医療用医薬品 詳細表示

ピーエイ配合錠

処方せん医薬品以外の医薬品

添付文書番号
企業コード
作成又は改訂年月
日本標準商品分類番号
薬効分類名
承認等
一般的名称
1.警告
2.禁忌(次の患者には投与しないこと)
3.組成・性状
3.1組成
3.2製剤の性状
4.効能・効果
6.用法・用量
8.重要な基本的注意
9.特定の背景を有する患者に関する注意
9.1合併症・既往歴等のある患者
9.2腎機能障害患者
9.3肝機能障害患者
9.5妊婦
9.6授乳婦
9.7小児等
9.8高齢者
10.相互作用
10.2併用注意(併用に注意すること)
11.副作用
11.1重大な副作用
11.2その他の副作用
13.過量投与
14.適用上の注意
15.その他の注意
15.1臨床使用に基づく情報
15.2非臨床試験に基づく情報
16.薬物動態
16.1血中濃度
16.2吸収
16.3分布
16.4代謝
16.5排泄
17.臨床成績
17.1有効性及び安全性に関する試験
18.薬効薬理
18.1作用機序
19.有効成分に関する理化学的知見
20.取扱い上の注意
22.包装
23.主要文献
24.文献請求先及び問い合わせ先
26.製造販売業者等

ピーエイ配合錠

添付文書番号

1180109F1034_3_16

企業コード

380087

作成又は改訂年月

2024年10月改訂(第2版)
2023年10月改訂

日本標準商品分類番号

87118

薬効分類名

感冒剤

承認等

ピーエイ配合錠

販売名コード

YJコード

1180109F1034

販売名英語表記

PA TABLETS

承認番号等

承認番号

22100AMX01182000

販売開始年月

1994年7月

貯法・有効期間

貯法

室温保存

有効期間

5年

一般的名称

サリチルアミド・アセトアミノフェン・無水カフェイン・プロメタジンメチレンジサリチル酸塩配合剤

1. 警告

  1. 1.1 本剤中のアセトアミノフェンにより重篤な肝障害が発現するおそれがあるので注意すること。,,,,,,,
  2. 1.2 本剤とアセトアミノフェンを含む他の薬剤(一般用医薬品を含む)との併用により、アセトアミノフェンの過量投与による重篤な肝障害が発現するおそれがあることから、これらの薬剤との併用を避けること。,

2. 禁忌(次の患者には投与しないこと)

  1. 2.1 本剤の成分、サリチル酸製剤(アスピリン等)、フェノチアジン系化合物又はその類似化合物に対し過敏症の既往歴のある患者
  2. 2.2 消化性潰瘍のある患者[本剤中のサリチルアミドは消化性潰瘍を悪化させるおそれがある。]
  3. 2.3 アスピリン喘息又はその既往歴のある患者[本剤中のサリチルアミドはアスピリン喘息を誘発するおそれがある。]
  4. 2.4 昏睡状態の患者又はバルビツール酸誘導体・麻酔剤等の中枢神経抑制剤の強い影響下にある患者[本剤中のプロメタジンメチレンジサリチル酸塩は、昏睡状態の増強・持続、中枢神経抑制作用の増強や麻酔剤の作用時間の延長を来すおそれがある。]
  5. 2.5 閉塞隅角緑内障の患者[本剤中のプロメタジンメチレンジサリチル酸塩が有する抗コリン作用により眼圧が上昇し、症状を悪化させることがある。],
  6. 2.6 前立腺肥大等下部尿路に閉塞性疾患のある患者[本剤中のプロメタジンメチレンジサリチル酸塩は抗コリン作用を有し、排尿困難を悪化させるおそれがある。]
  7. 2.7 2歳未満の乳幼児,
  8. 2.8 重篤な肝障害のある患者,,,,,,

