医療用医薬品 詳細表示

リンデロン注20mg(0.4%)

処方せん医薬品

添付文書番号
企業コード
作成又は改訂年月
日本標準商品分類番号
薬効分類名
承認等
一般的名称
2.禁忌(次の患者には投与しないこと)
3.組成・性状
3.1組成
3.2製剤の性状
4.効能・効果
6.用法・用量
7.用法・用量に関連する注意
8.重要な基本的注意
9.特定の背景を有する患者に関する注意
9.1合併症・既往歴等のある患者
9.2腎機能障害患者
9.3肝機能障害患者
9.5妊婦
9.6授乳婦
9.7小児等
9.8高齢者
10.相互作用
10.1併用禁忌(併用しないこと)
10.2併用注意(併用に注意すること)
11.副作用
11.1重大な副作用
11.2その他の副作用
14.適用上の注意
15.その他の注意
15.1臨床使用に基づく情報
16.薬物動態
16.1血中濃度
16.3分布
16.4代謝
16.5排泄
18.薬効薬理
18.1作用機序
18.2薬理作用
19.有効成分に関する理化学的知見
20.取扱い上の注意
22.包装
23.主要文献
24.文献請求先及び問い合わせ先
26.製造販売業者等

リンデロン注20mg(0.4%)

添付文書番号

2454404A3067_2_06

企業コード

343018

作成又は改訂年月

**2024年1月改訂(第3版)
2022年5月改訂(第2版)

日本標準商品分類番号

872454

薬効分類名

合成副腎皮質ホルモン剤

承認等

リンデロン注20mg(0.4%)

販売名コード

YJコード

2454404A3067

販売名英語表記

RINDERON Injection 20mg(0.4%)

販売名ひらがな

りんでろんちゅう20mg(0.4%)

承認番号等

承認番号

21700AMZ00534000

販売開始年月

1974年8月

貯法・有効期間

貯法

2~8℃で保存

有効期間

3年

一般的名称

ベタメタゾンリン酸エステルナトリウム

2. 禁忌(次の患者には投与しないこと)

  1. 2.1 本剤の成分に対し過敏症の既往歴のある患者
  2. 2.2 感染症のある関節腔内、滑液嚢内、腱鞘内又は腱周囲[免疫機能抑制作用により、感染症が増悪することがある。]
  3. 2.3 動揺関節の関節腔内[関節症状が増悪することがある。]
  4. 2.4 デスモプレシン酢酸塩水和物(男性における夜間多尿による夜間頻尿)を投与中の患者

3. 組成・性状

3.1 組成

リンデロン注20mg(0.4%)

1管(5mL)中

有効成分ベタメタゾンリン酸エステルナトリウム   26.5mg
(ベタメタゾンとして   20mgに相当 )
添加剤D-ソルビトール   150mg
乾燥亜硫酸ナトリウム   5mg
リン酸水素ナトリウム水和物、リン酸二水素ナトリウム水和物、注射用水  

3.2 製剤の性状

リンデロン注20mg(0.4%)

pH7.0~8.0
浸透圧比約1
〔生理食塩液に対する比〕
性状・剤形無色澄明の液である。(注射剤)

4. 効能・効果

  • ☆印の付されている投与法は以下のような条件でのみ使用できる。(その事由がなくなった場合は、速やかに他の投与法に切り替えること。)
  • (1)静脈内注射及び点滴静脈内注射:経口投与不能時、緊急時及び筋肉内注射不適時
  • (2)筋肉内注射:経口投与不能時

    効能・効果

    静脈内
    注射

    点滴
    静脈内
    注射

    筋肉内
    注射

    その他の用法

    1. 内科・小児科領域

    (1) 内分泌疾患

    慢性副腎皮質機能不全(原発性、続発性、下垂体性、医原性)

    急性副腎皮質機能不全(副腎クリーゼ)

    副腎性器症候群、亜急性甲状腺炎、甲状腺疾患に伴う悪性眼球突出症

    甲状腺中毒症〔甲状腺(中毒性)クリーゼ〕

    (2) リウマチ疾患

    関節リウマチ、若年性関節リウマチ(スチル病を含む)

    関節腔内注射

    リウマチ熱(リウマチ性心炎を含む)

    リウマチ性多発筋痛

    (3) 膠原病

    エリテマトーデス(全身性及び慢性円板状)、全身性血管炎(高安動脈炎、結節性多発動脈炎、顕微鏡的多発血管炎、多発血管炎性肉芽腫症を含む)、多発性筋炎(皮膚筋炎)

    強皮症

    (4) 腎疾患

    ネフローゼ及びネフローゼ症候群

    (5) 心疾患

    うっ血性心不全

    (6) アレルギー性疾患

    気管支喘息(但し、筋肉内注射は他の投与法では不適当な場合に限る)

