医療用医薬品 詳細表示

ヒアルロン酸Na点眼液0.1%「センジュ」/ヒアルロン酸Na点眼液0.3%「センジュ」

処方せん医薬品以外の医薬品

添付文書番号
企業コード
作成又は改訂年月
日本標準商品分類番号
薬効分類名
承認等
一般的名称
3.組成・性状
3.1組成
3.2製剤の性状
4.効能又は効果
6.用法及び用量
9.特定の背景を有する患者に関する注意
9.5妊婦
9.6授乳婦
9.7小児等
11.副作用
11.2その他の副作用
14.適用上の注意
17.臨床成績
17.1有効性及び安全性に関する試験
18.薬効薬理
18.1作用機序
18.2角膜上皮創傷治癒促進作用
18.3角膜上皮伸展促進作用
18.4保水作用
18.5生物学的同等性試験
19.有効成分に関する理化学的知見
22.包装
23.主要文献
24.文献請求先及び問い合わせ先
26.製造販売業者等

ヒアルロン酸Na点眼液0.1%「センジュ」/ヒアルロン酸Na点眼液0.3%「センジュ」

添付文書番号

1319720Q3230_1_02

企業コード

380086

作成又は改訂年月

2022年7月改訂(第1版)

日本標準商品分類番号

871319

薬効分類名

角結膜上皮障害治療用点眼剤

承認等

ヒアルロン酸Na点眼液0.1%「センジュ」

販売名コード

YJコード

1319720Q3230

販売名英語表記

HYALURONATE Na OPHTHALMIC SOLUTION 0.1%

販売名ひらがな

ひあるろんさんなとりうむてんがんえき0.1%「せんじゅ」

承認番号等

承認番号

30200AMX00590

販売開始年月

2002年7月

貯法・有効期間

貯法

室温保存

有効期間

3年

基準名

日本薬局方

精製ヒアルロン酸ナトリウム点眼液

ヒアルロン酸Na点眼液0.3%「センジュ」

販売名コード

YJコード

1319720Y2187

販売名英語表記

HYALURONATE Na OPHTHALMIC SOLUTION 0.3%

販売名ひらがな

ひあるろんさんなとりうむてんがんえき0.3%「せんじゅ」

承認番号等

承認番号

30200AMX00591

販売開始年月

2013年7月

貯法・有効期間

貯法

室温保存

有効期間

3年

基準名

日本薬局方

精製ヒアルロン酸ナトリウム点眼液

一般的名称

精製ヒアルロン酸ナトリウム

3. 組成・性状

3.1 組成

ヒアルロン酸Na点眼液0.1%「センジュ」

有効成分1mL中 精製ヒアルロン酸ナトリウム   1mg
添加剤ホウ酸、ホウ砂、クロルヘキシジングルコン酸塩、等張化剤

ヒアルロン酸Na点眼液0.3%「センジュ」

有効成分1mL中 精製ヒアルロン酸ナトリウム   3mg
添加剤ホウ酸、ホウ砂、クロルヘキシジングルコン酸塩、等張化剤

3.2 製剤の性状

ヒアルロン酸Na点眼液0.1%「センジュ」

pH6.5~7.5
浸透圧比生理食塩液に対する比:0.9~1.1
性状無色澄明の粘稠性の無菌水性点眼剤

ヒアルロン酸Na点眼液0.3%「センジュ」

pH6.8~7.8
浸透圧比生理食塩液に対する比:0.9~1.1
性状無色澄明の粘稠性の無菌水性点眼剤

4. 効能又は効果

  • 下記疾患に伴う角結膜上皮障害
    • 〇シェーグレン症候群、スティーブンス・ジョンソン症候群、眼球乾燥症候群(ドライアイ)等の内因性疾患
    • 〇術後、薬剤性、外傷、コンタクトレンズ装用等による外因性疾患

6. 用法及び用量

1回1滴、1日5~6回点眼し、症状により適宜増減する。
なお、通常は0.1%製剤を投与し、重症疾患等で効果不十分の場合には、0.3%製剤を投与する。

9. 特定の背景を有する患者に関する注意

9.5 妊婦

妊婦又は妊娠している可能性のある女性には診断又は治療上の有益性が危険性を上回ると判断される場合にのみ投与すること。

9.6 授乳婦

診断又は治療上の有益性及び母乳栄養の有益性を考慮し、授乳の継続又は中止を検討すること。

9.7 小児等

小児等を対象とした臨床試験は実施していない。

11. 副作用

次の副作用があらわれることがあるので、観察を十分に行い、異常が認められた場合には投与を中止するなど適切な処置を行うこと。

11.2 その他の副作用

1%~5%未満

1%未満

頻度不明

眼のそう痒感

眼刺激、眼脂、結膜充血、眼の異物感、眼瞼炎、結膜炎

びまん性表層角膜炎等の角膜障害、眼痛

14. 適用上の注意

14.1 薬剤交付時の注意

  • 患者に対し以下の点に注意するよう指導すること。
    • 薬液汚染防止のため、点眼のとき、容器の先端が直接目に触れないように注意すること。
    • 他の点眼剤を併用する場合には、少なくとも5分以上間隔をあけてから点眼すること。