3. 組成・性状

3.1 組成

ピーエイ配合錠

有効成分1錠中、サリチルアミド   135mg
1錠中、日局 アセトアミノフェン   75mg
1錠中、日局 無水カフェイン   30mg
1錠中、プロメタジンメチレンジサリチル酸塩   6.75mg
添加剤乳糖水和物、ヒドロキシプロピルセルロース、クロスカルメロースNa、タルク、ステアリン酸Mg

3.2 製剤の性状

ピーエイ配合錠

剤形素錠
色調白色~微黄白色
外形表面
裏面
側面
大きさ直径9.0mm
厚さ5.0mm
質量265mg
識別コードZE22

4. 効能・効果

感冒もしくは上気道炎に伴う下記症状の改善及び緩和
鼻汁、鼻閉、咽・喉頭痛、頭痛、関節痛、筋肉痛、発熱

6. 用法・用量

通常、成人には1回2錠を1日4回経口投与する。
なお、年齢、症状により適宜増減する。

8. 重要な基本的注意

眠気を催すことがあるので、本剤投与中の患者には自動車の運転等危険を伴う機械の操作に従事させないように十分注意すること。

9. 特定の背景を有する患者に関する注意

9.1 合併症・既往歴等のある患者

  1. 9.1.1 出血傾向のある患者

    本剤中のサリチルアミドにより血小板機能異常を起こすおそれがある。

  2. 9.1.2 気管支喘息のある患者(アスピリン喘息又はその既往歴のある患者を除く)

    本剤中のサリチルアミドにより喘息を悪化させるおそれがある。

  3. 9.1.3 アルコール多量常飲者

    肝障害があらわれやすくなる。,,,,,,,

  4. 9.1.4 絶食・低栄養状態・摂食障害等によるグルタチオン欠乏、脱水症状のある患者

    肝障害があらわれやすくなる。,,,,,,,

  5. 9.1.5 開放隅角緑内障の患者

    本剤中のプロメタジンメチレンジサリチル酸塩が有する抗コリン作用により眼圧が上昇し、症状を悪化させることがある。,

9.2 腎機能障害患者

腎障害を悪化させるおそれがある。

9.3 肝機能障害患者

  1. 9.3.1 重篤な肝障害のある患者

    投与しないこと。本剤中のアセトアミノフェンの代謝が遅延し、肝障害を悪化させるおそれがある。,,,,,,

  2. 9.3.2 肝障害のある患者(重篤な肝障害のある患者を除く)

    本剤中のアセトアミノフェンの代謝が遅延し、肝障害を悪化させるおそれがある。,,,,,

9.5 妊婦

*妊婦又は妊娠している可能性のある女性には、治療上の有益性が危険性を上回ると判断される場合にのみ投与すること。投与する際には、必要最小限にとどめ、羊水量、胎児の動脈管収縮を疑う所見を妊娠週数や投与日数を考慮して適宜確認するなど慎重に投与すること。

  • シクロオキシゲナーゼ阻害剤(経口剤、坐剤)を妊婦に使用し、胎児の腎機能障害及び尿量減少、それに伴う羊水過少症が起きたとの報告がある。
  • シクロオキシゲナーゼ阻害剤を妊娠中期以降の妊婦に使用し、胎児の動脈管収縮が起きたとの報告があり、また妊娠後期はその発現リスクがより高くなることが知られている。
  • サリチル酸製剤(アスピリン等)では動物試験(ラット)で催奇形作用1)が、ヒトで妊娠後期にアスピリンを投与された患者及びその新生児に出血異常2)があらわれたとの報告がある。
  • 妊娠後期の女性へのアセトアミノフェンの投与により胎児に動脈管収縮を起こすことがある。
  • 妊娠後期のラットにアセトアミノフェンを投与した試験で、弱い胎児の動脈管収縮が報告されている3)