    ネブライザー

    喘息性気管支炎(小児喘息性気管支炎を含む)

    ネブライザー

    喘息発作重積状態、アナフィラキシーショック

    薬剤その他の化学物質によるアレルギー・中毒(薬疹、中毒疹を含む)

    血清病

    (7) 重症感染症

    重症感染症(化学療法と併用する)

    (8) 血液疾患

    溶血性貧血(免疫性又は免疫性機序の疑われるもの)、白血病(急性白血病、慢性骨髄性白血病の急性転化、慢性リンパ性白血病)(皮膚白血病を含む)、顆粒球減少症(本態性、続発性)、紫斑病(血小板減少性及び血小板非減少性)、再生不良性貧血、凝固因子の障害による出血性素因

    髄膜白血病

    脊髄腔内注入

    (9) 消化器疾患

    限局性腸炎、潰瘍性大腸炎

    注腸

    (10) 重症消耗性疾患

    重症消耗性疾患の全身状態の改善(癌末期、スプルーを含む)

    (11) 肝疾患

    劇症肝炎(臨床的に重症とみなされるものを含む)

    胆汁うっ滞型急性肝炎

    肝硬変(活動型、難治性腹水を伴うもの、胆汁うっ滞を伴うもの)

    (12) 肺疾患

    びまん性間質性肺炎(肺線維症)(放射線肺臓炎を含む)

    ネブライザー

    (13) 結核性疾患(抗結核剤と併用する)

    結核性髄膜炎

    脊髄腔内注入

    結核性胸膜炎

    胸腔内注入

    (14) 神経疾患

    脳脊髄炎(脳炎、脊髄炎を含む)(但し、一次性脳炎の場合は頭蓋内圧亢進症状がみられ、かつ他剤で効果が不十分なときに短期間用いること)、重症筋無力症、多発性硬化症(視束脊髄炎を含む)

    脊髄腔内注入

    末梢神経炎(ギランバレー症候群を含む)

    脊髄腔内注入

    小舞踏病、顔面神経麻痺、脊髄蜘網膜炎

    (15) 悪性腫瘍

    悪性リンパ腫(リンパ肉腫症、細網肉腫症、ホジキン病、皮膚細網症、菌状息肉症)及び類似疾患(近縁疾患)

    脊髄腔内注入

    好酸性肉芽腫

    乳癌の再発転移

    (16) その他の内科的疾患

    特発性低血糖症

    原因不明の発熱

    2. 外科領域

    副腎摘除

    臓器・組織移植、副腎皮質機能不全患者に対する外科的侵襲、蛇毒・昆虫毒(重症の虫さされを含む)

    侵襲後肺水腫

    ネブライザー

    外科的ショック及び外科的ショック様状態、脳浮腫、輸血による副作用、気管支痙攣(術中)

    3. 整形外科領域

    強直性脊椎炎(リウマチ性脊椎炎)

    強直性脊椎炎(リウマチ性脊椎炎)に伴う四肢関節炎、変形性関節症(炎症症状がはっきり認められる場合)、外傷後関節炎、非感染性慢性関節炎、痛風性関節炎

    関節腔内注射

    関節周囲炎(非感染性のものに限る)、腱周囲炎(非感染性のものに限る)

    軟組織内注射

    腱鞘内注射

    滑液嚢内注入

    腱炎(非感染性のものに限る)

    軟組織内注射

    腱鞘内注射

    腱鞘炎(非感染性のものに限る)

    腱鞘内注射

    滑液包炎(非感染性のものに限る)

