医療用医薬品 詳細表示

オキノーム散2.5mg/オキノーム散5mg/オキノーム散10mg/オキノーム散20mg

処方せん医薬品

添付文書番号
企業コード
作成又は改訂年月
日本標準商品分類番号
薬効分類名
承認等
一般的名称
2.禁忌(次の患者には投与しないこと)
3.組成・性状
3.1組成
3.2製剤の性状
4.効能・効果
6.用法・用量
7.用法・用量に関連する注意
8.重要な基本的注意
9.特定の背景を有する患者に関する注意
9.1合併症・既往歴等のある患者
9.2腎機能障害患者
9.3肝機能障害患者
9.5妊婦
9.6授乳婦
9.7小児等
9.8高齢者
10.相互作用
10.1併用禁忌(併用しないこと)
10.2併用注意(併用に注意すること)
11.副作用
11.1重大な副作用
11.2その他の副作用
13.過量投与
14.適用上の注意
16.薬物動態
16.1血中濃度
16.2吸収
16.3分布
16.4代謝
16.5排泄
16.6特定の背景を有する患者
16.7薬物相互作用
17.臨床成績
17.1有効性及び安全性に関する試験
18.薬効薬理
18.1作用機序
18.2薬理作用
19.有効成分に関する理化学的知見
20.取扱い上の注意
22.包装
23.主要文献
24.文献請求先及び問い合わせ先
25.保険給付上の注意
26.製造販売業者等

オキノーム散2.5mg/オキノーム散5mg/オキノーム散10mg/オキノーム散20mg

添付文書番号

8119002B2023_2_07

企業コード

343018

作成又は改訂年月

**2026年3月改訂(第4版)
2024年11月改訂(第3版)

日本標準商品分類番号

878119

薬効分類名

がん疼痛治療用散剤

承認等

オキノーム散2.5mg

販売名コード

YJコード

8119002B2023

販売名英語表記

OXINORM Powder 2.5mg

販売名ひらがな

おきのーむさん2.5mg

承認番号等

承認番号

22200AMX00346000

販売開始年月

2007年2月

貯法・有効期間

貯法

室温保存

有効期間

5年

オキノーム散5mg

販売名コード

YJコード

8119002B3020

販売名英語表記

OXINORM Powder 5mg

販売名ひらがな

おきのーむさん5mg

承認番号等

承認番号

22200AMX00347000

販売開始年月

2007年2月

貯法・有効期間

貯法

室温保存

有効期間

5年

オキノーム散10mg

販売名コード

YJコード

8119002B4026

販売名英語表記

OXINORM Powder 10mg

販売名ひらがな

おきのーむさん10mg

承認番号等

承認番号

22200AMX00348000

販売開始年月

2009年9月

貯法・有効期間

貯法

室温保存

有効期間

5年

オキノーム散20mg

販売名コード

YJコード

8119002B5022

販売名英語表記

OXINORM Powder 20mg

販売名ひらがな

おきのーむさん20mg

承認番号等

承認番号

22500AMX01539000

販売開始年月

2014年1月

貯法・有効期間

貯法

室温保存

有効期間

5年

一般的名称

オキシコドン塩酸塩水和物

2. 禁忌(次の患者には投与しないこと)

  1. 2.1 重篤な呼吸抑制のある患者、重篤な慢性閉塞性肺疾患の患者[呼吸抑制を増強する。]
  2. 2.2 気管支喘息発作中の患者[呼吸を抑制し、気道分泌を妨げる。]
  3. 2.3 慢性肺疾患に続発する心不全の患者[呼吸抑制や循環不全を増強する。]
  4. 2.4 痙攣状態(てんかん重積症、破傷風、ストリキニーネ中毒)にある患者[脊髄の刺激効果があらわれる。]
  5. 2.5 麻痺性イレウスの患者[消化管運動を抑制する。]
  6. 2.6 急性アルコール中毒の患者[呼吸抑制を増強する。]
  7. 2.7 アヘンアルカロイドに対し過敏症の患者
  8. 2.8 出血性大腸炎の患者[腸管出血性大腸菌(O157等)や赤痢菌等の重篤な細菌性下痢のある患者では、症状の悪化、治療期間の延長を来すおそれがある。]
  9. 2.9 ナルメフェン塩酸塩水和物を投与中又は投与中止後1週間以内の患者

