医療用医薬品 詳細表示

ジョイクル関節注30mg

処方せん医薬品

添付文書番号
企業コード
作成又は改訂年月
日本標準商品分類番号
薬効分類名
承認等
一般的名称
1.警告
2.禁忌(次の患者には投与しないこと)
3.組成・性状
3.1組成
3.2製剤の性状
4.効能又は効果
6.用法及び用量
8.重要な基本的注意
9.特定の背景を有する患者に関する注意
9.1合併症・既往歴等のある患者
9.5妊婦
9.6授乳婦
9.7小児等
10.相互作用
10.2併用注意(併用に注意すること)
11.副作用
11.1重大な副作用
11.2その他の副作用
14.適用上の注意
16.薬物動態
16.1血中濃度
16.3分布
16.4代謝
16.5排泄
17.臨床成績
17.1有効性及び安全性に関する試験
18.薬効薬理
18.1作用機序
19.有効成分に関する理化学的知見
20.取扱い上の注意
21.承認条件
22.包装
23.主要文献
24.文献請求先及び問い合わせ先
26.製造販売業者等

ジョイクル関節注30mg

添付文書番号

3999458G1024_1_04

企業コード

380003

作成又は改訂年月

**2024年10月改訂(第5版)
2022年4月改訂

日本標準商品分類番号

873999

薬効分類名

関節機能改善剤

承認等

ジョイクル関節注30mg

販売名コード

YJコード

3999458G1024

販売名英語表記

JOYCLU 30mg intra-articular injection

販売名ひらがな

じょいくるかんせつちゅう30みりぐらむ

承認番号等

承認番号

30300AMX00234000

販売開始年月

2021年5月

貯法・有効期間

貯法

凍結を避け、2~8℃で保存

有効期間

*36ヵ月

一般的名称

ジクロフェナクエタルヒアルロン酸ナトリウム

1. 警告

本剤投与により重篤なショック、アナフィラキシーが発現することがあるので、本剤は、緊急時に十分な対応のできる準備をした上で投与し、投与後も十分な観察を行うこと。,

2. 禁忌(次の患者には投与しないこと)

  1. 2.1 本剤の成分、ジクロフェナクナトリウム及びヒアルロン酸ナトリウムに対し過敏症の既往歴のある患者
  2. 2.2 アスピリン喘息(非ステロイド性消炎鎮痛剤等により誘発される喘息発作)又はその既往歴のある患者

3. 組成・性状

3.1 組成

ジョイクル関節注30mg

有効成分1シリンジ(3mL)中にジクロフェナクエタルヒアルロン酸ナトリウム   30mgを含有する。
添加剤マクロゴール400   (189mg)

3.2 製剤の性状

ジョイクル関節注30mg

pH4.8~5.4
浸透圧比0.9~1.1(生理食塩液に対する比)
性状無色澄明の粘稠な水性注射液

4. 効能又は効果

変形性関節症(膝関節、股関節)

6. 用法及び用量

通常、成人1回1シリンジ(ジクロフェナクエタルヒアルロン酸ナトリウムとして1回30mg)を4週間ごとに関節腔内に投与する。

8. 重要な基本的注意

  1. 8.1 本剤投与により重篤なショック、アナフィラキシーが発現することがあるので、投与に際しては、緊急処置を取れる準備をすること。投与中及び投与後は患者の状態を十分に観察すること。
    また、ショック、アナフィラキシーが発現する可能性があること、及びその徴候や症状について患者又は家族等に十分に説明し、異常が認められた場合には、速やかに医療機関を受診するよう、患者等を指導すること。,
  2. 8.2 本剤の投与により、ときに局所痛があらわれることがあるので、投与後の局所安静などを患者に指示すること。
  3. 8.3 本剤が関節腔外に漏れると疼痛を起こすおそれがあるので、関節腔内に確実に投与すること。
  4. 8.4 投与関節の炎症又は関節液貯留が著しい場合は、本剤の投与により局所炎症症状の悪化を招くおそれがあるので、炎症症状を抑えてから本剤を投与することが望ましい。

9. 特定の背景を有する患者に関する注意

9.1 合併症・既往歴等のある患者

  1. 9.1.1 投与関節部に皮膚疾患又は感染のある患者

    関節内感染を誘発するおそれがある。

  2. 9.1.2 気管支喘息のある患者(アスピリン喘息又はその既往歴がある患者を除く)

    アスピリン喘息でないことを十分に確認すること。
    気管支喘息患者の中にはアスピリン喘息患者も含まれている可能性があり、それらの患者では重症喘息発作を誘発するおそれがある。

