医療用医薬品 詳細表示

ラタチモ配合点眼液「センジュ」

処方せん医薬品

添付文書番号
企業コード
作成又は改訂年月
日本標準商品分類番号
薬効分類名
承認等
一般的名称
2.禁忌(次の患者には投与しないこと)
3.組成・性状
3.1組成
3.2製剤の性状
4.効能又は効果
5.効能又は効果に関連する注意
6.用法及び用量
7.用法及び用量に関連する注意
8.重要な基本的注意
9.特定の背景を有する患者に関する注意
9.1合併症・既往歴等のある患者
9.5妊婦
9.6授乳婦
9.7小児等
9.8高齢者
10.相互作用
10.2併用注意(併用に注意すること)
11.副作用
11.1重大な副作用
11.2その他の副作用
14.適用上の注意
15.その他の注意
15.2非臨床試験に基づく情報
16.薬物動態
16.1血中濃度
16.3分布
16.8その他
17.臨床成績
17.1有効性及び安全性に関する試験
18.薬効薬理
18.1作用機序
18.2眼圧下降作用
19.有効成分に関する理化学的知見
20.取扱い上の注意
22.包装
23.主要文献
24.文献請求先及び問い合わせ先
26.製造販売業者等

ラタチモ配合点眼液「センジュ」

添付文書番号

1319817Q1039_1_06

企業コード

380086

作成又は改訂年月

2023年2月改訂(第1版)

日本標準商品分類番号

871319

薬効分類名

緑内障・高眼圧症治療剤

承認等

ラタチモ配合点眼液「センジュ」

販売名コード

YJコード

1319817Q1039

販売名英語表記

LATACHIMO COMBINATION OPHTHALMIC SOLUTION

販売名ひらがな

らたちもはいごうてんがんえき「せんじゅ」

承認番号等

承認番号

22900AMX00305

販売開始年月

2017年6月

貯法・有効期間

貯法

2〜8℃に保存

有効期間

3年

一般的名称

ラタノプロスト
チモロールマレイン酸塩

2. 禁忌(次の患者には投与しないこと)

  1. 2.1 本剤の成分に対して過敏症の既往歴のある患者
  2. 2.2 気管支喘息又はその既往歴のある患者、気管支痙攣又は重篤な慢性閉塞性肺疾患のある患者[喘息発作の誘発・増悪がみられるおそれがある。]
  3. 2.3 コントロール不十分な心不全、洞性徐脈、房室ブロック(Ⅱ、Ⅲ度)又は心原性ショックのある患者[これらの症状を増悪させるおそれがある。]

3. 組成・性状

3.1 組成

ラタチモ配合点眼液「センジュ」

有効成分1mL中 ラタノプロスト   50μg
1mL中 チモロールマレイン酸塩   6.83mg
(チモロールとして   5mg )
添加剤リン酸水素ナトリウム水和物、リン酸二水素ナトリウム水和物、ベンザルコニウム塩化物、等張化剤

3.2 製剤の性状

ラタチモ配合点眼液「センジュ」

pH5.8〜6.2
浸透圧比生理食塩液に対する比:0.9〜1.1
性状無色澄明の無菌水性点眼剤

4. 効能又は効果

緑内障、高眼圧症

5. 効能又は効果に関連する注意

原則として、単剤での治療を優先すること。

6. 用法及び用量

1回1滴、1日1回点眼する。

7. 用法及び用量に関連する注意

頻回投与により眼圧下降作用が減弱する可能性があるので、1日1回を超えて投与しないこと。

8. 重要な基本的注意

  1. 8.1 全身的に吸収される可能性があり、β遮断薬全身投与時と同様の副作用があらわれることがあるので、留意すること。
  2. 8.2 本剤の投与により、虹彩色素沈着(メラニンの増加)があらわれることがある。投与に際しては虹彩色素沈着及び色調変化について患者に十分説明しておくこと。ラタノプロスト投与による色素沈着は投与により徐々に増加し、投与中止により停止するが、投与中止後消失しないことが報告されている。また、虹彩色素沈着による色調変化があらわれる可能性があり、特に片眼治療の場合、左右眼で虹彩の色調に差が生じる可能性がある。褐色を基調とする虹彩の患者において、虹彩色素沈着が多く報告されているが、虹彩の変色が軽度であり、臨床所見によって発見されないことが多い。
  3. 8.3 本剤投与中に角膜上皮障害(点状表層角膜炎、糸状角膜炎、角膜びらん)があらわれることがあるので、しみる、そう痒感、眼痛等の自覚症状が持続する場合には、直ちに受診するよう患者に十分指導すること。
  4. 8.4 縮瞳薬からチモロールマレイン酸塩製剤に切り替える場合、縮瞳作用の消失に伴い、屈折調整を必要とすることがあることから、本剤投与の際も注意すること。
  5. 8.5 本剤の点眼後、一時的に霧視があらわれることがあるため、症状が回復するまで機械類の操作や自動車等の運転には従事させないよう注意すること。