3. 組成・性状

3.1 組成

オキノーム散2.5mg

1包(0.5g)中

有効成分オキシコドン塩酸塩水和物   2.88mg
(無水物として   2.5mgに相当 )
添加剤粉末還元麦芽糖水アメ、D-マンニトール、ヒドロキシプロピルセルロース、含水二酸化ケイ素  
濃度  0.5%

オキノーム散5mg

1包(1g)中

有効成分オキシコドン塩酸塩水和物   5.77mg
(無水物として   5mgに相当 )
添加剤粉末還元麦芽糖水アメ、D-マンニトール、ヒドロキシプロピルセルロース、含水二酸化ケイ素  
濃度  0.5%

オキノーム散10mg

1包(1g)中

有効成分オキシコドン塩酸塩水和物   11.54mg
(無水物として   10mgに相当 )
添加剤粉末還元麦芽糖水アメ、D-マンニトール、ヒドロキシプロピルセルロース、含水二酸化ケイ素  
濃度  1%

オキノーム散20mg

1包(1g)中

有効成分オキシコドン塩酸塩水和物   23.07mg
(無水物として   20mgに相当 )
添加剤粉末還元麦芽糖水アメ、D-マンニトール、ヒドロキシプロピルセルロース、含水二酸化ケイ素  
濃度  2%

3.2 製剤の性状

オキノーム散2.5mg

性状・剤形白色の散剤である。

オキノーム散5mg

性状・剤形白色の散剤である。

オキノーム散10mg

性状・剤形白色の散剤である。

オキノーム散20mg

性状・剤形白色の散剤である。

4. 効能・効果

中等度から高度の疼痛を伴う各種癌における鎮痛

6. 用法・用量

通常、成人にはオキシコドン塩酸塩(無水物)として1日10~80mgを4回に分割経口投与する。
なお、症状に応じて適宜増減する。

7. 用法・用量に関連する注意

  • 〈臨時追加投与(レスキュー薬の投与)として本剤を使用する場合〉
    1. 7.1 疼痛が増強した場合や鎮痛効果が得られている患者で突発性の疼痛が発現した場合は、直ちに本剤の臨時追加投与を行い鎮痛を図ること。本剤の1回量は定時投与中のオキシコドン塩酸塩経口製剤の1日量の1/8~1/4を経口投与すること。
  • 〈定時投与時〉
    1. 7.2 本剤の1日量を4分割して使用する場合には、6時間ごとの定時に経口投与すること。
      1. 7.2.1 初回投与

        本剤の投与開始前のオピオイド鎮痛薬による治療の有無を考慮して初回投与量を設定することとし、既に治療されている場合にはその投与量及び鎮痛効果の持続を考慮して副作用の発現に注意しながら適宜投与量を調節すること。

        1. (1) オピオイド鎮痛薬を使用していない患者には、疼痛の程度に応じてオキシコドン塩酸塩として10~20mgを1日投与量とすることが望ましい。
        2. (2) モルヒネ製剤の経口投与を本剤に変更する場合には、モルヒネ製剤1日投与量の2/3量を1日投与量の目安とすることが望ましい。
        3. (3) 経皮フェンタニル貼付剤から本剤へ変更する場合には、経皮フェンタニル貼付剤剥離後にフェンタニルの血中濃度が50%に減少するまで17時間以上かかることから、剥離直後の本剤の使用は避け、本剤の使用を開始するまでに、フェンタニルの血中濃度が適切な濃度に低下するまでの時間をあけるとともに、本剤の低用量から投与することを考慮すること。
      1. 7.2.2 増量

        本剤投与開始後は患者の状態を観察し、適切な鎮痛効果が得られ副作用が最小となるよう用量調整を行うこと。2.5mgから5mgへの増量の場合を除き増量の目安は、使用量の25~50%増とする。