    滑液嚢内注入

    4. 産婦人科領域

    卵管閉塞症(不妊症)に対する通水療法

    卵管腔内注入

    卵管整形術後の癒着防止

    卵管腔内注入

    副腎皮質機能障害による排卵障害

    5. 泌尿器科領域

    前立腺癌(他の療法が無効な場合)、陰茎硬結

    6. 皮膚科領域

    △印の付されている効能・効果に対しては、外用剤を用いても効果が不十分な場合あるいは十分な効果を期待し得ないと推定される場合にのみ用いること。

    △湿疹・皮膚炎群(急性湿疹、亜急性湿疹、慢性湿疹、接触皮膚炎、貨幣状湿疹、自家感作性皮膚炎、アトピー皮膚炎、乳・幼・小児湿疹、ビダール苔癬、その他の神経皮膚炎、脂漏性皮膚炎、進行性指掌角皮症、その他の手指の皮膚炎、陰部あるいは肛門湿疹、耳介及び外耳道の湿疹・皮膚炎、鼻前庭及び鼻翼周辺の湿疹・皮膚炎など)(但し、重症例以外は極力投与しないこと)、△痒疹群(小児ストロフルス、蕁麻疹様苔癬、固定蕁麻疹を含む)(但し、重症例に限る。また、固定蕁麻疹は局注が望ましい)、△類乾癬(重症例に限る)、△掌蹠膿疱症(重症例に限る)、△毛孔性紅色粃糠疹(重症例に限る)、成年性浮腫性硬化症、紅斑症〔△多形滲出性紅斑(重症例に限る)、結節性紅斑〕、レイノー病、先天性表皮水疱症、帯状疱疹(重症例に限る)、顔面播種状粟粒性狼瘡(重症例に限る)、潰瘍性慢性膿皮症、新生児スクレレーマ

    **蕁麻疹(慢性例を除く)(重症例に限る)、△乾癬及び類症〔尋常性乾癬(重症例)、乾癬性関節炎、乾癬性紅皮症、膿疱性乾癬、稽留性肢端皮膚炎、疱疹状膿痂疹、ライター症候群〕、IgA血管炎(重症例に限る)、ウェーバークリスチャン病、粘膜皮膚眼症候群〔開口部びらん性外皮症、スチブンス・ジョンソン病、皮膚口内炎、フックス症候群、ベーチェット病(眼症状のない場合)、リップシュッツ急性陰門潰瘍〕、天疱瘡群(尋常性天疱瘡、落葉状天疱瘡、Senear-Usher症候群、増殖性天疱瘡)、デューリング疱疹状皮膚炎(類天疱瘡、妊娠性疱疹を含む)、△紅皮症(ヘブラ紅色粃糠疹を含む)

    7. 眼科領域

    内眼・視神経・眼窩・眼筋の炎症性疾患の対症療法(ブドウ膜炎、網脈絡膜炎、網膜血管炎、視神経炎、眼窩炎性偽腫瘍、眼窩漏斗尖端部症候群、眼筋麻痺)

    結膜下注射

    球後注射

    点眼

    外眼部及び前眼部の炎症性疾患の対症療法で点眼が不適当又は不十分な場合(眼瞼炎、結膜炎、角膜炎、強膜炎、虹彩毛様体炎)

    結膜下注射

    球後注射

    眼科領域の術後炎症

    結膜下注射

    点眼

    8. 耳鼻咽喉科領域

    急性・慢性中耳炎

    中耳腔内注入

    滲出性中耳炎・耳管狭窄症

    中耳腔内注入

    耳管内注入

    メニエル病及びメニエル症候群、急性感音性難聴、口腔外科領域手術後の後療法

    血管運動(神経)性鼻炎、アレルギー性鼻炎、花粉症(枯草熱)

    ネブライザー

    鼻腔内注入

    鼻甲介内注射

    副鼻腔炎・鼻茸

    ネブライザー

    鼻腔内注入

    副鼻腔内注入

    鼻茸内注射

    進行性壊疽性鼻炎

    ネブライザー

    鼻腔内注入

    副鼻腔内注入

    喉頭・気管注入

    喉頭炎・喉頭浮腫

    ネブライザー

    喉頭・気管注入

    喉頭ポリープ・結節

    ネブライザー

    喉頭・気管注入

    食道の炎症(腐蝕性食道炎、直達鏡使用後)及び食道拡張術後

    ネブライザー

    食道注入

    耳鼻咽喉科領域の手術後の後療法

    軟組織内注射

    ネブライザー

    鼻腔内注入

    副鼻腔内注入

    鼻甲介内注射

    喉頭・気管注入

    中耳腔内注入

    食道注入

    難治性口内炎及び舌炎(局所療法で治癒しないもの)

