医療用医薬品 詳細表示

リンデロン懸濁注

処方せん医薬品

添付文書番号
企業コード
作成又は改訂年月
日本標準商品分類番号
薬効分類名
承認等
一般的名称
2.禁忌(次の患者には投与しないこと)
3.組成・性状
3.1組成
3.2製剤の性状
4.効能・効果
6.用法・用量
8.重要な基本的注意
9.特定の背景を有する患者に関する注意
9.1合併症・既往歴等のある患者
9.2腎機能障害患者
9.3肝機能障害患者
9.5妊婦
9.6授乳婦
9.7小児等
9.8高齢者
10.相互作用
10.1併用禁忌(併用しないこと)
10.2併用注意(併用に注意すること)
11.副作用
11.1重大な副作用
11.2その他の副作用
14.適用上の注意
15.その他の注意
15.1臨床使用に基づく情報
16.薬物動態
16.1血中濃度
16.4代謝
18.薬効薬理
18.1作用機序
18.2薬理作用
19.有効成分に関する理化学的知見
20.取扱い上の注意
22.包装
23.主要文献
24.文献請求先及び問い合わせ先
26.製造販売業者等

リンデロン懸濁注

添付文書番号

2454408C1020_2_05

企業コード

343018

作成又は改訂年月

**2022年5月改訂(第2版)
2020年7月改訂(第1版)

日本標準商品分類番号

872454

薬効分類名

合成副腎皮質ホルモン剤

承認等

リンデロン懸濁注

販売名コード

YJコード

2454408C1020

販売名英語表記

RINDERON Suspension

販売名ひらがな

りんでろんけんだくちゅう

承認番号等

承認番号

14100AZZ06446000

販売開始年月

1967年2月

貯法・有効期間

貯法

凍結を避け冷所保存

有効期間

3年

一般的名称

ベタメタゾン酢酸エステル・ベタメタゾンリン酸エステルナトリウム

2. 禁忌(次の患者には投与しないこと)

  1. 2.1 本剤の成分に対し過敏症の既往歴のある患者
  2. 2.2 感染症のある関節腔内、滑液嚢内、腱鞘内又は腱周囲[免疫機能抑制作用により、感染症が増悪することがある。]
  3. 2.3 動揺関節の関節腔内[関節症状が増悪することがある。]
  4. 2.4 デスモプレシン酢酸塩水和物(男性における夜間多尿による夜間頻尿)を投与中の患者

3. 組成・性状

3.1 組成

リンデロン懸濁注

1管(0.5mL)中

有効成分ベタメタゾン酢酸エステル   2mg
ベタメタゾンリン酸エステルナトリウム   0.66mg
(ベタメタゾン酢酸エステルとして2.5mgに相当  )
添加剤ベンザルコニウム塩化物   0.1mg
ポリソルベート80   0.05mg
リン酸水素ナトリウム水和物、リン酸二水素ナトリウム水和物、注射用水  

3.2 製剤の性状

リンデロン懸濁注

pH6.8~7.2
浸透圧比約0.7
〔生理食塩液に対する比〕
性状・剤形白色の懸濁液で、放置するとき、白色の沈殿物と無色の上澄液に分離し、この沈殿物は、穏やかに振り混ぜるとき、再び容易に懸濁状となる。
鏡検するとき、液中の懸濁物はほとんど結晶で、その大きさは150μm以下である。(注射剤)

4. 効能・効果

効能・効果\用法

筋肉内注射

関節腔内注射

軟組織内注射

腱鞘内注射

滑液嚢内注入

局所皮内注射

鼻腔内注入

鼻甲介内注射

関節リウマチ

関節周囲炎

(非感染性のものに限る)

腱炎

(非感染性のものに限る)

腱鞘炎

(非感染性のものに限る)

腱周囲炎

(非感染性のものに限る)

滑液包炎

(非感染性のものに限る)

変形性関節症

(炎症症状がはっきり認められる場合)

外傷後関節炎

△円形脱毛症

(悪性型に限る)

