医療用医薬品 詳細表示

アイベータ配合点眼液(添加剤にベンザルコニウム塩化物を含む、使用期限2028年5月まで)

処方せん医薬品

添付文書番号
企業コード
作成又は改訂年月
日本標準商品分類番号
薬効分類名
承認等
一般的名称
2.禁忌(次の患者には投与しないこと)
3.組成・性状
3.1組成
3.2製剤の性状
4.効能又は効果
5.効能又は効果に関連する注意
6.用法及び用量
8.重要な基本的注意
9.特定の背景を有する患者に関する注意
9.1合併症・既往歴等のある患者
9.5妊婦
9.6授乳婦
9.7小児等
9.8高齢者
10.相互作用
10.2併用注意(併用に注意すること)
11.副作用
11.1重大な副作用
11.2その他の副作用
14.適用上の注意
16.薬物動態
16.1血中濃度
16.3分布
17.臨床成績
17.1有効性及び安全性に関する試験
18.薬効薬理
18.1作用機序
18.2眼圧下降作用
19.有効成分に関する理化学的知見
21.承認条件
22.包装
23.主要文献
24.文献請求先及び問い合わせ先
26.製造販売業者等

アイベータ配合点眼液(添加剤にベンザルコニウム塩化物を含む、使用期限2028年5月まで)

添付文書番号

1319824Q1020_3_01

企業コード

380086

作成又は改訂年月

**2024年6月改訂(第4版)
2023年2月改訂(第3版)

日本標準商品分類番号

871319

薬効分類名

α2作動薬/β遮断薬配合剤 緑内障・高眼圧症治療剤

承認等

アイベータ配合点眼液(添加剤にベンザルコニウム塩化物を含む、使用期限2028年5月まで)

販売名コード

YJコード

1319824Q1020

販売名英語表記

AIBETA COMBINATION OPHTHALMIC SOLUTION

販売名ひらがな

あいべーたはいごうてんがんえき

承認番号等

承認番号

30100AMX00243

販売開始年月

2019年12月

貯法・有効期間

貯法

室温保存

有効期間

3年

一般的名称

ブリモニジン酒石酸塩
チモロールマレイン酸塩

2. 禁忌(次の患者には投与しないこと)

  1. 2.1 本剤の成分に対し過敏症の既往歴のある患者
  2. 2.2 低出生体重児、新生児、乳児又は2歳未満の幼児
  3. 2.3 気管支喘息又はその既往歴のある患者、気管支痙攣又は重篤な慢性閉塞性肺疾患のある患者[喘息発作の誘発・増悪がみられるおそれがある。]
  4. 2.4 コントロール不十分な心不全、洞性徐脈、房室ブロック(Ⅱ、Ⅲ度)又は心原性ショックのある患者[これらの症状を増悪させるおそれがある。

3. 組成・性状

3.1 組成

アイベータ配合点眼液(添加剤にベンザルコニウム塩化物を含む、使用期限2028年5月まで)

有効成分1mL中 ブリモニジン酒石酸塩   1mg
1mL中 チモロールマレイン酸塩   6.8mg
(チモロールとして   5mg )
添加剤リン酸水素ナトリウム水和物、リン酸二水素ナトリウム水和物、エデト酸ナトリウム水和物、ベンザルコニウム塩化物、等張化剤、pH調節剤

3.2 製剤の性状

アイベータ配合点眼液(添加剤にベンザルコニウム塩化物を含む、使用期限2028年5月まで)