9.6 授乳婦

治療上の有益性及び母乳栄養の有益性を考慮し、授乳の継続又は中止を検討すること。また、長期連用を避けること。本剤中のカフェインは母乳中に容易に移行する。

9.7 小児等

  1. 9.7.1 2歳未満の乳幼児

    投与しないこと。外国で、2歳未満の乳幼児へのプロメタジン製剤の投与により致死的な呼吸抑制が起こったとの報告がある。,

  2. 9.7.2 2歳以上15歳未満の幼児、小児(水痘、インフルエンザの患者)

    投与しないことを原則とするが、やむを得ず投与する場合には、慎重に投与し、投与後の患者の状態を十分に観察すること。サリチル酸系製剤の使用実態は我が国と異なるものの、米国においてサリチル酸系製剤とライ症候群との関連性を示す疫学調査報告がある。[ライ症候群:小児において極めてまれに水痘、インフルエンザ等のウイルス性疾患の先行後、激しい嘔吐、意識障害、痙攣(急性脳浮腫)と肝臓ほか諸臓器の脂肪沈着、ミトコンドリア変形、AST・ALT・LDH・CKの急激な上昇、高アンモニア血症、低プロトロンビン血症、低血糖等の症状が短期間に発現する高死亡率の病態である。]

  3. 9.7.3 2歳以上15歳未満の幼児、小児(水痘、インフルエンザの患者を除く)

    治療上の有益性が危険性を上回ると判断される場合にのみ投与すること。小児等を対象とした有効性及び安全性を指標とした臨床試験は実施していない。

9.8 高齢者

減量するなど注意すること。一般に生理機能が低下している。

10. 相互作用

    10.2 併用注意(併用に注意すること)

    薬剤名等臨床症状・措置方法機序・危険因子
    • クマリン系抗凝血剤
      • ワルファリンカリウム

    クマリン系抗凝血剤の作用を増強することがあるので、減量するなど慎重に投与すること。

    サリチル酸製剤(アスピリン等)は血小板凝集抑制作用、消化管刺激による出血作用を有する。また、血漿蛋白に結合したクマリン系抗凝血剤と置換し、これらの薬剤を遊離させる。

    • 糖尿病用剤
      • インスリン製剤、トルブタミド等

    糖尿病用剤の作用を増強することがあるので、減量するなど慎重に投与すること。

    サリチル酸製剤(アスピリン等)は血漿蛋白に結合した糖尿病用剤と置換し、これらの薬剤を遊離させる。

    • 中枢神経抑制剤
      • 鎮静剤、催眠剤、フェノチアジン誘導体等

    相互に中枢神経抑制作用を増強することがあるので、減量するなど慎重に投与すること。

    プロメタジンメチレンジサリチル酸塩は中枢神経抑制作用を有する。

    • アルコール

    ,,,,,,,

    相互に中枢神経抑制作用を増強することがある。

    プロメタジンメチレンジサリチル酸塩は中枢神経抑制作用を有する。

    • アルコール

    ,,,,,,,

    アルコール多量常飲者がアセトアミノフェンを服用したところ肝不全を起こしたとの報告がある。

    アルコールによりアセトアミノフェンから肝毒性を持つN-アセチル-p-ベンゾキノンイミンへの代謝が促進される。

    • 降圧剤
      • カルシウム拮抗剤、アンジオテンシンⅡ受容体拮抗剤、アンジオテンシン変換酵素阻害剤等

    相互に降圧作用を増強することがあるので、減量するなど慎重に投与すること。

    プロメタジンメチレンジサリチル酸塩は降圧作用を有する。

    • 抗コリン作用を有する薬剤
      • フェノチアジン系化合物、三環系抗うつ剤等

    臨床症状:相互に抗コリン作用を増強することがある。
    更には、腸管麻痺(食欲不振、悪心、嘔吐、著しい便秘、腹部の膨満あるいは弛緩及び腸内容物のうっ滞等の症状)を来し、麻痺性イレウスに移行することがある。なお、この悪心、嘔吐は、本剤及び他のフェノチアジン系化合物等の制吐作用により不顕性化することもあるので注意すること。