△早期ケロイド及びケロイド防止

アレルギー性鼻炎

△印の付されている効能・効果に対しては、外用剤を用いても効果が不十分な場合あるいは十分な効果を期待し得ないと推定される場合にのみ用いること

6. 用法・用量

筋肉内注射

通常、1回0.2~1.0mLを筋肉内注射する。症状により3~4時間ごとに同量を繰り返し投与する。

関節腔内注射

通常、1回0.1~1.5mLを関節腔内注射する。原則として投与間隔を2週間以上とすること。なお、症状あるいは注入関節の大小に応じて適宜増減する。

軟組織内注射

通常、1回0.1~1.5mLを軟組織内注射する。原則として投与間隔を2週間以上とすること。なお、症状あるいは注入部位により適宜増減する。

腱鞘内注射

通常、1回0.1~1.5mLを腱鞘内注射する。原則として投与間隔を2週間以上とすること。なお、症状あるいは注入部位により適宜増減する。

滑液嚢内注入

通常、1回0.1~1.5mLを滑液嚢内注入する。原則として投与間隔を2週間以上とすること。なお、症状あるいは注入部位により適宜増減する。

局所皮内注射

必要があれば本剤を生理食塩液で2~6倍に希釈し、通常、1回0.1~0.2mLを局所皮内注射する。

鼻腔内注入

通常、1回1.0~3.0mLを1日1~数回鼻腔内注入する。

鼻甲介内注射

通常、1回0.1~1.5mLを鼻甲介内注射する。

8. 重要な基本的注意

  1. 8.1 本剤の投与により、誘発感染症、続発性副腎皮質機能不全、消化管潰瘍、糖尿病、精神障害等の重篤な副作用があらわれることがあるので、本剤の投与にあたっては次の注意が必要である。
    1. 8.1.1 投与に際しては、特に適応、症状を考慮し、他の治療法によって十分に治療効果が期待できる場合には、本剤を投与しないこと。また、局所的投与で十分な場合には、局所療法を行うこと。
    2. 8.1.2 投与中は副作用の発現に対し、常に十分な配慮と観察を行い、また、患者をストレスから避けるようにし、事故、手術等の場合には増量するなど適切な処置を行うこと。
    3. 8.1.3 特に、本剤投与中に水痘又は麻疹に感染すると、致命的な経過をたどることがあるので、次の注意が必要である。
      • 本剤投与前に水痘又は麻疹の既往や予防接種の有無を確認すること。
      • 水痘又は麻疹の既往のない患者においては、水痘又は麻疹への感染を極力防ぐよう常に十分な配慮と観察を行うこと。感染が疑われる場合や感染した場合には、直ちに受診するよう指導し、適切な処置を講ずること。
      • 水痘又は麻疹の既往や予防接種を受けたことがある患者であっても、本剤投与中は、水痘又は麻疹を発症する可能性があるので留意すること。
    4. 8.1.4 連用後、投与を急に中止すると、ときに発熱、頭痛、食欲不振、脱力感、筋肉痛、関節痛、ショック等の離脱症状があらわれることがあるので、投与を中止する場合には、徐々に減量するなど慎重に行うこと。離脱症状があらわれた場合には、直ちに再投与又は増量すること。
  2. 8.2 本剤の長期あるいは大量投与中の患者、又は投与中止後6ヵ月以内の患者では、免疫機能が低下していることがあり、生ワクチンの接種により、ワクチン由来の感染を増強又は持続させるおそれがあるので、これらの患者には生ワクチンを接種しないこと。
  3. 8.3 連用により眼圧亢進、緑内障、後嚢白内障を来すことがあるので、定期的に検査をすることが望ましい。,
  4. 8.4 **褐色細胞腫の合併を認識していなかった状態でベタメタゾン製剤(注射剤)を投与した際に褐色細胞腫クリーゼを発現したとの報告がある。本剤投与後に著明な血圧上昇、頭痛、動悸等が認められた場合は、褐色細胞腫クリーゼの発現を考慮した上で適切な処置を行うこと。

9. 特定の背景を有する患者に関する注意

9.1 合併症・既往歴等のある患者

  1. 9.1.1 以下の患者には治療上やむを得ないと判断される場合を除き投与しないこと。
    1. (1) 有効な抗菌剤の存在しない感染症、全身の真菌症の患者