pH6.9〜7.3
浸透圧比生理食塩液に対する比:0.9〜1.1
性状淡緑黄色〜緑黄色の澄明な無菌⽔性点眼剤

4. 効能又は効果

次の疾患で、他の緑内障治療薬が効果不十分な場合:緑内障、高眼圧症

5. 効能又は効果に関連する注意

単剤での治療を優先すること。

6. 用法及び用量

1回1滴、1日2回点眼する。

8. 重要な基本的注意

  1. 8.1 全身的に吸収される可能性があり、α2-作動剤又はβ-遮断剤の全身投与時と同様の副作用があらわれることがあるので、留意すること。
  2. 8.2 眠気、めまい、霧視等を起こすことがあるので、本剤投与中の患者には、自動車の運転等危険を伴う機械の操作に従事する場合は注意させること。
  3. 8.3 縮瞳剤からチモロールマレイン酸塩製剤に切り替えた場合、縮瞳作用の消失に伴い、屈折調整を必要とすることがあることから、本剤投与の際も注意すること。
  4. 8.4 **本剤の投与により血管新生等を伴う角膜混濁があらわれることがあるので1),2),3),4) 、患者を定期的に診察し、十分観察すること。また、充血、視力低下、霧視等の自覚症状があらわれた場合には、直ちに受診するよう患者に十分指導すること。

9. 特定の背景を有する患者に関する注意

9.1 合併症・既往歴等のある患者

  1. 9.1.1 脳血管障害、起立性低血圧のある患者

    血圧低下により、症状が悪化するおそれがある。

  2. 9.1.2 心血管系疾患のある患者

    血圧及び脈拍数の変動により、症状が悪化するおそれがある。

  3. 9.1.3 肺高血圧による右心不全のある患者

    肺高血圧症による右心不全の症状を増悪させるおそれがある。

  4. 9.1.4 うっ血性心不全のある患者

    うっ血性心不全の症状を増悪させるおそれがある。

  5. 9.1.5 糖尿病性ケトアシドーシス及び代謝性アシドーシスのある患者

    アシドーシスによる心筋収縮力の抑制を増強するおそれがある。

  6. 9.1.6 コントロール不十分な糖尿病のある患者

    血糖値に注意すること。低血糖症状をマスクすることがある。

  7. 9.1.7 閉塞隅角緑内障の患者

    使用経験がない。

9.5 妊婦

妊婦又は妊娠している可能性のある女性には、治療上の有益性が危険性を上回ると判断される場合にのみ投与すること。チモロールマレイン酸塩では器官形成期のラットに500mg/kg/dayを経口投与した試験で骨化遅延が、マウスに1,000mg/kg/day、ウサギに200mg/kg/dayを経口投与した試験で死亡胎児数の増加が認められている。

9.6 授乳婦

治療上の有益性及び母乳栄養の有益性を考慮し、授乳の継続又は中止を検討すること。チモロールマレイン酸塩は、ヒト母乳中へ移行することがある。また、ブリモニジン酒石酸塩は、動物実験(ラット:経口投与)で乳汁中に移行することが報告されている5)

9.7 小児等

  1. 9.7.1 小児等を対象とした有効性及び安全性を指標とした臨床試験は実施していない。
  2. 9.7.2 低出生体重児、新生児、乳児又は2歳未満の幼児には投与しないこと。外国での市販後において、ブリモニジン酒石酸塩点眼液を投与した乳児に無呼吸、徐脈、昏睡、低血圧、低体温、筋緊張低下、嗜眠、蒼白、呼吸抑制及び傾眠があらわれたとの報告がある。
  3. 9.7.3 外国での臨床試験において、0.2%ブリモニジン酒石酸塩点眼液を1日3回投与した場合、2~7歳の幼児及び小児に高頻度(25~83%)で傾眠が認められている6)

9.8 高齢者

一般に生理機能が低下している。

10. 相互作用

  • チモロールは、主としてCYP2D6によって代謝される7)

10.2 併用注意(併用に注意すること)

薬剤名等臨床症状・措置方法機序・危険因子

降圧剤

降圧作用を増強する可能性がある。

相加的に降圧作用が増強されると考えられる。

中枢神経抑制剤

  • バルビツール酸誘導体
    オピオイド系鎮痛剤
    鎮静剤
    麻酔剤 等

アルコール

鎮静作用を増強する可能性がある。

相加的に鎮静作用が増強されると考えられる。

モノアミン酸化酵素阻害剤

血圧変動に影響する可能性がある。

ノルアドレナリンの代謝及び再取り込みに影響すると考えられる。

オミデネパグ イソプロピル

チモロールマレイン酸塩との併用例で結膜充血等の眼炎症性副作用の発現頻度の上昇が認められている。

機序不明

アドレナリン
ジピベフリン塩酸塩

散瞳作用が助長されたとの報告がある。

機序不明

カテコールアミン枯渇剤:

  • レセルピン等

交感神経系に対し、過剰の抑制を来すことがあり、低血圧、徐脈を生じ、眩暈、失神、起立性低血圧を起こすことがある。

カテコールアミンの枯渇を起こす薬剤は、β-遮断作用を相加的に増強する可能性がある。

β-遮断剤(全身投与):

  • アテノロール
    プロプラノロール塩酸塩
    メトプロロール酒石酸塩

眼圧下降あるいはβ-遮断剤の全身的な作用が増強されることがある。

作用が相加的にあらわれることがある。

カルシウム拮抗剤:

  • ベラパミル塩酸塩
    ジルチアゼム塩酸塩

房室伝導障害、左室不全、低血圧を起こすおそれがある。

相互に作用が増強される。

ジギタリス製剤:

  • ジゴキシン
    ジギトキシン

心刺激伝導障害(徐脈、房室ブロック等)があらわれるおそれがある。

相加的に作用(心刺激伝導抑制作用)を増強させる。

CYP2D6阻害作用を有する薬剤

  • キニジン硫酸塩水和物
    選択的セロトニン再取り込み阻害剤

β-遮断作用(例えば心拍数減少、徐脈)が増強するとの報告がある。

これらの薬剤はチモロールの代謝酵素であるP450(CYP2D6)を阻害し、チモロールの血中濃度が上昇する可能性がある。

11. 副作用

次の副作用があらわれることがあるので、観察を十分に行い、異常が認められた場合には投与を中止するなど適切な処置を行うこと。

11.1 重大な副作用

  1. 11.1.1 眼類天疱瘡(頻度不明)

    結膜充血、角膜上皮障害、乾性角結膜炎、結膜萎縮、睫毛内反、眼瞼眼球癒着等があらわれることがある。

  2. 11.1.2 気管支痙攣、呼吸困難、呼吸不全(いずれも頻度不明)

    β-受容体遮断による気管支平滑筋収縮作用により、気管支痙攣、呼吸困難、呼吸不全があらわれることがある。

  3. 11.1.3 心ブロック、うっ血性心不全、心停止(いずれも頻度不明)

    β-受容体遮断による陰性変時・変力作用により、心ブロック、うっ血性心不全、心停止があらわれることがある。

  4. 11.1.4 脳虚血、脳血管障害(いずれも頻度不明)
  5. 11.1.5 全身性エリテマトーデス(頻度不明)
  6. 11.1.6 **角膜混濁(頻度不明)

11.2 その他の副作用

1~5%未満

0.1~1%未満

頻度不明

過敏症

接触皮膚炎、丘疹、発疹、紅斑、蕁麻疹

点状角膜炎、結膜充血、眼刺激、眼部不快感、角膜びらん

アレルギー性結膜炎1) 、眼そう痒症、羞明、結膜浮腫、閃輝暗点

眼瞼紅斑、眼瞼浮腫、眼瞼障害、眼瞼下垂、眼瞼そう痒症、眼瞼炎、アレルギー性眼瞼炎1) 、マイボーム腺梗塞、結膜炎、結膜濾胞、結膜蒼白、結膜出血、乾性角結膜炎、角膜炎、麦粒腫、虹彩炎、白内障、硝子体剝離、硝子体浮遊物、眼の異常感、眼の異物感、眼脂、眼痛、灼熱感、霧視、眼乾燥、眼精疲労、流涙増加、視覚障害、視野欠損、視力低下、縮瞳、角膜知覚低下、複視、眼底黄斑部の浮腫・混濁2)