    軟組織内注射

    嗅覚障害

    ネブライザー

    鼻腔内注入

    急性・慢性(反復性)唾液腺炎

    唾液腺管内注入

6. 用法・用量

  • 〈静脈内注射〉

    通常、成人にはベタメタゾンとして1回2~8mgを3~6時間毎に静脈内注射する。

  • 〈点滴静脈内注射〉

    通常、成人にはベタメタゾンとして1回2~10mgを1日1~2回点滴静脈内注射する。

  • 〈筋肉内注射〉

    通常、成人にはベタメタゾンとして1回2~8mgを3~6時間毎に筋肉内注射する。

  • 〈関節腔内注射〉

    通常、成人にはベタメタゾンとして1回1~5mgを関節腔内注射する。原則として投与間隔を2週間以上とすること。

  • 〈軟組織内注射〉

    通常、成人にはベタメタゾンとして1回1~5mgを軟組織内注射する。原則として投与間隔を2週間以上とすること。

  • 〈腱鞘内注射〉

    通常、成人にはベタメタゾンとして1回1~5mgを腱鞘内注射する。原則として投与間隔を2週間以上とすること。

  • 〈滑液嚢内注入〉

    通常、成人にはベタメタゾンとして1回1~5mgを滑液嚢内注入する。原則として投与間隔を2週間以上とすること。

  • 〈脊髄腔内注入〉

    通常、成人にはベタメタゾンとして1回1~5mgを週1~3回脊髄腔内注入する。

  • 〈胸腔内注入〉

    通常、成人にはベタメタゾンとして1回1~5mgを週1~3回胸腔内注入する。

  • 〈卵管腔内注入〉

    通常、成人にはベタメタゾンとして1回0.4~1mgを卵管腔内注入する。

  • 〈注腸〉

    通常、成人にはベタメタゾンとして1回0.4~6mgを直腸内注入する。

  • 〈結膜下注射〉

    通常、成人にはベタメタゾンとして1回0.4~2mgを結膜下注射する。その際の液量は0.2~0.5mLとする。

  • 〈球後注射〉

    通常、成人にはベタメタゾンとして1回0.8~4mgを球後注射する。その際の液量は0.5~1.0mLとする。

  • 〈点眼〉

    通常、成人にはベタメタゾンとして1回0.25~1mg/mL溶液1~2滴を1日3~8回点眼する。

  • 〈ネブライザー〉

    通常、成人にはベタメタゾンとして1回0.1~2mgを1日1~3回ネブライザーで投与する。

  • 〈鼻腔内注入〉

    通常、成人にはベタメタゾンとして1回0.1~2mgを1日1~3回鼻腔内注入する。

  • 〈副鼻腔内注入〉

    通常、成人にはベタメタゾンとして1回0.1~2mgを1日1~3回副鼻腔内注入する。

  • 〈鼻甲介内注射〉

    通常、成人にはベタメタゾンとして1回1~5mgを鼻甲介内注射する。

  • 〈鼻茸内注射〉

    通常、成人にはベタメタゾンとして1回1~5mgを鼻茸内注射する。

  • 〈喉頭・気管注入〉

    通常、成人にはベタメタゾンとして1回0.1~2mgを1日1~3回喉頭あるいは気管注入する。

  • 〈中耳腔内注入〉

    通常、成人にはベタメタゾンとして1回0.1~2mgを1日1~3回中耳腔内注入する。

  • 〈耳管内注入〉

    通常、成人にはベタメタゾンとして1回0.1~2mgを1日1~3回耳管内注入する。

  • 〈食道注入〉

    通常、成人にはベタメタゾンとして1回1~2mgを食道注入する。

  • 〈唾液腺管内注入〉

    通常、成人にはベタメタゾンとして1回0.5~1mgを唾液腺管内注入する。

 

なお、上記用量は年齢、症状により適宜増減する。

7. 用法・用量に関連する注意

  • 〈眼科領域〉

    本剤の投与により、重篤な副作用があらわれることがあるので、原則として、2週間以上の長期投与は避けること。

8. 重要な基本的注意

  • 〈効能共通〉
    1. 8.1 本剤の投与により、誘発感染症、続発性副腎皮質機能不全、消化管潰瘍、糖尿病、精神障害等の重篤な副作用があらわれることがあるので、本剤の投与にあたっては次の注意が必要である。
      1. 8.1.1 投与に際しては、特に適応、症状を考慮し、他の治療法によって十分に治療効果が期待できる場合には、本剤を投与しないこと。また、局所的投与で十分な場合には、局所療法を行うこと。
      2. 8.1.2 投与中は副作用の発現に対し、常に十分な配慮と観察を行い、また、患者をストレスから避けるようにし、事故、手術等の場合には増量するなど適切な処置を行うこと。
      3. 8.1.3 特に、本剤投与中に水痘又は麻疹に感染すると、致命的な経過をたどることがあるので、次の注意が必要である。
        • 本剤投与前に水痘又は麻疹の既往や予防接種の有無を確認すること。
        • 水痘又は麻疹の既往のない患者においては、水痘又は麻疹への感染を極力防ぐよう常に十分な配慮と観察を行うこと。感染が疑われる場合や感染した場合には、直ちに受診するよう指導し、適切な処置を講ずること。
        • 水痘又は麻疹の既往や予防接種を受けたことがある患者であっても、本剤投与中は、水痘又は麻疹を発症する可能性があるので留意すること。
      4. 8.1.4 連用後、投与を急に中止すると、ときに発熱、頭痛、食欲不振、脱力感、筋肉痛、関節痛、ショック等の離脱症状があらわれることがあるので、投与を中止する場合には、徐々に減量するなど慎重に行うこと。離脱症状があらわれた場合には、直ちに再投与又は増量すること。
    2. 8.2 本剤の長期あるいは大量投与中の患者、又は投与中止後6ヵ月以内の患者では、免疫機能が低下していることがあり、生ワクチンの接種により、ワクチン由来の感染を増強又は持続させるおそれがあるので、これらの患者には生ワクチンを接種しないこと。
    3. 8.3 連用により眼圧亢進、緑内障、後嚢白内障を来すことがあるので、定期的に検査をすることが望ましい。,
    4. 8.4 *褐色細胞腫の合併を認識していなかった状態でベタメタゾン製剤(注射剤)を投与した際に褐色細胞腫クリーゼを発現したとの報告がある。本剤投与後に著明な血圧上昇、頭痛、動悸等が認められた場合は、褐色細胞腫クリーゼの発現を考慮した上で適切な処置を行うこと。
  • 〈強皮症〉
    1. 8.5 強皮症患者における強皮症腎クリーゼの発現率は、副腎皮質ホルモン剤投与患者で高いとの報告がある。本剤を強皮症患者に投与する場合は、血圧及び腎機能を慎重にモニターし、強皮症腎クリーゼの徴候や症状の出現に注意すること。