9.5 妊婦

**妊婦又は妊娠している可能性のある女性には、治療上の有益性が危険性を上回ると判断される場合にのみ投与すること。シクロオキシゲナーゼ阻害剤(経口剤、坐剤)を妊婦に使用し、胎児の腎機能障害及び尿量減少、それに伴う羊水過少症が起きたとの報告がある。シクロオキシゲナーゼ阻害剤を妊娠中期以降の妊婦に使用し、胎児動脈管収縮が起きたとの報告がある。また、本剤を単回膝関節腔内投与したラットにおいて、胎盤・胎児移行性が認められている1)

9.6 授乳婦

治療上の有益性及び母乳栄養の有益性を考慮し、授乳の継続又は中止を検討すること。本剤のラットにおける単回膝関節腔内投与時に乳汁中への移行が認められている2)

9.7 小児等

小児等を対象とした臨床試験は実施していない。

10. 相互作用

    10.2 併用注意(併用に注意すること)

    薬剤名等臨床症状・措置方法機序・危険因子

    ニューキノロン系抗菌剤

    • ノルフロキサシン、シプロフロキサシン等

    痙攣を起こすおそれがある。痙攣が発現した場合には、気道を確保し、ジアゼパムの静注等を行う。

    ニューキノロン系抗菌剤が脳内の抑制性神経伝達物質であるGABAの受容体結合を濃度依存的に阻害し、ある種の非ステロイド性消炎鎮痛剤との共存下ではその阻害作用が増強されることが動物で報告されている3)

    11. 副作用

    次の副作用があらわれることがあるので、観察を十分に行い、異常が認められた場合には投与を中止するなど適切な処置を行うこと。

    11.1 重大な副作用

    1. 11.1.1 ショック、アナフィラキシー(0.4%)

      ,

    11.2 その他の副作用

    1%~5%未満

    0.1%~1%未満

    頻度不明

    神経系障害

    頭痛、振戦

    心臓障害

    動悸

    呼吸器、胸郭および縦隔障害

    呼吸困難

    胃腸障害

    悪心、嘔吐

    *皮膚および皮下組織障害

    蕁麻疹、そう痒症、発疹、紅斑、血管性浮腫

    筋骨格系および結合組織障害

    筋骨格痛、筋肉痛、四肢不快感

    一般・全身障害および投与部位の状態

    注射部位関節痛

    倦怠感、発熱、注射部位関節腫脹

    臨床検査

    γ-グルタミルトランスフェラーゼ増加、肝機能検査異常

    14. 適用上の注意

    14.1 薬剤投与前の注意

    1. 14.1.1 本剤を箱又はブリスター包装の状態で冷蔵庫から取り出し、遮光下で室温に戻してから投与すること。
    2. 14.1.2 関節液の貯留があるときには、必要に応じ穿刺により排液すること。

    14.2 薬剤投与時の注意

    1. 14.2.1 本剤は関節腔内に投与するので、厳重な無菌的操作のもとに行うこと。
    2. 14.2.2 本剤は粘稠なため、22~23G程度の注射針を用いて投与することが望ましい。
    3. 14.2.3 *注射針をルアーロックにしっかり固定すること。
    4. 14.2.4 ブリスター包装を開封後は速やかに使用すること。

    14.3 薬剤投与後の注意

    1. 14.3.1 本剤は1回使用の製剤であり、再使用しないこと。

    16. 薬物動態

    16.1 血中濃度

    健康成人(6例)に本剤30mgを単回膝関節腔内投与したときの血漿中ジクロフェナクエタルヒアルロン酸ナトリウム及びジクロフェナクの薬物動態パラメータは以下のとおりであった(日本人データ)4)

    薬物動態パラメータ(6例)

    薬物動態パラメータ

    ジクロフェナクエタルヒアルロン酸ナトリウム

    ジクロフェナク

    Cmaxa)
    (ng/mL)

    d)

    0.808
    (12.8)

    Tmaxb)
    (h)

    d)

    24.00
    (12.00, 24.05)

    AUC0-168ha)
    (ng・h/mL)

    d)

    64.46
    (14.1)

    AUC0-∞a)
    (ng・h/mL)

    d)

    74.87c)
    (14.5)

    t1/2a)
    (h)

    d)

    61.52
    (31.5)

    a)幾何平均値(幾何CV[%])
    b)中央値(最小値, 最大値)
    c)5例
    d)投与後28日までの全時点で定量下限未満(<0.2µg/mL)であったため算出不可

    16.3 分布

    ウサギに14C-ジクロフェナクエタルヒアルロン酸ナトリウム5mgを単回膝関節腔内投与したとき、放射能は速やかに膝関節組織に分布した5)