      免疫機能抑制作用により、症状が増悪することがある。

    2. (2) 消化性潰瘍の患者

      肉芽組織増殖抑制作用により、潰瘍治癒(組織修復)が障害されるおそれがある。

    3. (3) 精神病の患者

      大脳辺縁系の神経伝達物質に影響を与え、症状が増悪することがある。

    4. (4) 結核性疾患の患者

      免疫機能抑制作用により、症状が増悪することがある。

    5. (5) 単純疱疹性角膜炎の患者

      免疫機能抑制作用により、症状が増悪することがある。

    6. (6) 後嚢白内障の患者

      症状が増悪することがある。,

    7. (7) 緑内障の患者

      眼圧の亢進により、緑内障が増悪することがある。,

    8. (8) 高血圧症の患者

      電解質代謝作用により、高血圧症が増悪することがある。

    9. (9) 電解質異常のある患者

      電解質代謝作用により、電解質異常が増悪することがある。

    10. (10) 血栓症の患者

      血液凝固促進作用により、症状が増悪することがある。

    11. (11) 最近行った内臓の手術創のある患者

      創傷治癒(組織修復)が障害されることがある。

    12. (12) 急性心筋梗塞を起こした患者

      心破裂を起こしたとの報告がある。

  2. 9.1.2 感染症の患者(有効な抗菌剤の存在しない感染症、全身の真菌症を除く)

    免疫機能抑制作用により、感染症が増悪するおそれがある。

  3. 9.1.3 糖尿病の患者

    糖新生作用等により血糖が上昇し、糖尿病が増悪するおそれがある。

  4. 9.1.4 骨粗鬆症の患者

    蛋白異化作用等により、骨粗鬆症が増悪するおそれがある。

  5. 9.1.5 甲状腺機能低下のある患者

    血中半減期が延長するとの報告があり、副作用があらわれるおそれがある。

  6. 9.1.6 脂肪肝の患者

    脂肪分解・再分布作用により、肝臓への脂肪沈着が増大し、脂肪肝が増悪するおそれがある。

  7. 9.1.7 脂肪塞栓症の患者

    大量投与により脂肪塞栓症が起こるとの報告があり、症状が増悪するおそれがある。

  8. 9.1.8 重症筋無力症の患者

    使用当初、一時症状が増悪するおそれがある。

  9. 9.1.9 B型肝炎ウイルスキャリアの患者又は既往感染者

    B型肝炎ウイルスの増殖による肝炎があらわれることがある。本剤の投与期間中及び投与終了後は継続して肝機能検査値や肝炎ウイルスマーカーのモニタリングを行うなど、B型肝炎ウイルス増殖の徴候や症状の発現に注意すること。異常が認められた場合には、本剤の減量を考慮し、抗ウイルス剤を投与するなど適切な処置を行うこと。なお、投与開始前にHBs抗原陰性の患者において、B型肝炎ウイルスによる肝炎を発症した症例が報告されている。

  10. 9.1.10 **褐色細胞腫又はパラガングリオーマのある患者及びその疑いのある患者

    褐色細胞腫クリーゼがあらわれることがある。

9.2 腎機能障害患者

  1. 9.2.1 腎不全の患者

    薬物の排泄が遅延するため、体内蓄積による副作用があらわれるおそれがある。

9.3 肝機能障害患者

  1. 9.3.1 肝硬変の患者

    代謝酵素活性の低下等により、副作用があらわれやすい。

9.5 妊婦

妊婦又は妊娠している可能性のある女性には、治療上の有益性が危険性を上回ると判断される場合にのみ投与すること。新生児に副腎不全を起こすことがある。また、血圧上昇、心筋壁の肥厚を起こすとの報告がある。動物試験(マウス)で催奇形作用が報告されている1)

9.6 授乳婦

治療上の有益性及び母乳栄養の有益性を考慮し、授乳の継続又は中止を検討すること。母乳中へ移行することがある。

9.7 小児等

  1. 9.7.1 観察を十分に行うこと。発育抑制があらわれることがある。
  2. 9.7.2 長期投与した場合、頭蓋内圧亢進症状があらわれることがある。
  3. 9.7.3 筋肉内又は皮内注射はなるべく避けること。特に投与部位の組織の萎縮(陥没)を起こしやすい。