      2. 7.2.3 減量

        連用中における急激な減量は、退薬症候があらわれることがあるので行わないこと。副作用等により減量する場合は、患者の状態を観察しながら慎重に行うこと。,

      3. 7.2.4 投与の中止

        本剤の投与を必要としなくなった場合には、退薬症候の発現を防ぐために徐々に減量すること。,

8. 重要な基本的注意

  1. 8.1 連用により薬物依存を生じることがあるので、観察を十分に行い、慎重に投与すること。
  2. 8.2 眠気、眩暈が起こることがあるので、本剤投与中の患者には自動車の運転等危険を伴う機械の操作に従事させないように注意すること。
  3. 8.3 本剤を投与する場合には、便秘に対する対策として緩下剤、嘔気・嘔吐に対する対策として制吐剤の併用を、また、鎮痛効果が得られている患者で通常とは異なる強い眠気がある場合には、過量投与の可能性を念頭において本剤の減量を考慮するなど、本剤投与時の副作用に十分注意すること。,
  4. 8.4 本剤を増量する場合には、副作用に十分注意すること。
  5. 8.5 本剤の医療目的外使用を防止するため、適切な処方を行い、保管に留意するとともに、患者等に対して適切な指導を行うこと。,

9. 特定の背景を有する患者に関する注意

9.1 合併症・既往歴等のある患者

  1. 9.1.1 細菌性下痢のある患者

    治療上やむを得ないと判断される場合を除き、投与しないこと。治療期間の延長を来すおそれがある。

  2. 9.1.2 心機能障害あるいは低血圧のある患者

    循環不全を増強するおそれがある。

  3. 9.1.3 呼吸機能障害のある患者

    呼吸抑制を増強するおそれがある。

  4. 9.1.4 脳に器質的障害のある患者

    呼吸抑制や頭蓋内圧の上昇を起こすおそれがある。

  5. 9.1.5 ショック状態にある患者

    循環不全や呼吸抑制を増強するおそれがある。

  6. 9.1.6 代謝性アシドーシスのある患者

    呼吸抑制を起こしたときアシドーシスを増悪させるおそれがある。

  7. 9.1.7 甲状腺機能低下症(粘液水腫等)の患者

    呼吸抑制や昏睡を起こすおそれがある。

  8. 9.1.8 副腎皮質機能低下症(アジソン病等)の患者

    呼吸抑制作用に対し、感受性が高くなっている。

  9. 9.1.9 薬物・アルコール依存又はその既往歴のある患者

    依存性を生じやすい。

  10. 9.1.10 薬物、アルコール等による精神障害のある患者

    症状が増悪するおそれがある。

  11. 9.1.11 衰弱者

    呼吸抑制作用に対し、感受性が高くなっている。

  12. 9.1.12 前立腺肥大による排尿障害、尿道狭窄、尿路手術術後の患者

    排尿障害を増悪することがある。

  13. 9.1.13 器質的幽門狭窄又は最近消化管手術を行った患者

    消化管運動を抑制する。

  14. 9.1.14 痙攣の既往歴のある患者

    痙攣を誘発するおそれがある。

  15. 9.1.15 胆嚢障害、胆石症又は膵炎の患者

    オッジ筋を収縮させ症状が増悪することがある。

  16. 9.1.16 重篤な炎症性腸疾患のある患者

    連用した場合、巨大結腸症を起こすおそれがある。

9.2 腎機能障害患者

排泄が遅延し副作用があらわれるおそれがある。

9.3 肝機能障害患者

代謝が遅延し副作用があらわれるおそれがある。

9.5 妊婦

  1. 9.5.1 妊婦又は妊娠している可能性のある女性には、治療上の有益性が危険性を上回ると判断される場合にのみ投与すること。オキシコドンでは催奇形作用は認められていないが、類薬のモルヒネの動物試験(マウス、ラット)で催奇形作用が報告されている。
  2. 9.5.2 分娩前に投与した場合、出産後新生児に退薬症候(多動、神経過敏、不眠、振戦等)があらわれることがある。
  3. 9.5.3 分娩時の投与により、新生児に呼吸抑制があらわれることがある。

9.6 授乳婦

本剤投与中は授乳を避けさせること。ヒト母乳中へ移行することが報告されている。

9.7 小児等

小児等を対象とした臨床試験は実施していない。

9.8 高齢者

患者の状態を観察しながら、慎重に投与すること。一般に生理機能が低下しており、特に呼吸抑制の感受性が高い。

10. 相互作用

  • 本剤は、主として薬物代謝酵素CYP3A4及び一部CYP2D6で代謝される。

10.1 併用禁忌(併用しないこと)