    措置方法:減量するなど慎重に投与すること。また、腸管麻痺があらわれた場合には投与を中止すること。

    プロメタジンメチレンジサリチル酸塩は抗コリン作用を有する。

    11. 副作用

    次の副作用があらわれることがあるので、観察を十分に行い、異常が認められた場合には投与を中止するなど適切な処置を行うこと。

    11.1 重大な副作用

    1. 11.1.1 ショック、アナフィラキシー(いずれも頻度不明)

      呼吸困難、全身潮紅、血管浮腫、蕁麻疹等があらわれることがある。

    2. 11.1.2 中毒性表皮壊死融解症(Toxic Epidermal Necrolysis:TEN)、皮膚粘膜眼症候群(Stevens-Johnson症候群)、急性汎発性発疹性膿疱症、剥脱性皮膚炎(いずれも頻度不明)
    3. 11.1.3 薬剤性過敏症症候群(頻度不明)

      初期症状として発疹、発熱がみられ、更に肝機能障害、リンパ節腫脹、白血球増加、好酸球増多、異型リンパ球出現等を伴う遅発性の重篤な過敏症状があらわれることがある。なお、ヒトヘルペスウイルス6(HHV-6)等のウイルスの再活性化を伴うことが多く、投与中止後も発疹、発熱、肝機能障害等の症状が再燃あるいは遷延化することがあるので注意すること。

    4. 11.1.4 再生不良性貧血、汎血球減少、無顆粒球症、溶血性貧血、血小板減少(いずれも頻度不明)

    5. 11.1.5 喘息発作の誘発(頻度不明)

      ,

    6. 11.1.6 間質性肺炎、好酸球性肺炎(いずれも頻度不明)

      咳嗽、呼吸困難、発熱、肺音の異常等が認められた場合には、速やかに胸部X線、胸部CT、血清マーカー等の検査を実施すること。異常が認められた場合には投与を中止し、副腎皮質ホルモン剤の投与等の適切な処置を行うこと。

    7. 11.1.7 劇症肝炎、肝機能障害、黄疸(いずれも頻度不明)

      ,,,,,,,,,

    8. 11.1.8 乳児突然死症候群(SIDS)、乳児睡眠時無呼吸発作(いずれも頻度不明)

      プロメタジン製剤を小児(特に2歳未満)に投与した場合、乳児突然死症候群(SIDS)及び乳児睡眠時無呼吸発作があらわれたとの報告がある4),

    9. 11.1.9 間質性腎炎、急性腎障害(いずれも頻度不明)

    10. 11.1.10 横紋筋融解症(頻度不明)

      筋肉痛、脱力感、CK上昇、血中及び尿中ミオグロビン上昇を特徴とする横紋筋融解症があらわれることがあるので、このような場合には投与を中止し、適切な処置を行うこと。

    11. 11.1.11 緑内障(頻度不明)

      緑内障発作があらわれることがあるので、視力低下、眼痛等があらわれた場合には投与を中止し、適切な処置を行うこと。,

    11.2 その他の副作用

    0.1~5%未満

    頻度不明

    過敏症

    発疹

    浮腫、鼻炎様症状、結膜炎

    血液

    チアノーゼ、顆粒球減少、血小板減少、貧血

    消化器

    食欲不振、悪心、口渇

    胸やけ、胃痛、嘔吐、消化管出血

    精神神経系

    眠気

    めまい、倦怠感、頭痛、耳鳴、難聴、視覚障害、不安感、興奮、神経過敏、不眠、痙攣、せん妄

    肝臓

    肝機能障害

    腎臓

    腎障害

    循環器

    血圧上昇、低血圧、頻脈

    その他

    過呼吸、代謝性アシドーシス、尿閉、発汗、咳嗽、振戦

    13. 過量投与

    1. 13.1 症状
      1. 13.1.1 アセトアミノフェンの過量投与により、肝臓・腎臓・心筋の壊死(初期症状:悪心、嘔吐、発汗、全身倦怠感等)が起こったとの報告がある。,,,,,,,
      2. 13.1.2 総合感冒剤や解熱鎮痛剤等の配合剤には、アセトアミノフェンを含むものがあり、本剤とアセトアミノフェン又はその配合剤との偶発的な併用により、アセトアミノフェンの過量投与による重篤な肝障害が発現するおそれがある。,
    2. 13.2 処置