9.8 高齢者

長期投与した場合、感染症の誘発、糖尿病、骨粗鬆症、高血圧症、後嚢白内障、緑内障等の副作用があらわれやすい。

10. 相互作用

  • 本剤は、主にCYP3A4で代謝される。

10.1 併用禁忌(併用しないこと)

薬剤名等臨床症状・措置方法機序・危険因子
  • デスモプレシン酢酸塩水和物
    • ミニリンメルト(男性における夜間多尿による夜間頻尿)

低ナトリウム血症が発現するおそれがある。

機序は不明である。

10.2 併用注意(併用に注意すること)

薬剤名等臨床症状・措置方法機序・危険因子
  • バルビツール酸誘導体
    • フェノバルビタール
  • フェニトイン
  • リファンピシン

本剤の作用が減弱することが報告されているので、併用する場合には用量に注意すること。

バルビツール酸誘導体、フェニトイン、リファンピシンはCYPを誘導し、本剤の代謝が促進される。

  • サリチル酸誘導体
    • アスピリン、アスピリンダイアルミネート、サザピリン等

併用時に本剤を減量すると、サリチル酸中毒を起こすことが報告されているので、併用する場合には用量に注意すること。

本剤はサリチル酸誘導体の腎排泄と肝代謝を促進し、血清中のサリチル酸誘導体の濃度が低下する。

  • 抗凝血剤
    • ワルファリンカリウム

抗凝血剤の作用を減弱させることが報告されているので、併用する場合には用量に注意すること。

本剤は血液凝固促進作用がある。

  • 糖尿病用薬
    • ビグアナイド系薬剤
      スルホニルウレア剤
      速効型インスリン分泌促進剤
      α-グルコシダーゼ阻害剤
      チアゾリジン系薬剤
      DPP-4阻害剤
      GLP-1受容体作動薬
      SGLT2阻害剤
  • インスリン製剤等

糖尿病用薬、インスリン製剤等の効果を減弱させることが報告されているので、併用する場合には用量に注意すること。

本剤は肝臓での糖新生を促進し、末梢組織での糖利用を抑制する。

  • 利尿剤(カリウム保持性利尿剤を除く)
    • フロセミド、アセタゾラミド、トリクロルメチアジド等

低カリウム血症があらわれることがあるので、併用する場合には用量に注意すること。

本剤は尿細管でのカリウム排泄促進作用がある。

  • シクロスポリン

他の副腎皮質ホルモン剤の大量投与で、シクロスポリンの血中濃度が上昇するとの報告があるので、併用する場合には用量に注意すること。

副腎皮質ホルモン剤はシクロスポリンの代謝を抑制する。

  • エリスロマイシン

本剤の作用が増強されるとの報告があるので、併用する場合には用量に注意すること。

本剤の代謝が抑制される。

  • 非脱分極性筋弛緩剤
    • パンクロニウム臭化物、ベクロニウム臭化物

筋弛緩作用が減弱又は増強するとの報告があるので、併用する場合には用量に注意すること。

機序は不明である。

  • リトドリン塩酸塩

併用により肺水腫があらわれることがある。

体内の水分貯留傾向が促進される。

  • *キノロン系抗菌剤
    • レボフロキサシン水和物、メシル酸ガレノキサシン水和物等

腱障害のリスクを増加させるとの報告がある。これらの薬剤との併用は、治療上の有益性が危険性を上回る場合のみとすること。

機序は不明である。

11. 副作用

次の副作用があらわれることがあるので、観察を十分に行い、異常が認められた場合には適切な処置を行うこと。

11.1 重大な副作用

  1. 11.1.1 ショック、アナフィラキシー(0.1%未満1)

    呼吸困難、全身潮紅、血管浮腫、蕁麻疹等の症状があらわれることがある。

  2. 11.1.2 誘発感染症、感染症の増悪(頻度不明)

    B型肝炎ウイルスの増殖による肝炎があらわれることがある。,,,,

  3. 11.1.3 続発性副腎皮質機能不全、糖尿病(頻度不明)