9. 特定の背景を有する患者に関する注意

9.1 合併症・既往歴等のある患者

  1. 9.1.1 肺高血圧による右心不全のある患者

    肺高血圧症による右心不全の症状を増悪させるおそれがある。

  2. 9.1.2 うっ血性心不全のある患者

    うっ血性心不全の症状を増悪させるおそれがある。

  3. 9.1.3 糖尿病性ケトアシドーシス及び代謝性アシドーシスのある患者

    アシドーシスによる心筋収縮力の抑制を増強するおそれがある。

  4. 9.1.4 コントロール不十分な糖尿病のある患者

    血糖値に注意すること。低血糖症状をマスクすることがある。

  5. 9.1.5 無水晶体眼又は眼内レンズ挿入眼の患者

    ラタノプロスト投与により嚢胞様黄斑浮腫を含む黄斑浮腫、及びそれに伴う視力低下を起こすとの報告がある。

  6. 9.1.6 眼内炎(虹彩炎、ぶどう膜炎)のある患者

    ラタノプロスト投与により眼圧上昇がみられたとの報告がある。

  7. 9.1.7 ヘルペスウイルスが潜在している可能性のある患者

    ラタノプロスト投与により角膜ヘルペスがみられたとの報告がある。

  8. 9.1.8 閉塞隅角緑内障患者

    使用経験が少ない。

9.5 妊婦

妊婦又は妊娠している可能性のある女性には、治療上の有益性が危険性を上回ると判断される場合にのみ投与すること。
動物実験(妊娠ウサギ)における器官形成期投与試験において、ラタノプロストを臨床用量の約80倍量(5μg/kg/日)静脈内投与したことにより、流産及び後期吸収胚の発現率増加、胎児体重の減少が認められた。
チモロールマレイン酸塩を器官形成期のラットに500mg/kg/日の用量で経口投与した試験で化骨遅延が、マウスに1000mg/kg/日、ウサギに200mg/kg/日の用量で経口投与した試験で死亡胎児数の増加が認められた。

9.6 授乳婦

治療上の有益性及び母乳栄養の有益性を考慮し、授乳の継続又は中止を検討すること。
動物実験(ラット:静脈内投与)でラタノプロスト及びその代謝物は乳汁中へ移行することが報告されている。チモロールマレイン酸塩はヒト母乳中へ移行することがある。

9.7 小児等

小児等を対象とした臨床試験は実施していない。

9.8 高齢者

一般に生理機能が低下している。

10. 相互作用

    10.2 併用注意(併用に注意すること)