循環器

低血圧、高血圧、動悸、頻脈、徐脈等の不整脈、失神、浮腫、レイノー現象、四肢冷感

呼吸器

鼻刺激感、鼻乾燥、鼻炎、副鼻腔炎、咳嗽、呼吸困難、気管支炎、咽頭炎

精神神経系

浮動性めまい、回転性めまい、耳鳴、頭痛、感覚異常、失神、悪夢、うつ病、抑うつ、傾眠、不眠症、重症筋無力症の増悪

消化器

味覚異常、口内乾燥、口渇、悪心、胃腸障害、消化不良、腹痛、下痢

感染症

インフルエンザ症候群、感冒、呼吸器感染

その他

耳そう痒症

疣贅、貧血、無力症、疲労、気分不良、不快、倦怠感、脱力感、筋肉痛、胸部圧迫感、血中ビリルビン増加、血中ブドウ糖増加、血中トリグリセリド増加、血中尿酸増加、高コレステロール血症

1) ブリモニジン酒石酸塩の長期投与において、アレルギー性結膜炎・眼瞼炎の発現頻度が高くなる傾向が認められている。
2) 無水晶体眼又は眼底に病変のある患者等に長期連用した場合

14. 適用上の注意

14.1 薬剤交付時の注意

患者に対し以下の点に注意するよう指導すること。

  • 薬液汚染防止のため、点眼のとき、容器の先端が直接目に触れないように注意すること。
  • *患眼を開瞼して結膜嚢内に点眼し、1~5分間閉瞼して涙嚢部を圧迫させた後、開瞼すること。
  • 他の点眼剤を併用する場合には、少なくとも5分以上間隔をあけてから点眼すること。
  • *本剤に含まれているベンザルコニウム塩化物は、ソフトコンタクトレンズに吸着することがあるので、コンタクトレンズを装用している場合は点眼前にレンズを外し、点眼15分以上経過後に再装用すること。

16. 薬物動態

16.1 血中濃度

健康成人に本剤(9例)、0.1%ブリモニジン酒石酸塩点眼液(7例)又は0.5%チモロール点眼液(8例)をそれぞれ両眼に1回1滴、1日2回、7日間点眼した。本剤を点眼したときの血漿中ブリモニジン濃度は、点眼後0.75時間(中央値)で最高濃度27.0±14.9pg/mL(平均値±標準偏差)を示し、消失半減期は平均2.4時間であり、0.1%ブリモニジン酒石酸塩点眼液を点眼したときと同様であった。また、本剤を点眼したときの血漿中チモロール濃度は、点眼後0.75時間(中央値)で最高濃度426±292pg/mL(平均値±標準偏差)を示し、消失半減期は平均4.4時間であった。0.5%チモロール点眼液を点眼したときよりも最高濃度到達時間はやや延長し、最高濃度はやや低値を示した8)

16.3 分布

白色ウサギの片眼に本剤を35μL単回点眼したときの房水中ブリモニジン及びチモロール濃度を、各単剤(0.1%ブリモニジン酒石酸塩点眼液又は0.5%チモロール点眼液)を同様に単独又は併用点眼したときと比較した。房水中ブリモニジン濃度においては、0.1%ブリモニジン酒石酸塩点眼液を単独点眼又は各単剤を併用点眼したときと同程度であった。また、房水中チモロール濃度においては、0.5%チモロール点眼液を単独点眼したときと比較して高値を示したが、各単剤を併用点眼したときと同程度であった9)

17. 臨床成績

17.1 有効性及び安全性に関する試験

  1. 17.1.1 国内第Ⅲ相比較試験

    観察期として0.5%チモロール点眼液を4週間点眼した後(治療期開始日)の眼圧値が18.0mmHg以上の原発開放隅角緑内障(広義)又は高眼圧症患者を対象に、0.5%チモロール点眼液を対照とした無作為化単遮蔽(評価者遮蔽)並行群間比較試験において、本剤又は対照薬を両眼に1回1滴、1日2回4週間点眼した。その結果、主要評価項目である治療期投与4週における眼圧変化値(2時間値)は表のとおりであり、本剤群の対照薬群に対する優越性が示された10)