薬剤名等臨床症状・措置方法機序・危険因子
  • ナルメフェン塩酸塩水和物
    • セリンクロ

本剤の鎮痛作用を減弱させることがある。また、退薬症候を起こすことがある。

μオピオイド受容体拮抗作用により、本剤の作用が競合的に阻害される。

10.2 併用注意(併用に注意すること)

薬剤名等臨床症状・措置方法機序・危険因子
  • 中枢神経抑制剤
    • フェノチアジン誘導体、バルビツール酸誘導体等
  • 吸入麻酔剤
  • MAO阻害剤
  • 三環系抗うつ剤
  • β遮断剤
  • アルコール

臨床症状:呼吸抑制、低血圧及び顕著な鎮静又は昏睡が起こることがある。
措置方法:減量するなど慎重に投与すること。

相加的に中枢神経抑制作用を増強させる。

  • クマリン系抗凝血剤
    • ワルファリンカリウム

クマリン系抗凝血剤の作用が増強されることがあるので投与量を調節するなど慎重に投与すること。

機序は不明である。

  • 抗コリン作用を有する薬剤
    • フェノチアジン系薬剤、三環系抗うつ剤等

臨床症状:麻痺性イレウスに至る重篤な便秘又は尿貯留が起こることがある。

相加的に抗コリン作用を増強させる。

  • ブプレノルフィン、ペンタゾシン等

本剤の鎮痛作用を減弱させることがある。また、退薬症候を起こすことがある。

ブプレノルフィン、ペンタゾシン等は本剤の作用するμ受容体の部分アゴニストである。

  • CYP3A4阻害作用を有する薬剤
    • ボリコナゾール、イトラコナゾール、フルコナゾール、リトナビル、クラリスロマイシン等

,,

本剤の血中濃度が上昇し、副作用が発現するおそれがあるので、観察を十分に行い、慎重に投与すること。

CYP3A4を介する本剤の代謝が阻害される。

CYP3A4誘導作用を有する薬剤

    • リファンピシン、カルバマゼピン、フェニトイン等

本剤の血中濃度が低下し、作用が減弱する可能性がある。なお、これらの薬剤の中止後に、本剤の血中濃度が上昇し、副作用が発現するおそれがあるので、観察を十分に行い、慎重に投与すること。

CYP3A4を介する本剤の代謝が促進される。

11. 副作用

次の副作用があらわれることがあるので、観察を十分に行い、異常が認められた場合には投与を中止するなど適切な処置を行うこと。

11.1 重大な副作用

  1. 11.1.1 ショック、アナフィラキシー(いずれも頻度不明)

    顔面蒼白、血圧低下、呼吸困難、頻脈、全身発赤、血管性浮腫、蕁麻疹等の症状があらわれた場合には投与を中止し、適切な処置を行うこと。

  2. 11.1.2 依存性(頻度不明)

    連用により薬物依存を生じることがある。また、連用中における投与量の急激な減少ないし投与の中止により、あくび、くしゃみ、流涙、発汗、悪心、嘔吐、下痢、腹痛、散瞳、頭痛、不眠、不安、譫妄、痙攣、振戦、全身の筋肉・関節痛、呼吸促迫、動悸等の退薬症候があらわれることがあるので、投与を中止する場合には、1日用量を徐々に減量するなど、患者の状態を観察しながら行うこと。,,

  3. 11.1.3 呼吸抑制(頻度不明)

    息切れ、呼吸緩慢、不規則な呼吸、呼吸異常等があらわれた場合には、投与を中止するなど適切な処置を行うこと。
    なお、本剤による呼吸抑制には、麻薬拮抗剤(ナロキソン、レバロルファン等)が拮抗する。,,

  4. 11.1.4 錯乱(頻度不明)、譫妄(2%未満)
  5. 11.1.5 無気肺、気管支痙攣、喉頭浮腫(いずれも頻度不明)
  6. 11.1.6 麻痺性イレウス、中毒性巨大結腸(いずれも頻度不明)

    炎症性腸疾患の患者に投与した場合、中毒性巨大結腸があらわれるとの報告がある。

  7. 11.1.7 肝機能障害(頻度不明)