    薬剤名等臨床症状・措置方法機序・危険因子

    アドレナリン
    ジピベフリン塩酸塩

    散瞳作用が助長されたとの報告がある。

    機序不明

    カテコールアミン枯渇薬

    • レセルピン等

    交感神経系に対し、過剰の抑制を来すことがあり、低血圧、徐脈を生じ、眩暈、失神、起立性低血圧を起こすことがある。

    カテコールアミンの枯渇を起こす薬剤は、β遮断作用を相加的に増強する可能性がある。

    β遮断薬

    • アテノロール
      プロプラノロール塩酸塩
      メトプロロール酒石酸塩等

    眼圧下降あるいはβ遮断薬の全身的な作用が増強されることがある。

    作用が相加的にあらわれることがある。

    カルシウム拮抗薬

    • ベラパミル塩酸塩
      ジルチアゼム塩酸塩等

    房室伝導障害、左室不全、低血圧を起こすおそれがある。

    相互に作用が増強される。

    ジギタリス製剤

    • ジゴキシン
      ジギトキシン

    心刺激伝導障害(徐脈、房室ブロック等)があらわれるおそれがあるので、心機能に注意する。

    相加的に作用(心刺激伝導抑制作用)を増強させる。

    CYP2D6阻害作用を有する薬剤

    • キニジン硫酸塩水和物
      選択的セロトニン再取り込み阻害薬等

    β遮断作用(例えば心拍数減少、徐脈)の増強の報告がある。

    これらの薬剤はチモロールマレイン酸塩の代謝酵素であるP450(CYP2D6)を阻害し、チモロールの血中濃度が上昇する可能性がある。

    プロスタグランジン系点眼薬

    • イソプロピルウノプロストン
      ビマトプロスト等

    眼圧上昇がみられたとの報告がある。

    機序不明

    オミデネパグ イソプロピル

    チモロールマレイン酸塩との併用例で結膜充血等の眼炎症性副作用の発現頻度の上昇が認められた。

    機序不明

    11. 副作用

    次の副作用があらわれることがあるので、観察を十分に行い、異常が認められた場合には投与を中止するなど適切な処置を行うこと。

    11.1 重大な副作用

    1. 11.1.1 虹彩色素沈着(頻度不明)

      患者を定期的に観察し、虹彩色素沈着があらわれた場合には臨床状態に応じて投与を中止すること。

    2. 11.1.2 眼類天疱瘡(頻度不明)

      結膜充血、角膜上皮障害、乾性角結膜炎、結膜萎縮、睫毛内反、眼瞼眼球癒着等の症状があらわれた場合には投与を中止し、適切な処置を行うこと。

    3. 11.1.3 気管支痙攣(頻度不明)、呼吸困難(頻度不明)、呼吸不全(頻度不明)

      β遮断による気管支平滑筋収縮作用により、気管支痙攣、呼吸困難、呼吸不全があらわれることがある。

    4. 11.1.4 心ブロック(頻度不明)、心不全(頻度不明)、心停止(頻度不明)

      β遮断による陰性変時・変力作用により、心ブロック、心不全、心停止があらわれることがある。,,

    5. 11.1.5 脳虚血(頻度不明)、脳血管障害(頻度不明)
    6. 11.1.6 全身性エリテマトーデス(頻度不明)

    11.2 その他の副作用

    5%以上

    5%未満

    頻度不明


    結膜

    結膜炎、結膜充血

    結膜濾胞、結膜障害、眼脂、結膜浮腫、偽眼類天疱瘡


    ぶどう膜

    ぶどう膜炎、虹彩炎、虹彩嚢腫


    角膜

    角膜障害(角膜炎、点状表層角膜炎、角膜びらんを含む)

    角膜知覚低下、角膜浮腫、ヘルペス性角膜炎、角膜沈着物、角膜混濁、潰瘍性角膜炎


    眼瞼

    眼瞼炎(アレルギー性眼瞼炎を含む)、眼瞼発赤、眼瞼色素沈着、多毛症

    睫毛及びうぶ毛の変化(濃く、太く、長くなる)、睫毛乱生、眼瞼浮腫、眼瞼部皮膚障害、眼瞼下垂、眼瞼溝深化


    その他

    眼刺激(15.9%)

    眼乾燥感、視力低下

    そう痒感、眼痛、眼の異物感、眼の異常感、羞明、霧視、眼充血、流涙、視覚異常、視野欠損、屈折異常、複視、白内障、黄斑浮腫(嚢胞様黄斑浮腫を含む)及びそれに伴う視力低下、前房細胞析出、接触性皮膚炎、眼底黄斑部の浮腫・混濁a)

    循環器

    不整脈、動悸、狭心症、低血圧、高血圧、レイノー現象、四肢冷感、失神

    精神・神経系

    頭痛

    重症筋無力症の増悪、錯感覚、感覚異常、不眠、傾眠、悪夢、うつ病、めまい、リビドー減退、精神障害(錯乱、幻覚、不安、失見当識、神経過敏を含む)、記憶喪失、行動の変化