9. 特定の背景を有する患者に関する注意

9.1 合併症・既往歴等のある患者

  1. 9.1.1 以下の患者には治療上やむを得ないと判断される場合を除き投与しないこと。
    1. (1) 有効な抗菌剤の存在しない感染症、全身の真菌症の患者

      免疫機能抑制作用により、症状が増悪することがある。

    2. (2) 消化性潰瘍の患者

      肉芽組織増殖抑制作用により、潰瘍治癒(組織修復)が障害されることがある。

    3. (3) 精神病の患者

      大脳辺縁系の神経伝達物質に影響を与え、症状が増悪することがある。

    4. (4) 結核性疾患の患者

      免疫機能抑制作用により、症状が増悪することがある。

    5. (5) 単純疱疹性角膜炎の患者

      免疫機能抑制作用により、症状が増悪することがある。

    6. (6) 後嚢白内障の患者

      症状が増悪することがある。,

    7. (7) 緑内障の患者

      眼圧の亢進により、緑内障が増悪することがある。,

    8. (8) 高血圧症の患者

      電解質代謝作用により、高血圧症が増悪することがある。

    9. (9) 電解質異常のある患者

      電解質代謝作用により、電解質異常が増悪することがある。

    10. (10) 血栓症の患者

      血液凝固促進作用により、症状が増悪することがある。

    11. (11) 最近行った内臓の手術創のある患者

      創傷治癒(組織修復)が障害されることがある。

    12. (12) 急性心筋梗塞を起こした患者

      心破裂を起こしたとの報告がある。

    13. (13) ウイルス性結膜・角膜疾患、結核性眼疾患、真菌性眼疾患及び急性化膿性眼疾患の患者に対する眼科的投与

      免疫機能抑制作用により、症状が増悪することがある。

  2. 9.1.2 感染症の患者(有効な抗菌剤の存在しない感染症、全身の真菌症を除く)

    免疫機能抑制作用により、感染症が増悪するおそれがある。

  3. 9.1.3 糖尿病の患者

    糖新生作用等により血糖が上昇し、糖尿病が増悪するおそれがある。

  4. 9.1.4 骨粗鬆症の患者

    蛋白異化作用等により、骨粗鬆症が増悪するおそれがある。

  5. 9.1.5 甲状腺機能低下のある患者

    血中半減期が延長するとの報告があり、副作用があらわれるおそれがある。

  6. 9.1.6 脂肪肝の患者

    脂肪分解・再分布作用により、肝臓への脂肪沈着が増大し、脂肪肝が増悪するおそれがある。

  7. 9.1.7 脂肪塞栓症の患者

    大量投与により脂肪塞栓症が起こるとの報告があり、症状が増悪するおそれがある。

  8. 9.1.8 重症筋無力症の患者

    使用当初、一時症状が増悪するおそれがある。

  9. 9.1.9 遺伝性果糖不耐症の患者

    本剤の添加剤D-ソルビトールが体内で代謝されて生成した果糖が正常に代謝されず、低血糖、肝不全、腎不全等が誘発されるおそれがある。

  10. 9.1.10 B型肝炎ウイルスキャリアの患者又は既往感染者

    B型肝炎ウイルスの増殖による肝炎があらわれることがある。本剤の投与期間中及び投与終了後は継続して肝機能検査値や肝炎ウイルスマーカーのモニタリングを行うなど、B型肝炎ウイルス増殖の徴候や症状の発現に注意すること。異常が認められた場合には、本剤の減量を考慮し、抗ウイルス剤を投与するなど適切な処置を行うこと。なお、投与開始前にHBs抗原陰性の患者において、B型肝炎ウイルスによる肝炎を発症した症例が報告されている。