      アセトアミノフェン過量投与時の解毒(肝障害の軽減等)には、アセチルシステインの投与を考慮すること。

    14. 適用上の注意

    14.1 薬剤交付時の注意

    1. 14.1.1 PTP包装の薬剤はPTPシートから取り出して服用するよう指導すること。PTPシートの誤飲により、硬い鋭角部が食道粘膜へ刺入し、更には穿孔をおこして縦隔洞炎等の重篤な合併症を併発することがある。

    15. その他の注意

    15.1 臨床使用に基づく情報

    1. 15.1.1 本剤中のアセトアミノフェンの類似化合物(フェナセチン)の長期投与により、血色素異常を起こすことがあるので、長期投与を避けること。
    2. 15.1.2 腎盂及び膀胱腫瘍の患者を調査したところ、本剤中のアセトアミノフェンの類似化合物(フェナセチン)製剤を長期・大量に使用(例:総服用量1.5~27kg、服用期間4~30年)していた人が多いとの報告がある。
    3. 15.1.3 抗パーキンソン剤(本剤中のプロメタジンメチレンジサリチル酸塩)はフェノチアジン系化合物、ブチロフェノン系化合物等による口周部等の不随意運動(遅発性ジスキネジア)を通常軽減しない。場合によっては、このような症状を増悪、顕性化させることがある。
    4. 15.1.4 本剤中のプロメタジンメチレンジサリチル酸塩は制吐作用を有するため、他の薬剤に基づく中毒、腸閉塞、脳腫瘍等による嘔吐症状を不顕性化することがあるので注意すること。
    5. 15.1.5 非ステロイド性消炎鎮痛剤を長期間投与されている女性において、一時的な不妊が認められたとの報告がある。

    15.2 非臨床試験に基づく情報

    本剤中のアセトアミノフェンの類似化合物(フェナセチン)を長期・大量投与した動物試験(マウス、ラット)で、腫瘍発生が認められたとの報告がある。

    16. 薬物動態

    16.1 血中濃度

    1. 16.1.1 サリチルアミドを健康成人に絶食時単回経口投与したとき、サリチルアミド及びその代謝物は1.5~2時間以内に最高血漿中濃度に達する5)(外国人データ)。
    2. 16.1.2 アセトアミノフェンは10~60分以内に最高血中濃度に達した後、約8時間後に血中にはほとんど検出できなくなる6)(外国人データ)。
    3. 16.1.3 生物学的同等性試験

      ピーエイ配合錠とPL配合顆粒を、クロスオーバー法によりピーエイ配合錠は2錠、PL配合顆粒は1g(サリチルアミド270mg・アセトアミノフェン150mg・無水カフェイン60mg・プロメタジンメチレンジサリチル酸塩13.5mg)健康成人男子に絶食単回経口投与して各血漿中未変化体濃度を測定し、得られた薬物動態パラメータ(AUC、Cmax)について統計解析を行った結果、両剤の生物学的同等性が確認された7)

      表 薬物動態パラメータ

      判定パラメータ

      参考パラメータ

      AUC(0→24)
      (μg・hr/mL)

      Cmax
      (μg/mL)

      Tmax
      (hr)

      t1/2
      (hr)