    消化器

    便秘

    悪心、消化不良、口渇、下痢、食欲不振、腹痛

    呼吸器

    鼻炎

    喘息、咳、肺水腫、鼻閉、上気道感染、咽頭違和感

    皮膚

    発疹

    そう痒感、脱毛症、乾癬

    代謝

    高カリウム血症

    糖尿病、高コレステロール血症

    生殖器

    ペイロニー病、勃起不全

    過敏症

    血管浮腫、蕁麻疹

    その他

    胸部不快感、悪寒、AST上昇、ALT上昇、ALP上昇、尿糖陽性

    耳鳴、胸痛、感染、浮腫、無力症、不快、関節炎、筋肉痛、関節痛

    a)無水晶体眼又は眼底に病変のある患者等に長期連用した場合

    14. 適用上の注意

    14.1 薬剤交付時の注意

    患者に対し以下の点に注意するよう指導すること。

    • 薬液汚染防止のため、点眼のとき、容器の先端が直接目に触れないように注意すること。
    • 患眼を開瞼して結膜嚢内に点眼し、1~5分間閉瞼して涙嚢部を圧迫させた後、開瞼すること。
    • 点眼のとき、液が眼瞼皮膚等についた場合には、すぐにふき取ること。
    • 他の点眼剤を併用する場合には、少なくとも5分以上間隔をあけてから点眼すること。
    • ベンザルコニウム塩化物によりコンタクトレンズを変色させることがあるので、コンタクトレンズを装用している場合には、点眼前にレンズを外し、本剤を投与してから15分以上経過後に再装用すること。

    15. その他の注意

    15.2 非臨床試験に基づく情報

    ラタノプロストをサルに静脈内投与(2μg/kg)すると一過性の気道抵抗の増加が起こった。しかし、臨床用量(1.5μg/眼)の7倍量のラタノプロストを中等度の気管支喘息患者11例に点眼した場合、肺機能に影響はなかったとの報告がある。

    16. 薬物動態

    16.1 血中濃度

    1. 16.1.1 血漿中濃度

      欧米人健康成人男女(50~80歳)の両眼に0.005%ラタノプロスト/0.5%チモロール点眼液を1日1回5日間、各1滴点眼したとき、ラタノプロストの活性代謝物であるラタノプロスト遊離酸の血漿中濃度は約半数の被験者で検出限界下限値(30pg/mL)未満であり、ラタノプロスト単剤点眼後と同様の結果であった。一方、定常状態において、チモロールは点眼後約40分で最高血漿中濃度(約1ng/mL)に達し、半減期約6時間で消失した。定常状態時の血漿中濃度-時間曲線下面積は5.1ng∙h/mLであり、チモロールマレイン酸塩単剤点眼後とほぼ同様の結果であった1)

    16.3 分布

    1. 16.3.1 房水中濃度

      白内障手術を受ける患者(欧米人)に、0.005%ラタノプロスト/0.5%チモロール点眼液を30µL点眼したとき、房水中ラタノプロスト遊離酸は、点眼後2時間で最高濃度(約30ng/mL)に達し、房水中濃度-時間曲線下面積(AUC0-∞)は206ng∙h/mLであった。ラタノプロスト単剤点眼後と比較して最高濃度は約2倍、AUC0-∞は2.4倍高値を示した。一方、チモロールは点眼後1時間で最高濃度(約1μg/mL)に達し、またAUC0-∞は3644ng∙h/mLであり、チモロールマレイン酸塩単剤点眼後と同様の結果であった2)

    16.8 その他

    1. 16.8.1 生物学的同等性試験

      本剤は、ザラカム配合点眼液の分析結果に基づき添加剤の種類及び含量(濃度)がザラカム配合点眼液と同一となるよう処方設計を行ったものであり、pH、粘度、浸透圧などの物理化学的性質が近似することから、生物学的に同等とみなされた。

    17. 臨床成績

    17.1 有効性及び安全性に関する試験

    1. 17.1.1 国内第Ⅲ相試験(ブリッジング試験)

      ブリッジング試験として実施した原発開放隅角緑内障又は高眼圧症患者を対象とした無作為化二重遮蔽比較試験において、導入期に0.5%チモロール点眼液を1日2回4週間投与後、二重遮蔽期に0.005%ラタノプロスト/0.5%チモロール点眼液(以下、配合剤)を1日1回又は対照薬として0.5%チモロール点眼液を1日2回6週間投与した1) 。投与6週間後の配合剤群の眼圧下降率の海外第Ⅲ相試験(ブリッジング対象試験)との差及び95%信頼区間(調整済み平均値±標準誤差、ベースライン眼圧値を共変量、試験を要因とした共分散分析)は2.2±1.7%及び-1.2%~5.5%であり、海外第Ⅲ相試験と同等の眼圧下降作用が認められた。また、投与6週後の眼圧下降値及び眼圧下降率は表1のとおりであり、配合剤群と対照薬群との差及び95%信頼区間(調整済み平均値±標準誤差、ベースライン眼圧値を共変量、投与群を要因とした共分散分析)は、眼圧下降値で1.9±0.5mmHg及び0.9~2.9mmHg、眼圧下降率で8.2±2.4%及び3.4%~13.0%であった3)

