医療用医薬品 詳細表示

アンブロキソール塩酸塩徐放OD錠45mg「ZE」

処方せん医薬品以外の医薬品

添付文書番号
企業コード
作成又は改訂年月
日本標準商品分類番号
薬効分類名
承認等
一般的名称
2.禁忌(次の患者には投与しないこと)
3.組成・性状
3.1組成
3.2製剤の性状
4.効能又は効果
6.用法及び用量
7.用法及び用量に関連する注意
9.特定の背景を有する患者に関する注意
9.5妊婦
9.6授乳婦
9.8高齢者
11.副作用
11.1重大な副作用
11.2その他の副作用
14.適用上の注意
16.薬物動態
16.1血中濃度
17.臨床成績
17.1有効性及び安全性に関する試験
18.薬効薬理
18.1作用機序
19.有効成分に関する理化学的知見
20.取扱い上の注意
22.包装
23.主要文献
24.文献請求先及び問い合わせ先
26.製造販売業者等

アンブロキソール塩酸塩徐放OD錠45mg「ZE」

添付文書番号

2239001G1020_1_05

企業コード

380087

作成又は改訂年月

2024年1月改訂(第1版)

日本標準商品分類番号

872239

薬効分類名

徐放性気道潤滑去痰剤

承認等

アンブロキソール塩酸塩徐放OD錠45mg「ZE」

販売名コード

YJコード

2239001G1020

販売名英語表記

AMBROXOL HYDROCHLORIDE L-OD TABLETS

承認番号等

承認番号

22600AMX00467000

販売開始年月

2014年6月

貯法・有効期間

貯法

室温保存

有効期間

3年

一般的名称

アンブロキソール塩酸塩

2. 禁忌(次の患者には投与しないこと)

本剤の成分に対し過敏症の既往歴のある患者

3. 組成・性状

3.1 組成

アンブロキソール塩酸塩徐放OD錠45mg「ZE」

有効成分1錠中、アンブロキソール塩酸塩   45mg
添加剤結晶セルロース(粒)、ポビドン、クロスポビドン、ヒプロメロース、スクラロース、エチルセルロース、没食子酸プロピル、含水二酸化ケイ素、マクロゴール6000、D-マンニトール、結晶セルロース、カルメロース、アセスルファムカリウム、ステアリン酸マグネシウム、香料、バニリン、エチルバニリン、l-メントール

3.2 製剤の性状

アンブロキソール塩酸塩徐放OD錠45mg「ZE」

剤形素錠(速放性顆粒及び徐放性顆粒を含有する口腔内崩壊錠)
色調白色(微黄白色~淡黄白色の斑点がある)
外形表面
裏面
側面
大きさ直径10.0mm
厚さ6.0mm
質量460mg
識別コードZE17

4. 効能又は効果

  • 下記疾患の去痰
    • 急性気管支炎、気管支喘息、慢性気管支炎、気管支拡張症、肺結核、塵肺症、手術後の喀痰喀出困難

6. 用法及び用量

通常、成人には1回1錠(アンブロキソール塩酸塩として45mg)を1日1回経口投与する。

7. 用法及び用量に関連する注意

早朝覚醒時に喀痰喀出困難を訴える患者には、夕食後投与が有用である。

9. 特定の背景を有する患者に関する注意

9.5 妊婦

妊婦又は妊娠している可能性のある女性には、治療上の有益性が危険性を上回ると判断される場合にのみ投与すること。

9.6 授乳婦

治療上の有益性及び母乳栄養の有益性を考慮し、授乳の継続又は中止を検討すること。動物実験(ラット)で母乳中へ移行することが報告されている。

9.8 高齢者

減量が必要な場合には、他の剤形(徐放性製剤を除く)を使用すること。一般に生理機能が低下している。

11. 副作用

次の副作用があらわれることがあるので、観察を十分に行い、異常が認められた場合には投与を中止するなど適切な処置を行うこと。

11.1 重大な副作用

  1. 11.1.1 ショック、アナフィラキシー(いずれも頻度不明)

    発疹、顔面浮腫、呼吸困難、血圧低下等があらわれることがある。

  2. 11.1.2 皮膚粘膜眼症候群(Stevens-Johnson症候群)(頻度不明)

11.2 その他の副作用

0.1~5%未満

0.1%未満

頻度不明

消化器

胃不快感

胃痛、腹部膨満感、腹痛、下痢、嘔気、嘔吐、便秘、食思不振、消化不良(胃部膨満感、胸やけ等)

過敏症

発疹、蕁麻疹、蕁麻疹様紅斑、そう痒

血管浮腫(顔面浮腫、眼瞼浮腫、口唇浮腫等)

