医療用医薬品 詳細表示

オペガン0.6眼粘弾剤1%/オペガン1.1眼粘弾剤1%

処方せん医薬品以外の医薬品

添付文書番号
企業コード
作成又は改訂年月
日本標準商品分類番号
薬効分類名
承認等
一般的名称
3.組成・性状
3.1組成
3.2製剤の性状
4.効能又は効果
6.用法及び用量
8.重要な基本的注意
9.特定の背景を有する患者に関する注意
9.1合併症・既往歴等のある患者
11.副作用
11.2その他の副作用
14.適用上の注意
16.薬物動態
16.3分布
16.4代謝
16.5排泄
17.臨床成績
17.1有効性及び安全性に関する試験
18.薬効薬理
18.1作用機序
18.2前房深度の維持
18.3眼内組織の保護
19.有効成分に関する理化学的知見
20.取扱い上の注意
22.包装
23.主要文献
24.文献請求先及び問い合わせ先
25.保険給付上の注意
26.製造販売業者等

オペガン0.6眼粘弾剤1%/オペガン1.1眼粘弾剤1%

添付文書番号

1319720Q7111_1_11

企業コード

380003

作成又は改訂年月

2023年7月改訂(第1版)

日本標準商品分類番号

871319

薬効分類名

眼科手術補助剤

承認等

オペガン0.6眼粘弾剤1%

販売名コード

YJコード

1319720Q7111

販売名英語表記

OPEGAN 0.6 Ophthalmic Viscoelastic Preparation 1%

販売名ひらがな

おぺがん0.6がんねんだんざい1%

承認番号等

承認番号

21900AMX01130000

販売開始年月

1999年7月

貯法・有効期間

貯法

室温保存

有効期間

3年

オペガン1.1眼粘弾剤1%

販売名コード

YJコード

1319720Q9041

販売名英語表記

OPEGAN 1.1 Ophthalmic Viscoelastic Preparation 1%

販売名ひらがな

おぺがん1.1がんねんだんざい1%

承認番号等

承認番号

21900AMX01108000

販売開始年月

1999年7月

貯法・有効期間

貯法

室温保存

有効期間

3年

一般的名称

精製ヒアルロン酸ナトリウム

3. 組成・性状

3.1 組成

オペガン0.6眼粘弾剤1%

有効成分1筒(0.6mL)中
日局 精製ヒアルロン酸ナトリウム   6mg
添加剤塩化ナトリウム、リン酸二水素ナトリウム水和物、リン酸水素ナトリウム水和物

オペガン1.1眼粘弾剤1%

有効成分1筒(1.1mL)中
日局 精製ヒアルロン酸ナトリウム   11mg
添加剤塩化ナトリウム、リン酸二水素ナトリウム水和物、リン酸水素ナトリウム水和物

3.2 製剤の性状

オペガン0.6眼粘弾剤1%

剤形プレフィルドシリンジ製剤
pH6.8~7.8
浸透圧比1.0~1.2(生理食塩液に対する比)
性状無色澄明の粘稠な液
極限粘度11.8~19.5(dL/g)

オペガン1.1眼粘弾剤1%

剤形プレフィルドシリンジ製剤
pH6.8~7.8
浸透圧比1.0~1.2(生理食塩液に対する比)
性状無色澄明の粘稠な液
極限粘度11.8~19.5(dL/g)

4. 効能又は効果

白内障手術・眼内レンズ挿入術・全層角膜移植術における手術補助

6. 用法及び用量

  • ○白内障手術・眼内レンズ挿入術を連続して施行する場合には、通常0.4~1.0mLを前房内へ注入する。また、眼内レンズのコーティングに約0.1mL使用する。ただし、白内障手術又は眼内レンズ挿入術のみを施行する場合には、以下のとおりとする。
    • 白内障手術:通常0.1~0.6mLを前房内へ注入する。
      眼内レンズ挿入術:眼内レンズ挿入前に、通常0.1~0.5mLを前房内へ注入する。また、眼内レンズのコーティングに約0.1mL使用する。
  • ○全層角膜移植術:移植眼の角膜片を除去後に、通常0.1~0.5mLを前房内へ注入し、移植片角膜を本剤上に浮遊させて縫合を行う。また、提供眼の移植片角膜のコーティングに約0.1mL使用する。