      表1 眼圧値、眼圧下降値及び眼圧下降率の比較

      配合剤群
      (n=55)

      対照薬群
      (n=20)

      ベースライン(二重遮蔽期開始時)眼圧値(mmHg)

      21.5±2.8

      22.1±2.3

      二重遮蔽期終了時(6週後)眼圧値(mmHg)

      18.4±3.1

      20.8±3.8

      二重遮蔽期終了時(6週後)眼圧下降値(mmHg)

      3.2±2.0

      1.3±2.0

      二重遮蔽期終了時(6週後)眼圧下降率(%)

      14.7±9.2

      6.2±9.2

      平均値±標準偏差
      眼圧下降率=(眼圧下降値/ベースライン眼圧値)×100

    2. 17.1.2 国内第Ⅲ相試験

      原発開放隅角緑内障又は高眼圧症患者を対象とした無作為化二重遮蔽比較試験において、導入期に0.005%ラタノプロスト点眼液を1日1回4週間投与後、二重遮蔽期に配合剤又は対照薬として0.005%ラタノプロスト点眼液を1日1回8週間投与した。投与8週後の眼圧値及び眼圧下降値は表2のとおりであり、配合剤群は対照薬群と比較して統計学的に有意な差を示した(p<0.001、ベースライン眼圧値を共変量、投与群を要因とした共分散分析)4)

      表2 眼圧値及び眼圧下降値の比較

      配合剤群
      (n=144)

      対照薬群
      (n=145)

      ベースライン(二重遮蔽期開始時)眼圧値(mmHg)

      19.6±2.6

      19.6±2.7

      二重遮蔽期終了時(8週後)眼圧値(mmHg)

      17.0±2.7

      18.0±2.5

      二重遮蔽期終了時(8週後)眼圧下降値(mmHg)

      2.6±2.4

      1.6±2.2

      眼圧下降値の群間差(配合剤-対照薬、mmHg)
      [95%信頼区間]

      1.0
      [0.5~1.4]

      平均値±標準偏差

    3. 17.1.3 海外第Ⅲ相試験(ブリッジング対象試験)

      原発開放隅角緑内障、色素緑内障、落屑緑内障又は高眼圧症患者を対象とした無作為化二重遮蔽比較試験において、導入期に0.5%チモロール点眼液を1日2回2~4週間投与後、二重遮蔽期に配合剤を1日1回、又は対照薬として0.005%ラタノプロスト点眼液を1日1回又は0.5%チモロール点眼液を1日2回26週間投与した1) 。眼圧値及び投与26週後までの眼圧下降値は表3のとおりであり、配合剤群の投与2、13及び26週後を通じた平均眼圧下降値はいずれの対照薬群と比較しても統計学的に有意な差がみられた(p<0.001、ベースライン眼圧値を共変量、患者、施設、来院時期、投与群を要因とし、投与群と来院時期の交互作用を組み込んだ反復測定による共分散分析)5)

      表3 眼圧値及び眼圧下降値の比較

      配合剤群
      (n=140)

      LAT群
      (n=147)

      TIM群
      (n=149)

      ベースライン(二重遮蔽期開始時)眼圧値(mmHg)

      21.6±3.8

      22.5±4.0

      22.5±4.1

      眼圧下降値(mmHg)

      2週後

      2.8±2.8

      1.7±3.5

      0.9±3.2

      13週後

      2.7±2.9

      1.8±3.7

      0.9±3.5

      26週後

      2.7±3.1

      2.1±3.8

      1.1±3.6

      投与2、13及び26週後を通じた平均眼圧下降値の群間差(配合剤-対照薬、mmHg)
      [95%信頼区間]

      1.2
      [0.5~1.8]

      1.9
      [1.2~2.5]