    16.4 代謝

    ジクロフェナクエタルヒアルロン酸ナトリウムは、主にジクロフェナクの遊離とヒアルロン酸の低分子化により代謝される。
    健康成人(6例)に本剤60mg1)を単回膝関節腔内投与したとき、主な血漿中代謝物は低分子化したヒアルロン酸が結合しているジクロフェナク、ジクロフェナク及びその類縁体(代謝物)であった(外国人データ)4)

    1) 承認を受けた用法及び用量:30mgを4週間ごとに関節腔内に投与

    16.5 排泄

    健康成人(6例)に本剤30mgを単回膝関節腔内投与したとき、投与されたジクロフェナクの2.8%が、投与後7日までにジクロフェナク又は低分子化したヒアルロン酸が結合しているジクロフェナク等として尿中に排泄された(日本人データ)4)
    ラットに14C-ジクロフェナクエタルヒアルロン酸ナトリウム0.5mgを単回膝関節腔内投与したとき、投与後70日までの尿中及び糞中への放射能排泄率は、それぞれ52.5%及び43.0%であった6)

    17. 臨床成績

    17.1 有効性及び安全性に関する試験

    1. 17.1.1 国内第Ⅲ相試験(613/1031試験)

      変形性関節症(膝関節)の患者440例を対象に無作為化プラセボ対照二重盲検並行群間比較試験を実施し、本剤30mgを膝関節腔内に4週間ごとに繰り返し投与したときの有効性及び安全性を検討した。主要評価項目であるWOMAC painスコア(100mmVAS)の初回投与後12週間の平均のベースラインからの変化量はプラセボ-17.1mm、本剤-23.2mmであった。群間差は-6.1mm[95%信頼区間:-9.4, -2.8mm]であり、プラセボに対する本剤の優越性が検証された(p<0.001)7)

      投与群

      例数

      ベースライン
      平均値±標準偏差

      初回投与後12週間のベースラインからの変化量a)

      変化量調整済平均値
      [95%信頼区間]

      プラセボとの差
      [95%信頼区間]

      P値

      プラセボ

      220

      65.2±7.6

      -17.1
      [-19.8, -14.4]

      本剤

      218

      64.9±7.9

      -23.2
      [-25.9, -20.4]

      -6.1
      [-9.4, -2.8]

      p<0.001

      a)投与群、評価時点、投与群と評価時点の交互作用、ベースライン値、Kellgren and Lawrence分類、性別及び医療機関を共変量とし、患者における測定時点間の相関構造は無構造の共分散構造を仮定したmixed model for repeated measures解析

      副作用発現頻度は、4.1%(9/220例)であり、主に認められた副作用は、注射部位関節痛1.8%(4/220例)であった。
      重篤な副作用として、アナフィラキシーショック及びアナフィラキシー反応が各0.5%(1/220例)認められた7)

    2. 17.1.2 国内第Ⅲ相試験(613/1033試験)

      変形性関節症(肩2)、肘2)、股、足関節2))の患者290例を対象に無作為化プラセボ対照二重盲検並行群間比較試験を実施し、本剤30mgを対象関節腔内に4週間ごとに3回投与したときの有効性及び安全性を検討した。主要評価項目である被験者日誌による対象部位の痛みスコア(11points NRS)の初回投与後12週間の平均のベースラインからの変化量の群間差[95%信頼区間]は、股関節で-0.81[-1.48, -0.13]であり、群間差の点推定値が0を下回った8)

      2) 承認を受けた効能又は効果:変形性関節症(膝関節、股関節)

      対象関節

      投与群

      例数

      ベースライン
      平均値±標準偏差

      初回投与後12週間のベースラインからの変化量a)

      変化量調整済平均値
      [95%信頼区間]

      プラセボとの差
      [95%信頼区間]

      股関節

      プラセボ

      44

      6.99±1.05

      -2.10
      [-2.93, -1.26]

      本剤

      46

      6.89±1.08

      -2.90
      [-3.66, -2.15]

      -0.81
      [-1.48, -0.13]

      a)投与群、評価時点、投与群と評価時点の交互作用、変形性関節症の分類、病期分類、ベースライン値、年齢及び性別を共変量とし、患者における測定時点間の相関構造は無構造の共分散構造を仮定したmixed model for repeated measures解析

      副作用発現頻度は、4.1%(6/146例)であり、主に認められた副作用は、倦怠感1.4%(2/146例)であった8)

    18. 薬効薬理

    18.1 作用機序

    本剤は、滑膜細胞での高分子量ヒアルロン酸の産生促進、軟骨細胞でのマトリックスメタロプロテアーゼの産生抑制及びシクロオキシゲナーゼ阻害によるプロスタグランジン類の産生抑制を介して、変形性関節症の臨床症状を改善すると考えられる。

    18.2 疼痛抑制作用

    関節疼痛モデルラットにおいて、炎症足への荷重負荷の増加及び歩行状態の改善が認められた9)