    表 治療期投与4週における眼圧変化値(2時間値)(FAS)

    薬剤
    (例数)

    眼圧変化値
    (mmHg)

    群間差の点推定値(mmHg)
    [95%両側信頼区間]

    検定結果

    本剤群(159)

    -3.1±2.4

    -1.34
    [-1.83〜-0.86]

    P<0.0001

    0.5%チモロール点眼液群(163)

    -1.8±2.1

    眼圧変化値:平均値±標準偏差
    t検定 有意⽔準:両側5%

    本剤群の副作用は163例中18例(11.0%)に認められ、主な副作用は、点状角膜炎4例(2.5%)、眼刺激4例(2.5%)、結膜充血4例(2.5%)、角膜びらん2例(1.2%)、眼部不快感2例(1.2%)であった。

18. 薬効薬理

18.1 作用機序

  1. 18.1.1 ブリモニジン酒石酸塩

    ブリモニジンは、アドレナリンα2-受容体に作用し、房水産生の抑制及びぶどう膜強膜流出路を介した房水流出の促進により眼圧を下降させると考えられている11)
    ウサギの片眼に0.3%ブリモニジン酒石酸塩溶液を単回点眼した試験(フルオロフォトメトリー法)では、点眼1時間後に点眼前に比べて最大43.9%の有意な房水産生の抑制が認められた12)
    高眼圧症患者の片眼に0.2%ブリモニジン酒石酸塩点眼液を点眼した試験(フルオロフォトメトリー法)において、房水産生の抑制及びぶどう膜強膜流出路からの房水流出の促進が認められた13) (外国人データ)。

  2. 18.1.2 チモロールマレイン酸塩

    チモロールはアドレナリンβ-受容体に非選択的に作用し、房水産生の抑制により眼圧を低下させると考えられている14),15)
    サル16) 、健康被験者14),15),17) でのフルオロフォトメトリー試験及び緑内障患者でのトノグラフィー試験18),19) において、チモロールは房水産生を抑制することが明らかとなっている。

18.2 眼圧下降作用

  1. 18.2.1 ブリモニジン酒石酸塩

    ウサギに0.000015%~0.15%ブリモニジン酒石酸塩溶液を単回点眼投与した結果、濃度依存的な眼圧下降作用が認められた20)

  2. 18.2.2 チモロールマレイン酸塩

    ウサギにおけるα-キモトリプシン惹起高眼圧及び水負荷による眼圧上昇試験において、チモロールマレイン酸塩の点眼は有意に眼圧上昇を抑制することが認められている21)

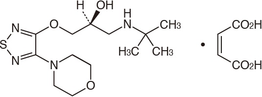
19. 有効成分に関する理化学的知見

ブリモニジン酒石酸塩

一般的名称

ブリモニジン酒石酸塩
(Brimonidine Tartrate)〔JAN〕

化学名

5-Bromo-N-(4,5-dihydro-1H-imidazol-2-yl) quinoxalin-6-amine mono-(2R,3R)-tartrate

分子式

C11H10BrN5・C4H6O6

分子量

442.22

性状

ブリモニジン酒石酸塩は白色~微黄色の粉末である。
水にやや溶けやすく、ジメチルホルムアミド又はメタノールに溶けにくく、アセトン、塩化メチレン又は酢酸エチルにほとんど溶けない。

化学構造式

チモロールマレイン酸塩

一般的名称

チモロールマレイン酸塩

(Timolol Maleate)〔JAN〕

化学名

(2S)-1-[(1,1-Dimethylethyl)amino]-3-(4-morpholin-4-yl-1,2,5-thiadiazol-3-yloxy)propan-2-ol monomaleate