  11. 9.1.11 *褐色細胞腫又はパラガングリオーマのある患者及びその疑いのある患者

    褐色細胞腫クリーゼがあらわれることがある。

9.2 腎機能障害患者

  1. 9.2.1 腎不全の患者

    薬物の排泄が遅延するため、体内蓄積による副作用があらわれるおそれがある。

9.3 肝機能障害患者

  1. 9.3.1 肝硬変の患者

    代謝酵素活性の低下等により、副作用があらわれやすい。

9.5 妊婦

妊婦又は妊娠している可能性のある女性には、治療上の有益性が危険性を上回ると判断される場合にのみ投与すること。新生児に副腎不全を起こすことがある。また、血圧上昇、心筋壁の肥厚を起こすとの報告がある。動物試験(マウス、ラット)で催奇形作用が報告されている1)

9.6 授乳婦

治療上の有益性及び母乳栄養の有益性を考慮し、授乳の継続又は中止を検討すること。母乳中へ移行することがある。

9.7 小児等

  1. 9.7.1 観察を十分に行うこと。発育抑制があらわれることがある。
  2. 9.7.2 長期投与した場合、頭蓋内圧亢進症状があらわれることがある。
  3. 9.7.3 筋肉内注射はなるべく避けること。特に投与部位の組織の萎縮(陥没)を起こしやすい。

9.8 高齢者

長期投与した場合、感染症の誘発、糖尿病、骨粗鬆症、高血圧症、後嚢白内障、緑内障等の副作用があらわれやすい。

10. 相互作用

  • 本剤は、主にCYP3A4で代謝される。

10.1 併用禁忌(併用しないこと)

薬剤名等臨床症状・措置方法機序・危険因子
  • デスモプレシン酢酸塩水和物
    • ミニリンメルト(男性における夜間多尿による夜間頻尿)

低ナトリウム血症が発現するおそれがある。

機序は不明である。

10.2 併用注意(併用に注意すること)

薬剤名等臨床症状・措置方法機序・危険因子
  • バルビツール酸誘導体
    • フェノバルビタール
  • フェニトイン
  • リファンピシン

本剤の作用が減弱することが報告されているので、併用する場合には用量に注意すること。

バルビツール酸誘導体、フェニトイン、リファンピシンはCYPを誘導し、本剤の代謝が促進される。

  • サリチル酸誘導体
    • アスピリン、アスピリンダイアルミネート、サザピリン等

併用時に本剤を減量すると、サリチル酸中毒を起こすことが報告されているので、併用する場合には用量に注意すること。

本剤はサリチル酸誘導体の腎排泄と肝代謝を促進し、血清中のサリチル酸誘導体の濃度が低下する。

  • 抗凝血剤
    • ワルファリンカリウム

抗凝血剤の作用を減弱させることが報告されているので、併用する場合には用量に注意すること。

本剤は血液凝固促進作用がある。

  • 糖尿病用薬
    • ビグアナイド系薬剤
      スルホニルウレア剤
      速効型インスリン分泌促進剤
      α-グルコシダーゼ阻害剤
      チアゾリジン系薬剤
      DPP-4阻害剤
      GLP-1受容体作動薬
      SGLT2阻害剤
  • インスリン製剤等

糖尿病用薬、インスリン製剤等の効果を減弱させることが報告されているので、併用する場合には用量に注意すること。

本剤は肝臓での糖新生を促進し、末梢組織での糖利用を抑制する。

  • 利尿剤(カリウム保持性利尿剤を除く)
    • フロセミド、アセタゾラミド、トリクロルメチアジド等

低カリウム血症があらわれることがあるので、併用する場合には用量に注意すること。

本剤は尿細管でのカリウム排泄促進作用がある。

  • シクロスポリン

他の副腎皮質ホルモン剤の大量投与で、シクロスポリンの血中濃度が上昇するとの報告があるので、併用する場合には用量に注意すること。

副腎皮質ホルモン剤はシクロスポリンの代謝を抑制する。

  • エリスロマイシン

本剤の作用が増強されるとの報告があるので、併用する場合には用量に注意すること。

本剤の代謝が抑制される。

  • 非脱分極性筋弛緩剤
    • パンクロニウム臭化物、ベクロニウム臭化物

筋弛緩作用が減弱又は増強するとの報告があるので、併用する場合には用量に注意すること。

機序は不明である。

  • リトドリン塩酸塩

併用により肺水腫があらわれることがある。

体内の水分貯留傾向が促進される。

  • キノロン系抗菌剤
    • レボフロキサシン水和物、メシル酸ガレノキサシン水和物等

腱障害のリスクを増加させるとの報告がある。これらの薬剤との併用は、治療上の有益性が危険性を上回る場合のみとすること。

機序は不明である。

11. 副作用

次の副作用があらわれることがあるので、観察を十分に行い、異常が認められた場合には適切な処置を行うこと。

11.1 重大な副作用

  1. 11.1.1 ショック、アナフィラキシー(0.1%未満1)