      平均値±標準偏差
      LAT:0.005%ラタノプロスト点眼液、TIM:0.5%チモロール点眼液

    4. 17.1.4 海外第Ⅲ相試験

      原発開放隅角緑内障、色素緑内障、落屑緑内障又は高眼圧症患者を対象とした無作為化二重遮蔽比較試験において、5日~4週間のウォッシュアウト後、二重遮蔽期に配合剤を1日1回又は併用療法として0.005%ラタノプロスト点眼液を1日1回及び0.5%チモロール点眼液を1日2回で12週間投与した1) 。投与12週後の眼圧値及び眼圧下降値は表4のとおりであり、配合剤群の併用療法群に対する非劣性が示された(ベースライン眼圧値を共変量、投与群と施設を要因とした共分散分析)6),7)

      表4 眼圧値及び眼圧下降値の比較

      配合剤群
      (n=248)

      併用療法群
      (n=239)

      ベースライン(二重遮蔽期開始時)眼圧値(mmHg)

      25.4±2.3

      25.3±2.4

      二重遮蔽期終了時(12週後)眼圧値(mmHg)

      16.8±2.7

      16.5±2.6

      二重遮蔽期終了時(12週後)眼圧下降値(mmHg)

      8.6±2.9

      8.8±3.0

      眼圧下降値の群間差(配合剤-併用療法、mmHg)
      [95%信頼区間]

      0.3
      [-0.1~0.7]

      平均値±標準偏差

    1) 遮蔽性を確保するため、配合剤群及び対照群の点眼回数を合わせる目的で、プラセボを用いて1 日2 回投与した。

    18. 薬効薬理

    18.1 作用機序

    本剤の有効成分であるラタノプロストとチモロールマレイン酸塩は異なる作用機序により眼圧下降作用を示す。

    1. 18.1.1 ラタノプロスト
      1. (1) サルのラタノプロスト点眼後の房水動態を検討したところ、ぶどう膜強膜流出量は有意に増大した8)
      2. (2) 健康成人にラタノプロスト点眼液を点眼後、フルオロフォトメトリーにより房水動態を検討したところ、ぶどう膜強膜流出量の増加が認められた9)
    2. 18.1.2 チモロールマレイン酸塩

      眼圧下降作用機序の詳細は明らかでないが、サル、健康成人でのフルオロフォトメトリー試験及び緑内障患者でのトノグラフィー試験において、チモロールマレイン酸塩の眼圧下降作用は主に房水産生の抑制によることが示唆された10),11),12),13)

    18.2 眼圧下降作用

    本剤の有効成分であるラタノプロストとチモロールマレイン酸塩はいずれも緑内障・高眼圧症患者又は高眼圧モデルにおいて眼圧下降作用を示した。

    1. 18.2.1 ラタノプロスト
      1. (1) サルに対するラタノプロストの単回点眼では、正常眼圧で最大2mmHg以上の眼圧下降が認められた。サルの線維柱帯のレーザー焼灼により惹起した高眼圧モデルに対するラタノプロストの5日間の反復点眼では、初回点眼より眼圧下降が認められ、作用の減弱は認められなかった8)
      2. (2) 健康成人又は緑内障・高眼圧症患者にラタノプロスト点眼液を点眼した場合、瞳孔径、視力、血圧及び脈拍数に影響を及ぼすことなく眼圧を下降させた14),15),16),17),18)
    2. 18.2.2 チモロールマレイン酸塩

      ウサギにおけるα-キモトリプシン惹起高眼圧及び水負荷による眼圧上昇試験において、チモロールマレイン酸塩の点眼は有意に眼圧上昇を抑制することが認められた19)

    19. 有効成分に関する理化学的知見

    ラタノプロスト

    一般的名称

    ラタノプロスト(Latanoprost)〔JAN〕

    化学名

    (+)-Isopropyl(Z)-7-[(1R,2R,3R,5S)-3,5-dihydroxy-2-[(3R)-3-hydroxy-5-phenylpentyl]cyclopentyl]-5-heptenoate

    分子式

    C26H40O5

    分子量

    432.59

    性状

    ラタノプロストは無色~淡黄色の粘性の液である。
    アセトニトリル又はN,N-ジメチルアセトアミドに極めて溶けやすく、エタノール(99.5)、酢酸エチル、イソプロパノール、メタノール、アセトン又はオクタノールに溶けやすく、水にほとんど溶けない。