    AST、ALT、Al-P等の著しい上昇を伴う肝機能障害があらわれることがある。

11.2 その他の副作用

5%以上

5%未満

頻度不明

過敏症

発疹、蕁麻疹

循環器

低血圧

不整脈、血圧変動、起立性低血圧、失神

精神神経系

眠気(16.9%)、傾眠、眩暈

頭痛・頭重感、不眠

発汗、幻覚、意識障害、しびれ、筋れん縮、焦燥、不安、異夢、悪夢、興奮、視調節障害、縮瞳、神経過敏、感覚異常、痙攣、振戦、筋緊張亢進、健忘、抑うつ、感情不安定、多幸感、思考異常、構語障害、痛覚過敏1)、アロディニア

*消化器

便秘(26.8%)、嘔気(16.9%)、嘔吐

下痢、食欲不振、胃不快感、口渇

腹痛、おくび、鼓腸、味覚異常、嚥下障害、オッジ筋の機能不全

その他

そう痒感、発熱、倦怠感、血管拡張(顔面潮紅、熱感)、呼吸困難

悪寒、頭蓋内圧の亢進、脱力感、胸部圧迫感、排尿障害、尿閉、脱水、無月経、性欲減退、勃起障害、浮腫、皮膚乾燥

1) 増量により痛みが増悪する。

13. 過量投与

  1. 13.1 症状

    呼吸抑制、意識不明、痙攣、錯乱、血圧低下、重篤な脱力感、重篤な眩暈、嗜眠、心拍数の減少、神経過敏、不安、縮瞳、皮膚冷感等を起こすことがある。

  2. 13.2 処置

    麻薬拮抗剤投与を行い、患者に退薬症候又は麻薬拮抗剤の副作用が発現しないよう慎重に投与する。なお、麻薬拮抗剤の作用持続時間はオキシコドンのそれより短いので、患者のモニタリングを行うか又は患者の反応に応じて初回投与後は注入速度を調節しながら持続静注する。,

14. 適用上の注意

14.1 薬剤交付時の注意

  1. 14.1.1 具体的な服用方法、服用時の注意点、保管方法等を十分に説明し、本剤の目的以外への使用あるいは他人への譲渡をしないよう指導するとともに、本剤を子供の手の届かないところに保管するよう指導すること。
  2. 14.1.2 本剤が不要となった場合には、病院又は薬局へ返納するなどの処置について適切に指導すること。

16. 薬物動態

16.1 血中濃度

  1. 16.1.1 単回投与

    がん疼痛患者を対象に、オキシコドン塩酸塩散2.5mg、5mgを食後単回経口投与したときの、オキシコドン及びノルオキシコドンの血漿中濃度を図16-1、16-2に、薬物動態パラメータを表16-1に示す1)

    表16-1 薬物動態パラメータ

    投与量
    (mg)

    例数

    Cmax
    (ng/mL)

    Tmax
    (hr)

    AUC0-6
    (ng・hr/mL)

    T1/2
    (hr)

    2.5

    オキシコドン

    18

    6.80±1.89

    1.9±1.4

    28.3±6.4

    6.0±3.9

    ノルオキシコドン

    2.32±1.18

    2.1±1.4

    9.59±5.26

    5

    オキシコドン

    16

    13.7±4.8

    1.7±1.3

    53.2±20.0

    4.5±2.3

    ノルオキシコドン

    5.28±1.91

    1.8±1.2

    23.8±9.5

    ※:1.5時間のみ15例

    (測定法:化学発光検出HPLC)(平均値±標準偏差)

16.2 吸収

  1. 16.2.1 バイオアベイラビリティ

    オキシコドン塩酸塩の健康成人9例でのバイオアベイラビリティは約60%であった2)。また、がん患者12例でのバイオアベイラビリティは平均87%であった3)(外国人データ)。

  2. 16.2.2 食事の影響

    健康成人22例においてオキシコドン塩酸塩内用液剤20mgを単回経口投与したときの食事の影響について評価したところ、空腹時に比べ高脂肪食摂取後でCmaxは約80%に低下し、AUCは約1.2倍に増大した4)(外国人データ)。

16.3 分布

  1. 16.3.1 体組織への移行

    3H]-オキシコドン塩酸塩水和物をラットに投与したとき、速やかに全身に分布し、ほとんどの組織で投与約1時間後に最高濃度を示し、その後速やかに低下した。作用部位である脳内における消失は、他の組織に比べて緩やかであった。なお、投与72時間後すべての組織において残留することはなかった5)