17. 臨床成績

17.1 有効性及び安全性に関する試験

  1. 17.1.1 国内第Ⅲ相試験①

    ドライアイ等に伴う角結膜上皮障害患者を対象に、人工涙液を少なくとも1週間投与後、0.1%ヒアルロン酸ナトリウム点眼液又は2%グルタチオン点眼液を1回1滴、1日5回、両眼に4週間投与した試験で有効性及び安全性を比較した。その結果、0.1%ヒアルロン酸ナトリウム点眼液群の全般改善度での改善率は71.4%(40/56例)であり、2%グルタチオン点眼液群の31.5%(17/54例)と比較し、統計学的に有意な差が認められた(P<0.01、Wilcoxonの順位和検定)1)
    副作用は0.1%ヒアルロン酸ナトリウム点眼液群の55例中1例(1.8%)にしみるが認められた。

  2. 17.1.2 国内第Ⅲ相試験②

    ドライアイ(シェーグレン症候群を含む)に伴う中等度以上の角結膜上皮障害を両眼に同程度有している患者を対象に、人工涙液を2週間1日6回投与後、0.1%ヒアルロン酸ナトリウム点眼液(保存剤なし)及び基剤をそれぞれ片眼に1日6回、4週間投与した試験で有効性及び安全性を比較した。その結果、0.1%ヒアルロン酸ナトリウム点眼液(保存剤なし)群の全般改善度での改善率は51.6%(47/91眼)であり、基剤群の41.8%(38/91眼)と比較し、統計学的に有意な差が認められた(P<0.05、Wilcoxonの符号付き順位和検定)2)
    副作用は0.1%ヒアルロン酸ナトリウム点眼液(保存剤なし)群102例中2例(0.2%)に認められ、結膜浮腫及びアレルギー性結膜炎が各1例であった。

  3. 17.1.3 国内第Ⅲ相試験③

    コンタクトレンズ装用に伴う角結膜上皮障害患者を対象に、原則コンタクトレンズを装用したまま、0.1%ヒアルロン酸ナトリウム点眼液(保存剤なし)又は基剤を1日6回、両眼に2週間投与した試験で有効性及び安全性を比較した。その結果、0.1%ヒアルロン酸ナトリウム点眼液(保存剤なし)群の全般改善度での改善率は50.0%(12/24例)であり、基剤群の30.4%(7/23例)と比較し、統計学的に有意な差が認められた(P<0.05、Wilcoxonの順位和検定)3)
    副作用は認められなかった。

  4. 17.1.4 国内第Ⅲ相試験④

    難治性又は重症の角結膜上皮障害患者を対象に、0.3%ヒアルロン酸ナトリウム点眼液(保存剤なし)を1回1滴、1日6回、両眼に4週間投与した試験で有効性及び安全性を検討した。その結果、全般改善度での改善率は76.7%(23/30例)であった4)
    副作用は35例中1例(2.9%)にかゆみが認められた。

18. 薬効薬理

18.1 作用機序

ヒアルロン酸ナトリウムはフィブロネクチンと結合し、その作用を介して上皮細胞の接着、伸展を促進すると考えられる5),6) 。また、その分子内に多数の水分子を保持することによって優れた保水性を示す7)

18.2 角膜上皮創傷治癒促進作用

外科的に角膜上皮下の基底膜まで剝離したウサギ角膜上皮剝離モデルに対し、0.1~0.5%ヒアルロン酸ナトリウム溶液1) を点眼したとき、剝離24時間後より基剤点眼群と比較し有意な創傷面積の減少が認められた8)

18.3 角膜上皮伸展促進作用

ウサギ角膜片の培養系において、ヒアルロン酸ナトリウムは対照群(培養液のみ)と比較して有意に角膜上皮細胞層の伸展を促進した9)in vitro)。

18.4 保水作用

0.1%~1.0%ヒアルロン酸ナトリウム溶液1) を寒天平板に滴下したとき、水分蒸発による寒天重量の減少は濃度依存的に抑制された7)in vitro)。

18.5 生物学的同等性試験

  • 〈ヒアルロン酸Na点眼液0.1%「センジュ」〉
    1. 18.5.1 涙液保持作用

      ウサギに本剤あるいはヒアレイン点眼液0.1%をフルオレセインナトリウムとともに単回点眼し、点眼3分後の涙液中フルオレセインナトリウムの蛍光強度を涙液保持作用の指標として比較検討した。その結果、両製剤間における蛍光強度の平均値の差の90%信頼性区間は-0.0514~0.2662であり、ヒアレイン点眼液0.1%の平均値に対する割合が-1.55~8.04%と±20%以内であったことから、両剤の生物学的同等性が確認された10)

