ〉

    遮光して保存すること。

22. 包装

  • 〈リンデロン錠0.5mg〉

    100錠[10錠(PTP)×10]

  • 〈リンデロン散0.1%〉

    100g[瓶]

  • 〈リンデロンシロップ0.01%〉

    500mL[瓶]

24. 文献請求先及び問い合わせ先

塩野義製薬株式会社 医薬情報センター

〒541-0045大阪市中央区道修町3丁目1番8号

電話0120-956-734

https://med.shionogi.co.jp/

26. 製造販売業者等

26.1 製造販売元

シオノギファーマ株式会社

大阪府摂津市三島2丁目5番1号

26.2 販売元

塩野義製薬株式会社

大阪市中央区道修町3丁目1番8号

〒100-0013 東京都千代田区霞が関3-3-2 新霞が関ビル

画面を閉じる

Copyright © Pharmaceuticals and Medical Devices Agency, All Rights reserved.