    呼吸困難、全身潮紅、血管浮腫、蕁麻疹等の症状があらわれることがある。

  2. 11.1.2 誘発感染症、感染症の増悪(頻度不明)

    B型肝炎ウイルスの増殖による肝炎があらわれることがある。,,,,

  3. 11.1.3 続発性副腎皮質機能不全、糖尿病(頻度不明)

  4. 11.1.4 消化管潰瘍、消化管穿孔(頻度不明)

  5. 11.1.5 膵炎(頻度不明)
  6. 11.1.6 精神変調、うつ状態、痙攣(頻度不明)

  7. 11.1.7 骨粗鬆症、大腿骨及び上腕骨等の骨頭無菌性壊死、ミオパチー(頻度不明)

  8. 11.1.8 緑内障、後嚢白内障(頻度不明)

    連用により眼圧亢進、緑内障、後嚢白内障を来すことがある。,

  9. 11.1.9 血栓症(頻度不明)

  10. 11.1.10 喘息発作の増悪(頻度不明)

    薬物、食物、添加物等に過敏な喘息患者には特に注意が必要である。

1) 再評価結果を含む

11.2 その他の副作用

頻度不明

投与部位

関節の不安定化(関節腔内注射時)2)、疼痛・腫脹・圧痛の増悪(関節腔内注射時)、局所組織の萎縮による陥没(筋肉内注射時)

内分泌系

月経異常、クッシング症候群様症状

消化器

下痢、悪心・嘔吐、胃痛、胸やけ、腹部膨満感、口渇、食欲不振、食欲亢進

精神神経系

多幸症、不眠、頭痛、めまい

筋・骨格

筋肉痛、関節痛

脂質・蛋白質代謝

満月様顔貌、野牛肩、窒素負平衡、脂肪肝

体液・電解質

浮腫、血圧上昇、低カリウム性アルカローシス

中心性漿液性網脈絡膜症等による網膜障害、眼球突出

血液

白血球増多

皮膚

発疹、ざ瘡、多毛、脱毛、色素沈着、皮下溢血、紫斑、線条、そう痒、発汗異常、顔面紅斑、脂肪織炎

その他

発熱、疲労感、ステロイド腎症、体重増加、精子数及びその運動性の増減、創傷治癒障害、皮膚・結合組織の菲薄化・脆弱化、しゃっくり

2) この症状は投与直後に患部を強く動かすと起こりやすいとされているので、投与後は患者をしばらく安静にさせること。

14. 適用上の注意

14.1 薬剤投与時の注意

  1. 14.1.1 静脈内注射時

    血管痛、静脈炎を起こすことがあるので、これを予防するため、注射部位、注射方法等について十分注意し、その注射速度はできるだけ遅くすること。

  2. 14.1.2 筋肉内注射時

    下記の点に注意すること。

    • 筋肉内注射はやむを得ない場合にのみ、必要最小限に行うこと。
      同一部位への反復注射は行わないこと。
      特に小児等には注意すること。
    • 神経走行部位を避けること。
    • 注射針を刺入したとき、激痛を訴えたり、血液の逆流をみた場合は、直ちに針を抜き、部位をかえて注射すること。
    • 注射部位に疼痛、硬結をみることがある。

15. その他の注意

15.1 臨床使用に基づく情報

  1. 15.1.1 副腎皮質ホルモン剤を投与中の患者にワクチン(種痘等)を接種して神経障害、抗体反応の欠如が起きたとの報告がある。
  2. 15.1.2 プレドニゾロン経口製剤の投与中に、腸管嚢胞様気腫症、縦隔気腫が発現したとの報告がある。

16. 薬物動態

16.1 血中濃度

  1. 16.1.1 血中濃度推移

    健康成人男性3例にベタメタゾン8mgに相当するベタメタゾンリン酸エステルナトリウム注を単回静脈内注射したとき、血中ベタメタゾン濃度は投与後極めて徐々に減少した2)(測定法:RIA)。