  2. 16.3.2 母乳中への移行

    オキシコドン塩酸塩とアセトアミノフェンの合剤を授乳婦6例に経口投与したとき、母乳への移行が認められ、そのときの投与0.25~12時間後におけるオキシコドン塩酸塩濃度の乳汁/血漿中濃度の平均比率は3.4であった6)(外国人データ)。

16.4 代謝

  1. 16.4.1 ヒトにおけるオキシコドンの主代謝経路は、N-脱メチル化反応によるノルオキシコドンへの代謝であり、O-脱メチル化反応によるオキシモルフォンへの代謝及びグルクロン酸抱合代謝を受けることが知られている7)
  2. 16.4.2 オキシコドンの代謝についてヒト肝ミクロソームを用いて検討した結果、ノルオキシコドンへの代謝についてはCYP3A4が、オキシモルフォンへの代謝についてはCYP2D6が主に関与していることが確認された7)in vitro)。

16.5 排泄

健康成人9例にオキシコドン塩酸塩0.28mg/kgを経口投与したとき、投与後24時間までの尿中に投与量の5.5±2.5%(平均値±標準偏差)が未変化体として、また、2.3±5.5%がオキシコドンの抱合体として排泄された。また、尿中にはノルオキシコドンとオキシモルフォン抱合体も排泄された2)(外国人データ)。

16.6 特定の背景を有する患者

  1. 16.6.1 腎障害者

    腎障害者12例(クレアチニンクリアランス:60mL/min未満)にオキシコドン塩酸塩徐放錠20mgを空腹時単回経口投与したとき、AUC並びにCmaxはそれぞれ健康成人の約1.6倍及び1.4倍であった。腎障害者の鎮静作用は健康成人に比べて増加傾向を示した8)(外国人データ)。

  2. 16.6.2 肝障害者

    肝障害者12例にオキシコドン塩酸塩徐放錠20mgを空腹時単回経口投与したとき、AUC並びにCmaxはそれぞれ健康成人の約2倍及び約1.5倍と有意に高く、薬力学的評価項目を増強させる傾向がみられた9)(外国人データ)。

  3. 16.6.3 高齢者

    健康高齢者(65~79歳)、健康非高齢者(21~45歳)各14例にオキシコドン塩酸塩徐放錠20mgを空腹時単回経口投与したとき、薬物動態に関しては高齢者と非高齢者との間に差は認められなかった10)(外国人データ)。

  4. 16.6.4 男女差

    健康成人男女各14例にオキシコドン塩酸塩徐放錠20mgを空腹時単回経口投与したとき、女性では、Cmax並びにAUCが、いずれも男性より約1.4倍高かった10)(外国人データ)。

16.7 薬物相互作用

  1. 16.7.1 ボリコナゾール(100~200mg/日、経口投与)とオキシコドン塩酸塩(24~48mg/日、持続皮下投与)を4日間併用した症例(1例)の定常状態時におけるオキシコドンの血漿中濃度は、測定した全症例の平均の3.57倍であった11)(国内におけるオキシコドン注射剤の臨床試験成績)。
    また、ボリコナゾール〔400mg/日(2日目のみ600mg/日)〕の経口投与中にオキシコドン塩酸塩(10mg)を単回経口投与した場合、オキシコドンのCmaxが1.72倍、AUCが3.61倍上昇したとの報告がある12)(外国人データ)。
  2. 16.7.2 リトナビル(600mg/日)の経口投与中にオキシコドン塩酸塩(10mg)を単回経口投与した場合、オキシコドンのCmaxが1.74倍、AUCが2.95倍上昇したとの報告がある13)(外国人データ)。
  3. 16.7.3 クラリスロマイシン(1000mg/日:承認外用量)の経口投与中にオキシコドン塩酸塩(10mg)を単回経口投与した場合、若年者群(19~25歳)のオキシコドンのCmaxが1.45倍、AUCが2.02倍上昇し、また、高齢者群(70~77歳)のオキシコドンのCmaxが1.68倍、AUCが2.31倍上昇したとの報告がある14)(外国人データ)。
  4. 16.7.4 リファンピシン(600mg/日)の経口投与中にオキシコドン塩酸塩を単回静脈内投与(0.1mg/kg)した場合でAUCが1/2.2に、単回経口投与(15mg)した場合でAUCが1/7.1に減少したとの報告がある15)(外国人データ)。