      サリチルアミド

      ピーエイ配合錠

      10.67±2.76a

      5.05±0.71

      0.92±0.42

      1.13±0.39

      PL配合顆粒

      10.30±2.18a

      4.98±1.00

      0.79±0.26

      1.19±0.34

      アセトアミノフェン

      ピーエイ配合錠

      9.38±1.59

      2.21±0.36

      0.83±0.25

      2.38±0.49

      PL配合顆粒

      9.52±1.25

      2.21±0.33

      0.71±0.33

      2.34±0.49

      無水カフェイン

      ピーエイ配合錠

      9.74±2.32

      1.89±0.34

      0.88±0.53

      3.67±1.53

      PL配合顆粒

      10.07±2.81

      1.94±0.26

      0.79±0.33

      3.68±1.05

      プロメタジンメチレンジサリチル酸塩

      ピーエイ配合錠

      23.76±15.44b

      2.72±1.57c

      3.92±0.51

      4.48±1.25

      PL配合顆粒

      23.51±12.80b

      2.76±1.58c

      3.92±0.67

      5.38±1.23

      a; AUC(0→8) b; (ng・hr/mL) c; (ng/mL)
      (Mean±S.D., n=12)

      図 サリチルアミドの血漿中濃度推移
      図 アセトアミノフェンの血漿中濃度推移
      図 無水カフェインの血漿中濃度推移
      図 プロメタジンメチレンジサリチル酸塩の血漿中濃度推移

      血漿中濃度並びにAUC、Cmax等のパラメータは、被験者の選択、体液の採取回数・時間等の試験条件によって異なる可能性がある。

    16.2 吸収

    1. 16.2.1 サリチルアミドは経口投与後速やかにほとんどが消化管から吸収される5)(外国人データ)。
    2. 16.2.2 アセトアミノフェンは経口投与後速やかに消化管から吸収される6)(外国人データ)。

    16.3 分布

    サリチルアミド、アセトアミノフェンは吸収後、速やかにほとんどの組織に分布する5),6)(外国人データ)。

    16.4 代謝

    1. 16.4.1 サリチルアミドは通常用量を経口投与後、吸収過程でほとんど完全に不活性代謝物に代謝され、肝臓で初回通過効果を受ける5)
    2. 16.4.2 アセトアミノフェンは肝臓で主にグルクロン酸抱合体、硫酸抱合体に代謝される。また、一部はCYP2E1等により水酸化され、N-アセチル-p-ベンゾキノンイミンとなるが、肝細胞内でグルタチオン抱合を受け、メルカプツール酸となる8)
    3. 16.4.3 カフェインはCYP1A2による脱メチル化及び酸化によって代謝され、メチルキサンチンあるいはメチル尿酸となる9),10)
    4. 16.4.4 プロメタジンは肝臓で主にプロメタジンスルホキシドとデスメチルプロメタジンに代謝される11)。肝代謝には主にCYP2D6が関与する12)in vitro)。

    16.5 排泄

    1. 16.5.1 サリチルアミドは24時間以内に単回経口投与量の90~100%は尿中に排泄されるが、未変化体の排泄率は5%以下である5)(外国人データ)。
    2. 16.5.2 アセトアミノフェンは24時間以内に単回経口投与量の約85%が尿中に排泄される6)(外国人データ)。
    3. 16.5.3 カフェインはメチルキサンチンあるいはメチル尿酸となって尿中に排泄される10)
    4. 16.5.4 プロメタジンは尿中には主としてプロメタジンスルホキシドが排泄される11)(外国人データ)。

    17. 臨床成績

    17.1 有効性及び安全性に関する試験

    1. 17.1.1 国内臨床試験

      プラセボを対照薬とした二重盲検比較試験での症状別改善率は表のとおりであった。サリチルアミド・アセトアミノフェン・無水カフェイン・プロメタジンメチレンジサリチル酸塩配合顆粒(以下、配合顆粒)はプラセボと比較して有意にすぐれた効果が確認された13)

      表 臨床成績

      症状

      配合顆粒

      プラセボ

      改善例数/有効性評価対象例数

      改善率
      (%)

      改善例数/有効性評価対象例数

      改善率
      (%)