      表1

      フルオレセインナトリウムの蛍光強度

      本剤

      3.4198±0.2269

      ヒアレイン点眼液0.1%

      3.3124±0.3739

      平均値±標準偏差、n=10

    2. 18.5.2 角膜乾燥防止作用

      ウサギを強制的に開瞼して本剤あるいはヒアレイン点眼液0.1%を点眼し、点眼2時間後の角膜上皮障害の程度を角膜乾燥防止作用の指標として比較検討した。なお、角膜上皮障害の程度はメチレンブルーで障害部位を染色し、その抽出液の吸光度により定量的に求めた。その結果、両製剤間における吸光度の平均値の差の90%信頼性区間は-0.0060~0.0050であり、ヒアレイン点眼液0.1%の平均値に対する割合が-11.59~9.64%と±20%以内の範囲であったことから、両剤の生物学的同等性が確認された11)

      表2

      メチレンブルーの吸光度

      本剤

      0.0510±0.0197

      ヒアレイン点眼液0.1%

      0.0515±0.0225

      平均値±標準偏差、n=20

  • 〈ヒアルロン酸Na点眼液0.3%「センジュ」〉
    1. 18.5.3 n-ヘプタノール損傷による角膜創傷モデルに対する治療効果

      n-ヘプタノールにより角膜創傷させたウサギに対して、本剤、ヒアレインミニ点眼液0.3%あるいはControl(生理食塩液)を点眼し、創傷作製時及び24時間後の創傷面積から求めた治癒率を比較検討した。その結果、両剤ともにControlとの間に有意な差が認められ、両剤間では有意な差は認められず、両剤の生物学的同等性が確認された12)

      表3

      治癒率(%)

      本剤

      69.5±1.95

      ヒアレインミニ点眼液0.3%

      70.2±2.71

      Control(生理食塩液)

      60.2±2.58

      平均値±標準誤差、n=6
      :p<0.05〔Dunnettの多重比較検定、対Control(生理食塩液)〕

    2. 18.5.4 ドライアイモデルに対する角膜乾燥抑制効果

      ウサギのドライアイモデルに対して、本剤、ヒアレインミニ点眼液0.3%あるいはControl(生理食塩液)を点眼し、点眼1時間後、角膜障害部位を染色した。染色した角膜より抽出した液の吸光度から求めた色素量を比較検討した。その結果、両剤ともにControlとの間に有意な差が認められ、両剤間では有意な差は認められず、両剤の生物学的同等性が確認された12)

      表4

      色素量(μg)

      本剤

      1.24±0.13

      ヒアレインミニ点眼液0.3%

      1.19±0.13

      Control(生理食塩液)

      2.49±0.11

      平均値±標準誤差、n=7
      :p<0.05〔Dunnettの多重比較検定、対Control(生理食塩液)〕

1) 本剤の承認された濃度は0.1%及び0.3%である。

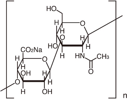
19. 有効成分に関する理化学的知見

一般的名称

精製ヒアルロン酸ナトリウム(Purified Sodium Hyaluronate)〔JAN〕

分子式

(C14H20NNaO11)n

分子量

平均分子量50万~149万

性状

精製ヒアルロン酸ナトリウムは白色の粉末、粒又は繊維状の塊である。
水にやや溶けにくく、エタノール(99.5)にほとんど溶けない。
吸湿性である。

化学構造式

22. 包装

  • 〈ヒアルロン酸Na点眼液0.1%「センジュ」〉

    プラスチック点眼容器 5mL×10、5mL×50

  • 〈ヒアルロン酸Na点眼液0.3%「センジュ」〉

    プラスチック点眼容器 5mL×10、5mL×50

24. 文献請求先及び問い合わせ先

千寿製薬株式会社 カスタマーサポート室

〒541-0048 大阪市中央区瓦町三丁目1番9号

TEL 0120-069-618 FAX 06-6201-0577
受付時間 9:00〜17:30(土、日、祝日を除く)

26. 製造販売業者等

26.1 製造販売元

千寿製薬株式会社

⼤阪市中央区⽡町三丁⽬1 番9 号

26.2 販売

武⽥薬品⼯業株式会社

⼤阪市中央区道修町四丁⽬1 番1 号

〒100-0013 東京都千代田区霞が関3-3-2 新霞が関ビル

画面を閉じる

Copyright © Pharmaceuticals and Medical Devices Agency, All Rights reserved.