17. 臨床成績

17.1 有効性及び安全性に関する試験

承認時における一般臨床試験での中等度から高度のがん疼痛を有する患者に対する臨床試験成績の概要を以下に示す。

  1. 17.1.1 国内第Ⅲ相試験(オープンラベル試験)
    1. (1) 疼痛コントロール達成率

      本剤投与による疼痛コントロール達成状況を評価したところ、90%以上の疼痛コントロール達成率が得られた1)

      表17-1 疼痛コントロール達成率

      治療開始前のオピオイド系
      鎮痛剤の使用状況

      疼痛コントロール
      達成例数/評価対象例数

      疼痛コントロール
      達成率(%)

      あり

      39/43

      90.7

      なし

      22/23

      95.7

      合計

      61/66

      92.4

    2. (2) 疼痛強度評点

      本剤投与開始24時間後及び本剤投与終了時の疼痛強度は、本剤投与前に比べて有意に改善していた。なお、疼痛強度の評価は患者自身による4段階評価(評点:0=なし「痛くない」、1=軽度「少し痛い」、2=中等度「痛い」、3=高度「非常に痛い」)で行った1)

      表17-2 疼痛強度評点

      観察時期

      評価症例数

      疼痛強度評点
      (平均値±標準偏差)

      p値

      投与前

      66

      1.4±0.8

      投与開始24時間後

      65

      1.0±0.7

      <0.0001

      投与終了時

      61

      0.8±0.4

      <0.0001

      ※:投与前に対するWilcoxon符号付き順位検定によるp値。投与開始24時間後及び投与終了時で疼痛強度が「不明」例は除いた。

    3. (3) 副作用発現頻度は63.4%(45/71例)であった。主な副作用は、便秘26.8%(19/71例)、眠気、嘔気 各16.9%(12/71例)であった1)
  2. 17.1.2 国内第Ⅲ相試験(臨時追加投与)

    オキシコドン塩酸塩水和物徐放錠の定時投与時に発現する突発性疼痛に対して、本剤を臨時追加投与したところ、投与1時間後の疼痛強度(CAT)は本剤投与前に比べて有意に軽減した。また、投与1時間後の鎮痛効果についても有効率2)は80%であった。
    鎮痛効果の発現3)は投与15分以内から認められ、30分以内に85%の患者において効果が認められた。

    副作用発現頻度は83.7%(41/49例)であった。主な副作用は、便秘40.8%(20/49例)、嘔気36.7%(18/49例)、眠気24.5%(12/49例)、嘔吐20.4%(10/49例)、食欲不振14.3%(7/49例)、傾眠12.2%(6/49例)、めまい10.2%(5/49例)であった16)

     

    2) 患者自身による本剤投与1時間後の鎮痛評価(1:「よく効いた」、2:「効いた」、3:「少し効いた」、4:「効かなかった」)のうち、「よく効いた」、「効いた」の占める割合

    3) 患者が鎮痛効果があらわれ始めたと感じた時間

18. 薬効薬理

18.1 作用機序

モルヒネと同様にμオピオイド受容体を介して鎮痛作用を示すものと考えられる。

18.2 薬理作用

鎮痛作用についてモルヒネ硫酸塩を対照薬として検討した。
マウスのHot plate法、Tail pressure法、酢酸ライジング法及びラットのTail flick法(いずれも経口投与)を用いて検討した結果、オキシコドン塩酸塩はモルヒネ硫酸塩よりED50値で3~6倍、効力比で3~5倍強い鎮痛作用を示した17)

表18-1 鎮痛作用

試験法

動物種

ED50(95%信頼限界)mg/kg

オキシコドン塩酸塩

モルヒネ硫酸塩

Hot plate法

マウス

3.2(0.9-5.3)

15.6(8.6-21.9)

Tail pressure法

マウス

3.5(2.7-4.5)

8.9(4.8-12.7)

酢酸ライジング法

マウス

2.3(1.6-4.0)

7.0(4.6-15.6)

Tail flick法

ラット

3.8(1.8-5.5)

21.6(19.2-24.2)