  4. 11.1.4 消化管潰瘍、消化管穿孔(頻度不明)

  5. 11.1.5 膵炎(頻度不明)
  6. 11.1.6 精神変調、うつ状態、痙攣(頻度不明)

  7. 11.1.7 骨粗鬆症、大腿骨及び上腕骨等の骨頭無菌性壊死、ミオパチー(頻度不明)

  8. 11.1.8 緑内障、後嚢白内障(頻度不明)

    連用により眼圧亢進、緑内障、後嚢白内障を来すことがある。,

  9. 11.1.9 血栓症(頻度不明)

1) 再評価結果を含む

11.2 その他の副作用

頻度不明

投与部位

関節の不安定化(関節腔内注射時)2)、疼痛・腫脹・圧痛の増悪(関節腔内注射時)、局所組織の萎縮による陥没(筋肉内又は皮内注射時)

内分泌系

月経異常、クッシング症候群様症状

消化器

下痢、悪心・嘔吐、胃痛、胸やけ、腹部膨満感、口渇、食欲不振、食欲亢進

精神神経系

多幸症、不眠、頭痛、めまい

筋・骨格

筋肉痛、関節痛

脂質・蛋白質代謝

満月様顔貌、野牛肩、窒素負平衡、脂肪肝

体液・電解質

浮腫、血圧上昇、低カリウム性アルカローシス

中心性漿液性網脈絡膜症等による網膜障害、眼球突出

血液

白血球増多

皮膚

ざ瘡、多毛、脱毛、色素沈着、皮下溢血、紫斑、線条、そう痒、発汗異常、顔面紅斑、脂肪織炎

その他

発熱、疲労感、ステロイド腎症、体重増加、精子数及びその運動性の増減、創傷治癒障害、皮膚・結合組織の菲薄化・脆弱化、しゃっくり

2) この症状は投与直後に患部を強く動かすと起こりやすいとされているので、投与後は患者をしばらく安静にさせること。

14. 適用上の注意

14.1 薬剤投与時の注意

  1. 14.1.1 投与経路

    本剤は用法・用量にしたがって使用し、静脈内注射、脊髄腔内注射、硬膜外注射、眼科用に使用しないこと。

  2. 14.1.2 筋肉内注射時

    下記の点に注意すること。

    • 筋肉内注射はやむを得ない場合にのみ、必要最小限に行うこと。
      同一部位への反復注射は行わないこと。
      特に小児等には注意すること。
    • 神経走行部位を避けること。
    • 注射針を刺入したとき、激痛を訴えたり、血液の逆流をみた場合は、直ちに針を抜き、部位をかえて注射すること。
    • 注射部位に疼痛、硬結をみることがある。

15. その他の注意

15.1 臨床使用に基づく情報

  1. 15.1.1 副腎皮質ホルモン剤を投与中の患者にワクチン(種痘等)を接種して神経障害、抗体反応の欠如が起きたとの報告がある。
  2. 15.1.2 プレドニゾロン経口製剤の投与中に、腸管嚢胞様気腫症、縦隔気腫が発現したとの報告がある。

16. 薬物動態

16.1 血中濃度

関節リウマチ患者の膝又は足首、各1例にベタメタゾン酢酸エステル4mg及びベタメタゾンリン酸エステルナトリウム1.32mg含有水性懸濁注射液を単回関節腔内注射したときの血漿中ベタメタゾン濃度を図16-1に示す。関節腔内注射後1~3時間で最高に達し、6時間以後次第に下降するが、48時間後にも血漿中に存在した2)(測定法:RIA)。

16.4 代謝

ベタメタゾンの一部はC-6位が代謝され6β-水酸化体になる。その主な代謝酵素はCYP3A4である3),4)