8. 重要な基本的注意

  1. 8.1 注意深く、ゆっくりと注入すること。
  2. 8.2 過量に注入しないこと。術後の眼圧上昇の原因となる可能性がある。
  3. 8.3 超音波乳化吸引術を行う前に吸引灌流を行い、水晶体と本剤との間に灌流液で満たした空間を作ること。空間が不十分なまま超音波乳化吸引を行うと、チップの閉塞により灌流不全となり角膜熱傷を起こすことがある。
  4. 8.4 特に手術直後は、注意深く眼圧を観察すること。もし眼圧上昇があらわれた場合は適切な処置を行うこと。
  5. 8.5 手術後、できるだけ洗浄等により本剤を除去することが望ましい。

9. 特定の背景を有する患者に関する注意

9.1 合併症・既往歴等のある患者

  1. 9.1.1 本剤の成分又は蛋白系薬剤に対し過敏症の既往歴のある患者

    治療上やむを得ないと判断される場合を除き、投与しないこと。

11. 副作用

次の副作用があらわれることがあるので、観察を十分に行い、異常が認められた場合には投与を中止するなど適切な処置を行うこと。

11.2 その他の副作用

0.1%以上5%未満

0.1%未満

眼圧上昇

炎症反応、嚢胞様黄斑浮腫、角膜浮腫、角膜混濁、前房出血、虹彩新生血管、虹彩後癒着、結膜癒着不全、散瞳、水晶体混濁、浅前房、疼痛、霧視、かゆみ

その他

眼内レンズ表面の混濁

注)使用成績調査を含む

14. 適用上の注意

14.1 薬剤使用時の注意

  1. 14.1.1 本剤の有効成分である精製ヒアルロン酸ナトリウムは、ベンザルコニウム塩化物等の第4級アンモニウム塩及びクロルヘキシジンにより沈殿を生じることがあるので十分注意すること。
  2. 14.1.2 本剤の開封後の使用は1回限りとし、残液は容器とともに廃棄すること。

16. 薬物動態

16.3 分布

ウサギ前房内に注入された本剤は、24時間で房水中から消失し(生物学的半減期は1.4時間)1) 、虹彩、強角膜接合部及び角膜に分布する2)

16.4 代謝

ウサギ前房内に注入された本剤の大部分は、注入時の分子量のまま房水中の蛋白と複合体を形成して隅角部房水叢から排泄されるが、一部は虹彩リソゾーム内に取り込まれ、ヒアルロニダーゼにより分解される3),4)

16.5 排泄

ウサギ体内に入ったヒアルロン酸ナトリウムの代謝は主に肝臓で行われるが、大部分が呼気中にCO2として排泄され、一部尿中に低分子体がみられる。糞及び胆汁中へはほとんど排泄されない5)

17. 臨床成績

17.1 有効性及び安全性に関する試験

  • 〈白内障手術〉
    1. 17.1.1 国内第III相比較試験

      白内障患者224例を対象とし、超音波水晶体乳化吸引術(PEA)による白内障手術時において眼内灌流液のみを用いた従来の手術方法との比較検討を行った。その結果、本剤投与群の角膜内皮細胞密度の減少率は眼内灌流群に対して有意に低く(P<0.01、t検定)、眼内組織保護効果が認められた。術後12週目に、角膜内皮細胞の保護効果を主として、眼内炎症の程度、眼圧、視力等の所見を総合して評価する有効率は87.1%(88/101例)で、眼内灌流群に比べて有意に優れていた(P<0.001、U検定)。
      副作用はみられなかった6)

    2. 17.1.2 国内第III相一般臨床試験

      白内障患者32例を対象とし、計画的嚢外摘出術(ECCE)による白内障手術を行った結果、術後12週目に、角膜内皮細胞の保護効果を主として、眼内炎症の程度、眼圧、視力等の所見を総合して評価する有効率は100%(31/31例)であった。
      副作用はみられなかった7)