  2. 16.1.2 薬物動態パラメータ

    健康成人8例にベタメタゾン8mgに相当するベタメタゾンリン酸エステルナトリウム注10.6mgを単回静脈内注射したとき、ベタメタゾンのT1/2は335±51min、AUC0-∞は46.3±8.6μg・min/mLであった3)(測定法:HPLC)(平均値±標準偏差)(外国人データ)。

16.3 分布

  1. 16.3.1 クモ膜下出血患者5例にベタメタゾン8mgに相当するベタメタゾンリン酸エステルナトリウム注を単回静脈内注射したとき、脳脊髄液中のベタメタゾン濃度は、投与1時間後では血中濃度の1/10~1/20、6時間後では1/2~1/3であった4)(測定法:RIA)。
  2. 16.3.2 血漿蛋白結合率:64±6.0%3)(測定法:HPLC)(平均値±標準偏差、10例)(外国人データ)

16.4 代謝

ベタメタゾンの一部はC-6位が代謝され6β-水酸化体になる。その主な代謝酵素はCYP3A4である5),6)

16.5 排泄

健康成人8例にベタメタゾン8mgに相当するベタメタゾンリン酸エステルナトリウム注10.6mgを単回静脈内投与したとき、投与開始から24時間までの尿中にベタメタゾンとして投与量の4.8±1.4%が排泄された3)(測定法:HPLC)(平均値±標準偏差)(外国人データ)。

18. 薬効薬理

18.1 作用機序

ステロイドは細胞質に存在する熱ショック蛋白質、抑制蛋白質と複合体を形成したステロイド受容体に結合後核内に移行し、ステロイド反応性の遺伝子を活性化させ、その薬理作用を発揮すると考えられている。また、血管内皮細胞やリンパ球等の細胞膜の障害を抑制するような膜の安定性に関与する作用や、フォスフォリパーゼA2と呼ばれる細胞膜リン脂質からロイコトリエンやプロスタグランジンなど種々の炎症惹起物質を誘導する重要な酵素の機能を抑える作用も知られている。
炎症制御機序としては、単量体のステロイドとその受容体が複合体を形成することで、NFκBやAP-1と呼ばれるサイトカイン産生の誘導や細胞接着分子の発現等を調節している細胞内転写因子の機能を抑制し、2量体の受容体と結合した場合は、リポコルチン等の誘導を介すると考えられている7)。一方、免疫抑制機序は多彩である。リンパ組織からTリンパ球の遊出を抑制すると共に、その増殖や活性化に係るIL-2の産生を抑制し、更にアポトーシスを促進すること等により血中Tリンパ球数を低下させ細胞性免疫を障害する。また、好中球の遊走能及び貪食能を障害すると共に、マクロファージの貪食・殺菌能障害、TNF-α、IL-1などの炎症性サイトカイン産生抑制及びリンパ球への抗原提示能障害により液性及び細胞性免疫に影響する。更に、血中Bリンパ球数を低下させ、長期間使用時には免疫グロブリン産生量を低下させる。これら以外にも、好酸球や好塩基球、肥満細胞等にも影響する8)

18.2 薬理作用

ベタメタゾンリン酸エステルナトリウムは合成糖質副腎皮質ホルモンで、抗炎症作用、抗アレルギー作用、免疫抑制作用のほか、広範囲にわたる代謝作用を有する。

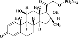
19. 有効成分に関する理化学的知見

一般的名称

ベタメタゾンリン酸エステルナトリウム
(Betamethasone Sodium Phosphate)(JAN)[日局]

化学名

9-Fluoro-11β,17,21-trihydroxy-16β-methylpregna-1,4-diene-3,20-dione 21-(disodium phosphate)

分子式

C22H28FNa2O8P

分子量

516.40

性状

白色~微黄白色の結晶性の粉末又は塊で、においはない。
水に溶けやすく、メタノールにやや溶けにくく、エタノール(95)に溶けにくく、ジエチルエーテルにほとんど溶けない。
吸湿性である。

化学構造式

融点

約213℃(分解)

20. 取扱い上の注意

遮光して保存すること。

22. 包装

10管[5mL×10]

24. 文献請求先及び問い合わせ先

塩野義製薬株式会社 医薬情報センター

〒541-0045 大阪市中央区道修町3丁目1番8号

電話0120-956-734

FAX 06-6202-1541

https://med.shionogi.co.jp/

26. 製造販売業者等

26.1 製造販売元

シオノギファーマ株式会社

大阪府摂津市三島2丁目5番1号

26.2 販売元

塩野義製薬株式会社

大阪市中央区道修町3丁目1番8号

〒100-0013 東京都千代田区霞が関3-3-2 新霞が関ビル

画面を閉じる

Copyright © Pharmaceuticals and Medical Devices Agency, All Rights reserved.