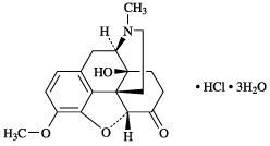
19. 有効成分に関する理化学的知見

一般的名称

オキシコドン塩酸塩水和物
(Oxycodone Hydrochloride Hydrate)(JAN)[日局]

化学名

(5R)-4,5-Epoxy-14-hydroxy-3-methoxy-17-methylmorphinan-6-one monohydrochloride trihydrate

分子式

C18H21NO4・HCl・3H2O

分子量

405.87

性状

白色の結晶性の粉末である。
水、メタノール又は酢酸(100)に溶けやすく、エタノール(95)にやや溶けにくく、無水酢酸に溶けにくい。
1.0gを水10mLに溶かした液のpHは3.8~5.8である。
光によって変化する。

化学構造式

20. 取扱い上の注意

スティック開封後は遮光して保存すること。

22. 包装

  • 〈オキノーム散2.5mg〉

    30包[0.5g(スティック)×30]

  • 〈オキノーム散5mg〉

    30包[1g(スティック)×30]

  • 〈オキノーム散10mg〉

    30包[1g(スティック)×30]

  • 〈オキノーム散20mg〉

    30包[1g(スティック)×30]

23. 主要文献

1) 社内資料: 第Ⅲ相試験、オープンラベル試験〔200601395〕

2) Pöyhiä, R. et al. : Br. J. Clin. Pharmacol. 1992; 33: 617-621〔200200714〕

3) Leow, K. P. et al. : Clin. Pharmacol. Ther. 1992; 52: 487-495〔200200096〕

4) 社内資料: 食事の影響試験〔200601397〕

5) 社内資料: ラットにおける組織分布(2003/4/16承認、オキシコンチン錠申請資料概要ヘ. 2. (2) 1) )〔200200801〕

6) Marx, C. M. et al. : Drug Intell. Clin. Pharm. 1986; 20: 474〔200200817〕

7) 社内資料: 肝代謝酵素(2003/4/16承認、オキシコンチン錠申請資料概要ヘ. 2. (3) )〔200200896〕

8) 社内資料: 腎機能障害者における薬物動態(2003/4/16承認、オキシコンチン錠申請資料概要ヘ. 3. (1) 6) )〔200200892〕

9) 社内資料: 肝機能障害者における薬物動態(2003/4/16承認、オキシコンチン錠申請資料概要ヘ. 3. (1) 7) )〔200200891〕

10) 社内資料: 高齢者における薬物動態(2003/4/16承認、オキシコンチン錠申請資料概要ヘ. 3. (1) 5) )〔200200893〕

11) 社内資料: 国内第Ⅲ相試験、有効性及び安全性の概要(2012/1/18承認、オキファスト注申請資料概要2.5.5.5)〔201101502〕

12) Hagelberg, N. M. et al. : Eur. J. Clin. Pharmacol. 2009; 65: 263-271〔201000805〕

13) Nieminen, T. H. et al. : Eur. J. Clin. Pharmacol. 2010; 66: 977-985〔201400539〕

14) Liukas, A. et al. : J. Clin. Psychopharmacol. 2011; 31: 302-308〔201300014〕

15) Nieminen, T. H. et al. : Anesthesiology. 2009; 110: 1371-1378〔201400540〕

16) 社内資料: 第Ⅲ相試験、継続投与試験〔200601396〕

17) 社内資料: マウス、ラットにおける鎮痛作用(2003/4/16承認、オキシコンチン錠申請資料概要ホ. 1. (1) )〔200200799〕

24. 文献請求先及び問い合わせ先

塩野義製薬株式会社 医薬情報センター

〒541-0045大阪市中央区道修町3丁目1番8号

電話0120-956-734

https://med.shionogi.co.jp/

25. 保険給付上の注意

本剤は厚生労働省告示第75号(平成24年3月5日付)に基づき、投薬量は1回30日分を限度とされている。

26. 製造販売業者等

26.1 製造販売元

シオノギファーマ株式会社

大阪府摂津市三島2丁目5番1号

26.2 販売元

塩野義製薬株式会社

大阪市中央区道修町3丁目1番8号

26.3 提携

ムンディファーマ B.V.

〒100-0013 東京都千代田区霞が関3-3-2 新霞が関ビル

画面を閉じる

Copyright © Pharmaceuticals and Medical Devices Agency, All Rights reserved.