      鼻汁

      63/73

      86.3

      45/66

      68.2

      鼻閉

      44/48

      91.7

      23/44

      52.3

      咽頭痛

      53/64

      82.8

      37/57

      64.9

      頭痛

      41/45

      91.1

      34/47

      72.3

      ※:投与2日後に、症状が消失・軽減した症例を改善症例とした。

      副作用発現頻度は3.8%(3/80例)であった。副作用は、悪心2.5%(2/80例)、眠気、口渇1.3%(各1/80例)であった13)

    2. 17.1.2 国内臨床試験

      かぜ症候群(感冒、上気道炎等)と診断された60症例について、ピーエイ配合錠を1回2錠1日4回経口投与した時の臨床試験成績は次のとおりであった。
      かぜ症候群にみられる各症状の改善率(改善以上)は鼻汁87.2%(34/39例)、鼻閉62.5%(15/24例)、咽・喉頭痛80.0%(28/35例)、頭痛85.7%(18/21例)、関節痛75.0%(9/12例)、筋肉痛84.6%(11/13例)及び発熱87.5%(14/16例)であった。各症状の改善度を総合的に勘案した全般改善度は、52例中著明改善19例、中等度改善22例、軽度改善9例であり、中等度改善以上の改善率は78.8%(41/52例)であった。
      副作用発現頻度は3.6%(2/56例)であった。副作用は、眠気3.6%(2/56例)であった14),15)

    18. 薬効薬理

    18.1 作用機序

    サリチルアミド(サリチル酸系)とアセトアミノフェン(アミノフェノール系)は、末梢血管を拡張し、熱の放散を盛んにして解熱効果を、また鎮痛効果を示す5),6)
    カフェインの中枢神経興奮作用は精神機能を活発にする16)
    プロメタジンは、フェノチアジン系の抗ヒスタミン剤で抗ヒスタミン作用を有する17)

    18.2 薬理作用

    1. 18.2.1 鎮痛作用

      ウサギを用いた試験で、サリチルアミドとカフェインの併用により鎮痛作用の増強が認められた18)

    19. 有効成分に関する理化学的知見

    19.1 サリチルアミド

    一般的名称

    サリチルアミド(Salicylamide)(JAN)

    化学名

    2-Hydroxybenzamide

    分子式

    C7H7NO2

    分子量

    137.14

    性状

    サリチルアミドは白色の結晶又は結晶性の粉末で、におい及び味はない。N,N-ジメチルホルムアミドに極めて溶けやすく、エタノール(95)に溶けやすく、プロピレングリコールにやや溶けやすく、ジエチルエーテルにやや溶けにくく、水又はクロロホルムに溶けにくい。水酸化ナトリウム試液に溶ける。

    化学構造式

    融点

    139~143℃

    19.2 アセトアミノフェン

    一般的名称

    アセトアミノフェン(Acetaminophen)(JAN)

    化学名

    N-(4-Hydroxyphenyl)acetamide

    分子式

    C8H9NO2

    分子量

    151.16

    性状

    アセトアミノフェンは白色の結晶又は結晶性の粉末である。メタノール又はエタノール(95)に溶けやすく、水にやや溶けにくく、ジエチルエーテルに極めて溶けにくい。水酸化ナトリウム試液に溶ける。

    化学構造式

    融点

    169~172℃

    19.3 無水カフェイン

    一般的名称

    無水カフェイン(Anhydrous Caffeine)(JAN)

    化学名

    1,3,7-Trimethyl-1H-purine-2,6(3H,7H)-dione

    分子式

    C8H10N4O2

    分子量

    194.19

    性状

    無水カフェインは白色の結晶又は粉末で、においはなく、味は苦い。クロロホルムに溶けやすく、水、無水酢酸又は酢酸(100)にやや溶けにくく、エタノール(95)又はジエチルエーテルに溶けにくい。1.0gを水100mLに溶かした液のpHは5.5~6.5である。