  • 〈眼内レンズ挿入術〉
    1. 17.1.3 国内一般臨床試験

      老人性白内障患者229例を対象とし、ヒアルロン酸ナトリウムを使用し眼内レンズ挿入術を実施した結果、術後12週目に、手術前後の眼圧、角膜の厚さ、角膜内皮細胞数、術中・術後の前房深度、視力等の観察項目に基づいて判定する有効率は100%(229/229例)であった。また、“手術のしやすさ”、“手術の経過”について評価した総合判定では、手術が「極めてやりやすかった+比較的やりやすかった」症例は97.4%(223/229例)、手術の経過が「極めて良かった+比較的良かった」症例は95.6%(219/229例)であった。
      副作用は、眼圧上昇3例、眼内レンズ前面の混濁2例及び霧視やかゆみ2例の計7例であった8)

  • 〈全層角膜移植術〉
    1. 17.1.4 国内一般臨床試験

      円錐角膜や角膜白斑等の角膜移植を必要とする患者62例を対象とし、ヒアルロン酸ナトリウムを使用し全層角膜移植術を実施した結果、術後12週目に、手術前後の眼圧、角膜の厚さ、角膜内皮細胞数、術中・術後の前房深度、視力等の観察項目に基づいて判定する有効率は86.9%(53/61例)であった。また、“手術のしやすさ”、“手術の経過”について評価した総合判定では、手術が「極めてやりやすかった+比較的やりやすかった」症例は91.9%(57/62例)、手術の経過が「極めて良かった+比較的良かった」症例は87.1%(54/62例)であった。
      副作用は、角膜浮腫+浅前房1例、眼圧上昇1例、瞳孔散大1例の計3例であった8)

18. 薬効薬理

18.1 作用機序

本剤は前眼部手術に適用するとき、前房深度の維持及び眼内組織の保護により手術を容易にし、その予後を良好に保つ。

18.2 前房深度の維持

患者(成人男女)に対する試験8) 及びウサギ摘出眼球を用いたin vitro試験9) において、本剤は極めて高い粘弾性により、前房内の組織を押し広げ、術中に前房深度が浅くなることを防止した。その結果、手術操作の空間を広く確保し、操作を容易にした。

18.3 眼内組織の保護

  1. 18.3.1 ウサギ摘出角膜を用いたin vitro試験において、本剤は前房内組織(角膜内皮、水晶体嚢等)を被覆し、本剤の有する粘弾性により手術器具、眼内レンズ等による機械的侵襲から組織を保護した10)
  2. 18.3.2 ウサギ摘出眼球を用いたin vitro試験において、超音波水晶体乳化吸引における前房内組織障害に対し抑制効果を示した11),12)

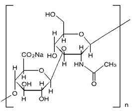
19. 有効成分に関する理化学的知見

一般的名称

精製ヒアルロン酸ナトリウム(Purified Sodium Hyaluronate)

分子式

(C14H20NNaO11)n

分子量

平均分子量50万~120万

性状

本品は白色の粉末、粒又は繊維状の塊である。
本品は水にやや溶けにくく、エタノール(99.5)にほとんど溶けない。
本品は吸湿性である。

化学構造式

20. 取扱い上の注意

  1. 20.1 ブリスター包装内は滅菌済みのため、使用直前に開封すること。開封後は速やかに使用すること。
  2. 20.2 ブリスター包装が開封していたり、破損している場合、使用しないこと。

22. 包装

  • 〈オペガン0.6眼粘弾剤1%〉

    0.6mL×1筒

  • 〈オペガン1.1眼粘弾剤1%〉

    1.1mL×1筒

24. 文献請求先及び問い合わせ先

参天製薬株式会社 製品情報センター

〒530-8552(個別郵便番号)大阪市北区大深町4-20

電話 0120-921-839 06-7664-8624
受付時間 9:00~17:00(土・日・祝日を除く)

25. 保険給付上の注意

  • [オペガン1.1眼粘弾剤1%の保険適用上の取扱い]

    本製剤は、連続して行われる白内障手術及び眼内レンズ挿入術に伴って使用される場合に限り算定できるものであること。
    (平成11年5月14日付保険発第73号厚生省保険局医療課長通知)

26. 製造販売業者等

26.1 製造販売元

生化学工業株式会社

東京都千代田区丸の内一丁目6-1

26.2 発売元

参天製薬株式会社

大阪市北区大深町4-20



〒100-0013 東京都千代田区霞が関3-3-2 新霞が関ビル

画面を閉じる

Copyright © Pharmaceuticals and Medical Devices Agency, All Rights reserved.