    化学構造式

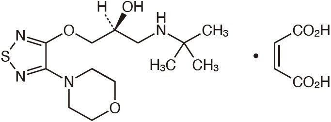
    チモロールマレイン酸塩

    一般的名称

    チモロールマレイン酸塩(Timolol Maleate)〔JAN〕

    化学名

    (2S)-1-[(1,1-Dimethylethyl)amino]-3-(4-morpholin-4-yl-1,2,5-thiadiazol-3-yloxy)propan-2-ol monomaleate

    分子式

    C13H24N4O3S・C4H4O4

    分子量

    432.49

    性状

    チモロールマレイン酸塩は白色~微黄白色の結晶性の粉末である。
    酢酸(100)に溶けやすく、水又はエタノール(99.5)にやや溶けやすい。0.1mol/L塩酸試液に溶ける。

    化学構造式

    融点

    約197℃(分解)

    20. 取扱い上の注意

    1. 20.1 外箱開封後は、遮光して保存すること。
    2. 20.2 開栓後は室温保存とする。
    3. 20.3 開栓後4週間経過した残液は使用しないこと。

    22. 包装

    プラスチック点眼容器 2.5mL×5、2.5mL×10

    23. 主要文献

    1) ザラカム配合点眼液:反復点眼後の血漿中ラタノプロスト遊離酸及びチモロールの薬物動態(承認年月日:2010年1月20日、申請資料概要2.7.6.2)

    2) Calissendorff B, et al.:J Ocul Pharmacol Ther, 2002;18:127-131

    3) ザラカム配合点眼液:日本人患者を対象としたブリッジング試験(0.5%チモロール点眼液との比較試験)(承認年月日:2010年1月20日、申請資料概要2.7.6.9)

    4) 北澤克明 他:臨床眼科, 2009;63:807-815

    5) ザラカム配合点眼液:外国人患者を対象とした第Ⅲ相臨床試験(0.005%ラタノプロスト点眼液及び0.5%チモロール点眼液との比較試験)(承認年月日:2010年1月20日、申請資料概要2.7.6.10)

    6) ザラカム配合点眼液:外国人患者を対象とした第Ⅲ相臨床試験(0.005%ラタノプロスト点眼液及び0.5%チモロール点眼液の併用療法との比較試験)(承認年月日:2010年1月20日、申請資料概要2.7.6.15)

    7) ザラカム配合点眼液:外国人患者を対象とした第Ⅲ相臨床試験(0.005%ラタノプロスト点眼液及び0.5%チモロール点眼液の併用療法との比較試験)(承認年月日:2010年1月20日、申請資料概要2.7.3.3)

    8) 野村俊治 他:日本薬理学雑誌, 2000;115:280-286

    9) 高松倫也 他:新薬と臨床, 1996;45:76-82

    10) Miichi H, et al.:Invest Ophthalmol Vis Sci, 1983;24:1269-1275

    11) 新家 真 他:日本眼科学会雑誌, 1980;84:1436-1446

    12) 藤永 豊 他:眼科臨床医報, 1980;74:409-414

    13) 玉田康房 他:日本眼科紀要, 1980;31:1667-1673

    14) 三嶋 弘 他:基礎と臨床, 1995;29:4271-4285

    15) 三嶋 弘 他:眼科臨床医報, 1996;90:465-469

    16) 三嶋 弘 他:基礎と臨床, 1995;29:4071-4084

    17) 三嶋 弘 他:基礎と臨床, 1995;29:4085-4099

    18) 三嶋 弘 他:眼科臨床医報, 1996;90:312-316

    19) Vareilles P, et al.:Invest Ophthalmol Vis Sci, 1977;16:987-996

    24. 文献請求先及び問い合わせ先

    千寿製薬株式会社 カスタマーサポート室

    〒541-0048 大阪市中央区瓦町三丁目1番9号

    TEL 0120-069-618 FAX 06-6201-0577
    受付時間 9:00~17:30(土、日、祝日を除く)

    26. 製造販売業者等

    26.1 製造販売元

    千寿製薬株式会社

    大阪市中央区瓦町三丁目1番9号

    26.2 販売

    武田薬品工業株式会社

    大阪市中央区道修町四丁目1番1号

    〒100-0013 東京都千代田区霞が関3-3-2 新霞が関ビル

    画面を閉じる

    Copyright © Pharmaceuticals and Medical Devices Agency, All Rights reserved.