    化学構造式

    融点

    235~238℃

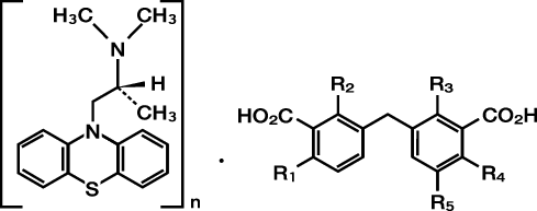
    19.4 プロメタジンメチレンジサリチル酸塩

    一般的名称

    プロメタジンメチレンジサリチル酸塩(Promethazine Methylenedisalicylate)(JAN)
    本品は次のメチレンジサリチル酸の誘導体塩の混合物である。
    ※1:(2RS)-N,N-ジメチル-1-(10H-フェノチアジン-10-イル)プロパン-2-イラミン5,5'-メチレンジ(2-ヒドロキシベンゾエート)
    ※2:(2RS)-N,N-ジメチル-1-(10H-フェノチアジン-10-イル)プロパン-2-イラミン3,5'-メチレンジ(2-ヒドロキシベンゾエート)
    ※3:(2RS)-N,N-ジメチル-1-(10H-フェノチアジン-10-イル)プロパン-2-イラミン3-(3-カルボキシ-4-ヒドロキシベンジル)-5,5'-メチレンジ(2-ヒドロキシベンゾエート)

    化学名

    ※1:(2RS)-N,N-Dimethyl-1-(10H-phenothiazin-10-yl)propan-2-ylamine 5,5'-methylenedi(2-hydroxybenzoate)
    ※2:(2RS)-N,N-Dimethyl-1-(10H-phenothiazin-10-yl)propan-2-ylamine 3,5'-methylenedi(2-hydroxybenzoate)
    ※3:(2RS)-N,N-Dimethyl-1-(10H-phenothiazin-10-yl)propan-2-ylamine 3-(3-carboxy-4-hydroxybenzyl)-5,5'-methylenedi(2-hydroxybenzoate)

    分子式

    ※1:C34H40N4S2・C15H12O6
    ※2:C34H40N4S2・C15H12O6
    ※3:C51H60N6S3・C23H18O9

    分子量

    ※1:857.09
    ※2:857.09
    ※3:1291.64

    性状

    プロメタジンメチレンジサリチル酸塩は白色~微黄色の結晶性の粉末である。酢酸(100)に溶けやすく、エタノール(99.5)に極めて溶けにくく、水又はジエチルエーテルにほとんど溶けない。

    化学構造式

    ※1:n=2, R1,R4=OH, R2,R3,R5=H
    ※2:n=2, R1,R3=OH, R2,R4,R5=H
    ※3:n=3, R1,R4=H, R2,R3=OH, R5=

    融点

    約211℃(分解)

    20. 取扱い上の注意

    光により着色することがあるので、アルミピロー包装開封後は遮光して保存すること。

    22. 包装

    100錠[10錠(PTP)×10]
    1,000錠[10錠(PTP)×100]

    24. 文献請求先及び問い合わせ先

    沢井製薬株式会社 医薬品情報センター

    〒532-0003 大阪市淀川区宮原5丁目2-30

    TEL:0120-381-999 FAX:06-7708-8966

    全星薬品工業株式会社 医薬情報部

    〒545-0051 大阪市阿倍野区旭町1-2-7

     0120-189-228 TEL:06-6630-8820 FAX:06-6630-8990

    26. 製造販売業者等

    26.1 製造販売元

    全星薬品工業株式会社

    大阪市阿倍野区旭町1-2-7

    26.2 発売元

    沢井製薬株式会社

    大阪市淀川区宮原5丁目2-30

    〒100-0013 東京都千代田区霞が関3-3-2 新霞が関ビル

    画面を閉じる

    Copyright © Pharmaceuticals and Medical Devices Agency, All Rights reserved.