18. 薬効薬理

18.1 作用機序

ステロイドは細胞質に存在する熱ショック蛋白質、抑制蛋白質と複合体を形成したステロイド受容体に結合後核内に移行し、ステロイド反応性の遺伝子を活性化させ、その薬理作用を発揮すると考えられている。また、血管内皮細胞やリンパ球等の細胞膜の障害を抑制するような膜の安定性に関与する作用や、フォスフォリパーゼA2と呼ばれる細胞膜リン脂質からロイコトリエンやプロスタグランジンなど種々の炎症惹起物質を誘導する重要な酵素の機能を抑える作用も知られている。
炎症制御機序としては、単量体のステロイドとその受容体が複合体を形成することで、NFκBやAP-1と呼ばれるサイトカイン産生の誘導や細胞接着分子の発現等を調節している細胞内転写因子の機能を抑制し、2量体の受容体と結合した場合は、リポコルチン等の誘導を介すると考えられている5)。一方、免疫抑制機序は多彩である。リンパ組織からTリンパ球の遊出を抑制すると共に、その増殖や活性化に係るIL-2の産生を抑制し、更にアポトーシスを促進すること等により血中Tリンパ球数を低下させ細胞性免疫を障害する。また、好中球の遊走能及び貪食能を障害すると共に、マクロファージの貪食・殺菌能障害、TNF-α、IL-1などの炎症性サイトカイン産生抑制及びリンパ球への抗原提示能障害により液性及び細胞性免疫に影響する。更に、血中Bリンパ球数を低下させ、長期間使用時には免疫グロブリン産生量を低下させる。これら以外にも、好酸球や好塩基球、肥満細胞等にも影響する6)

18.2 薬理作用

ベタメタゾン酢酸エステル、ベタメタゾンリン酸エステルナトリウムは合成糖質副腎皮質ホルモンで、抗炎症作用、抗アレルギー作用、免疫抑制作用のほか、広範囲にわたる代謝作用を有する。

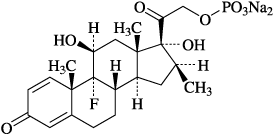
19. 有効成分に関する理化学的知見

19.1 ベタメタゾン酢酸エステル

一般的名称

ベタメタゾン酢酸エステル
(Betamethasone Acetate)(JAN)[局外規]

化学名

9-Fluoro-11β,17,21-trihydroxy-16β-methyl-1,4-pregnadiene-3,20-dione 21-acetate

分子式

C24H31FO6

分子量

434.50

性状

白色~微黄色の粉末で、においはない。
メタノール、エタノール(95)、アセトン又は1,4-ジオキサンに溶けやすく、クロロホルムにやや溶けやすく、水にほとんど溶けない。

化学構造式

融点

200~220℃(分解、乾燥後)

分配係数

588.8[pH7、1-オクタノール/緩衝液]

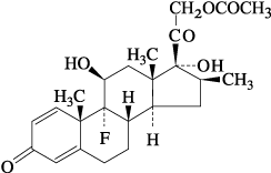
19.2 ベタメタゾンリン酸エステルナトリウム

一般的名称

ベタメタゾンリン酸エステルナトリウム
(Betamethasone Sodium Phosphate)(JAN)[日局]

化学名

9-Fluoro-11β,17,21-trihydroxy-16β-methylpregna-1,4-diene-3,20-dione 21-(disodium phosphate)

分子式

C22H28FNa2O8P

分子量

516.40

性状

白色~微黄白色の結晶性の粉末又は塊で、においはない。
水に溶けやすく、メタノールにやや溶けにくく、エタノール(95)に溶けにくく、ジエチルエーテルにほとんど溶けない。
吸湿性である。

化学構造式

融点

約213℃(分解)

20. 取扱い上の注意

遮光して保存すること。

22. 包装

10管[0.5mL×10]
50管[0.5mL×50]

24. 文献請求先及び問い合わせ先

塩野義製薬株式会社 医薬情報センター

〒541-0045大阪市中央区道修町3丁目1番8号

電話0120-956-734

FAX 06-6202-1541

https://med.shionogi.co.jp/

26. 製造販売業者等

26.1 製造販売元

シオノギファーマ株式会社

大阪府摂津市三島2丁目5番1号

26.2 販売元

塩野義製薬株式会社

大阪市中央区道修町3丁目1番8号

〒100-0013 東京都千代田区霞が関3-3-2 新霞が関ビル

画面を閉じる

Copyright © Pharmaceuticals and Medical Devices Agency, All Rights reserved.