    18.3 抗炎症作用

    関節炎モデルラットにおいて、関節腫脹の軽減が認められ10)、また関節炎モデルウサギにおいて、関節液中のプロスタグランジンE2濃度の低下が認められた11)

    18.4 関節軟骨に対する作用

    IL-1で刺激した正常ヒト軟骨細胞において、マトリックスメタロプロテアーゼの産生抑制が認められた(in vitro12)

    18.5 滑膜に対する作用

    変形性関節症患者由来の滑膜細胞において、高分子量ヒアルロン酸の産生亢進が認められた(in vitro13)

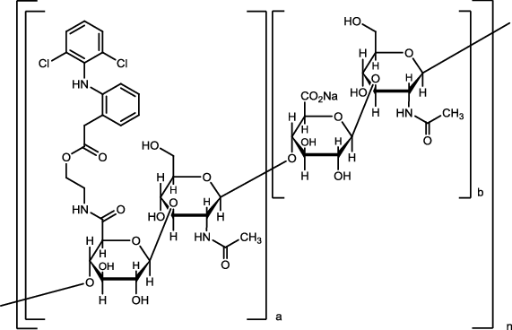
    19. 有効成分に関する理化学的知見

    一般的名称

    ジクロフェナクエタルヒアルロン酸ナトリウム(Diclofenac Etalhyaluronate Sodium)[JAN]

    分子式

    [(C30H35Cl2N3O12)a(C14H20NNaO11)b]n
    aとbの比は約1:5である

    分子量

    約130万(ポリエチレンオキサイド換算)

    性状

    白色の粉末

    化学構造式

    20. 取扱い上の注意

    1. 20.1 外箱開封後は、遮光して保存すること。
    2. 20.2 ブリスター包装が開封していたり、破損している場合、又はシリンジにひび・破損等の異常が認められるときは使用しないこと。

    21. 承認条件

    医薬品リスク管理計画を策定の上、適切に実施すること。

    22. 包装

    1シリンジ[3mL×1]
    10シリンジ[3mL×10]

    23. 主要文献

    1) 生化学工業(株)社内資料:ラットを用いた薬物動態試験(2021年3月23日承認、CTD2.6.4.4.4)

    2) 生化学工業(株)社内資料:ラットを用いた薬物動態試験(2021年3月23日承認、CTD2.6.4.6.3)

    3) 堀 誠治.:日本化学療法学会雑誌. 2004;52:293-303.

    4) 生化学工業(株)社内資料:第Ⅰ相試験(613/1111試験)(2021年3月23日承認、CTD2.7.6.1)

    5) 生化学工業(株)社内資料:ウサギを用いた薬物動態試験(2021年3月23日承認、CTD2.6.4.4.2.1)

    6) 生化学工業(株)社内資料:ラットを用いた薬物動態試験(2021年3月23日承認、CTD2.6.4.6.1.1)

    7) 生化学工業(株)社内資料:国内第Ⅲ相試験(613/1031試験)(2021年3月23日承認、CTD2.7.6.4)

    8) 生化学工業(株)社内資料:国内第Ⅲ相試験(613/1033試験)(2021年3月23日承認、CTD2.7.6.5)

    9) 生化学工業(株)社内資料:関節炎モデルラットを用いた薬理試験(鎮痛作用)(2021年3月23日承認、CTD2.6.2.2.2.1)

    10) 生化学工業(株)社内資料:関節炎モデルラットを用いた薬理試験(抗炎症作用)(2021年3月23日承認、CTD2.6.2.2.2.3)

    11) 生化学工業(株)社内資料:関節炎モデルウサギを用いた薬理試験(2021年3月23日承認、CTD2.6.2.2.2.6)

    12) 生化学工業(株)社内資料:ヒト軟骨細胞を用いた薬理試験(2021年3月23日承認、CTD2.6.2.2.1.2)

    13) 生化学工業(株)社内資料:ヒト滑膜細胞を用いた薬理試験(2021年3月23日承認、CTD2.6.2.2.1.3)

    24. 文献請求先及び問い合わせ先

    小野薬品工業株式会社 くすり相談室

    〒541-8564 大阪市中央区久太郎町1丁目8番2号

    電話 0120-626-190

    26. 製造販売業者等

    26.1 製造販売元

    生化学工業株式会社

    東京都千代田区丸の内一丁目6-1

    26.2 販売元

    小野薬品工業株式会社

    大阪市中央区久太郎町1丁目8番2号



    〒100-0013 東京都千代田区霞が関3-3-2 新霞が関ビル

    画面を閉じる

    Copyright © Pharmaceuticals and Medical Devices Agency, All Rights reserved.