分子式

C13H24N4O3S・C4H4O4

分子量

432.49

性状

チモロールマレイン酸塩は白色~微黄白色の結晶性の粉末である。
酢酸(100)に溶けやすく、水又はエタノール(99.5)にやや溶けやすい。
0.1mol/L塩酸試液に溶ける。

化学構造式

融点

約197℃(分解)

21. 承認条件

医薬品リスク管理計画を策定の上、適切に実施すること。

22. 包装

プラスチック点眼容器 5mL×5、5mL×10

23. 主要文献

1) **Maruyama Y, et al.:Cornea, 2017;36:1567-1569

2) **Tsujinaka A, et al.:Acta Ophthalmol, 2019;97:e948-e949

3) **Manabe Y, et al.:Eur J Ophthalmol, 2020;30:NP23-NP25

4) **Chikama T, et al.:Ocul Immunol Inflamm, 2023;31:1842-1847

5) 社内資料:ブリモニジン酒石酸塩の排泄(承認年月日:2012年1月18日、アイファガン点眼液0.1% CTD2.6.4.6)

6) 社内資料:0.2%ブリモニジン酒石酸塩点眼液の海外第Ⅲ相試験(承認年月日:2012年1月18日、アイファガン点眼液0.1% CTD2.7.6.27)

7) Lennard MS, et al.:Br J Clin Pharmacol, 1989;27:429-434

8) 社内資料:国内第Ι相試験(承認年月日:2019年9月20日、CTD2.7.6.1)

9) 社内資料:ウサギに0.1%ブリモニジン酒石酸塩/0.5%チモロール配合点眼液及び各単剤を単回点眼投与後の眼組織移行の比較(承認年月日:2019年9月20日、CTD2.6.4.3)

10) 社内資料:国内第Ⅲ相比較試験(承認年月日:2019年9月20日、CTD2.7.6.2)

11) Burke J, et al.:Surv Ophthalmol, 1996;41(S-1):S9-S18

12) 社内資料:ブリモニジン酒石酸塩溶液のウサギ房水産生に及ぼす影響(承認年月日:2012年1月18日、アイファガン点眼液0.1% CTD2.6.2.2)

13) Toris CB, et al.:Arch Ophthalmol, 1995;113:1514-1517

14) Larsson LI:Arch Ophthalmol, 2001;119:492-495

15) Coakes RL, et al.:Arch Ophthalmol, 1978;96:2045-2048

16) Miichi H, et al.:Invest Ophthalmol Vis Sci, 1983;24:1269-1275

17) 新家 真 他:日本眼科学会雑誌, 1980;84:1436-1446

18) 藤永 豊 他:眼科臨床医報, 1980;74:409-414

19) 玉田康房 他:日本眼科紀要, 1980;31:1667-1673

20) 社内資料:ブリモニジン酒石酸塩溶液の正常眼圧ウサギにおける用量反応性(承認年月日:2012年1月18日、アイファガン点眼液0.1% CTD2.6.2.2)

21) Vareilles P, et al.:Invest Ophthalmol Vis Sci, 1977;16:987-996

24. 文献請求先及び問い合わせ先

千寿製薬株式会社 カスタマーサポート室

〒541-0048 大阪市中央区瓦町三丁目1番9号

TEL 0120-069-618 FAX 06-6201-0577
受付時間 9:00~17:30(土、日、祝日を除く)

大塚製薬株式会社 医薬情報センター

〒108-8242 東京都港区港南2-16-4
品川グランドセントラルタワー

電話 0120-189-840
FAX 03-6717-1414

26. 製造販売業者等

26.1 製造販売元

千寿製薬株式会社

大阪市中央区瓦町三丁目1番9号

26.2 販売

武田薬品工業株式会社

大阪市中央区道修町四丁目1番1号

26.3 提携

大塚製薬株式会社

東京都千代田区神田司町2-9

〒100-0013 東京都千代田区霞が関3-3-2 新霞が関ビル

画面を閉じる

Copyright © Pharmaceuticals and Medical Devices Agency, All Rights reserved.