肝臓

肝機能障害(AST上昇、ALT上昇等)

その他

口内しびれ感、上肢のしびれ感

めまい

注)発現頻度は錠、液、シロップ及び徐放カプセルの承認時までの臨床試験及び使用成績調査を含む。

14. 適用上の注意

14.1 薬剤交付時の注意

  1. 14.1.1 PTP包装の薬剤はPTPシートから取り出して服用するよう指導すること。PTPシートの誤飲により、硬い鋭角部が食道粘膜へ刺入し、更には穿孔をおこして縦隔洞炎等の重篤な合併症を併発することがある。
  2. 14.1.2 本剤は舌の上にのせて唾液を浸潤させると崩壊するため、水なしで服用可能である。また、水で服用することもできる。

16. 薬物動態

16.1 血中濃度

  1. 16.1.1 生物学的同等性試験

    健康成人男性にアンブロキソール塩酸塩として45mgを含有するアンブロキソール塩酸塩徐放錠45mg 1錠とアンブロキソール塩酸塩徐放カプセル45mg 1カプセルを、無作為割付け、2剤2期クロスオーバー法により絶食(n=18)又は食後(n=20)単回経口投与した。血漿中アンブロキソール未変化体濃度を測定し、薬物動態パラメータ(AUCt及びCmax)について統計解析を行った結果、対数値の平均値の差の90%信頼区間は、いずれの摂食条件でもすべて生物学的同等性の判定基準log(0.80)~log(1.25)の範囲内であることから両剤の生物学的同等性が確認された1)

    血漿中アンブロキソール未変化体濃度の薬物動態パラメータ

    AUCt

    (ng・h/mL)

    Cmax

    (ng/mL)

    Tmax

    (h)

    t1/2

    (h)


    徐放錠

    (n=18)

    579.462±166.839

    28.985±7.027

    6.0

    12.149±3.368

    徐放カプセル

    (n=18)

    645.866±234.574

    27.641±6.854

    4.0

    11.531±3.051


    徐放錠

    (n=20)

    689.543±237.718

    35.256±10.069

    6.0

    12.178±2.835

    徐放カプセル

    (n=20)

    697.838±219.157

    30.955±9.140

    6.0

    13.384±5.355

    (#:平均値±標準偏差、※:中央値)

  2. 16.1.2 生物学的同等性試験

    アンブロキソール塩酸塩徐放OD錠45mg「ZE」1錠とムコソルバンLカプセル45mg 1カプセル(アンブロキソール塩酸塩として45mg)を、クロスオーバー法により健康成人男子に前者は絶食後水あり及び水なし、さらに食後水なし、後者はいずれも水あり単回経口投与して血漿中未変化体濃度を測定し、得られた薬物動態パラメータ(AUC、Cmax)について90%信頼区間法にて統計解析を行った結果、いずれもlog(0.80)~log(1.25)の範囲内であり、両剤の生物学的同等性が確認された2)

    1. (1) 絶食・水あり投与(アンブロキソール塩酸塩徐放OD錠45mg「ZE」、ムコソルバンLカプセル45mgともに水で服用)
      薬物動態パラメータ

      判定パラメータ

      参考パラメータ

      AUC(0→48)

      (ng・hr/mL)

      Cmax

      (ng/mL)

      Tmax

      (hr)

      t1/2

      (hr)

      アンブロキソール
      塩酸塩徐放OD錠
      45mg「ZE」

      984.2±306.0

      65.5±23.1

      4.2±0.9

      10.2±2.1

      ムコソルバンL
      カプセル45mg

      1088.7±325.9

      62.3±21.4

      4.3±1.0

      12.6±4.7

      (Mean±S.D., n=20)

      血漿中アンブロキソール濃度推移
    2. (2) 絶食・水なし投与(アンブロキソール塩酸塩徐放OD錠45mg「ZE」は水なしで服用、ムコソルバンLカプセル45mgは水で服用)
      薬物動態パラメータ

      判定パラメータ

      参考パラメータ

      AUC(0→48)

      (ng・hr/mL)

      Cmax

      (ng/mL)

      Tmax

      (hr)

      t1/2

      (hr)

      アンブロキソール
      塩酸塩徐放OD錠
      45mg「ZE」

      949.7±192.2

      53.4±13.4

      5.2±2.1

      11.2±3.3

      ムコソルバンL
      カプセル45mg

      956.3±225.9

      50.5±14.5

      5.4±2.1

      11.5±3.9

      (Mean±S.D., n=20)

      血漿中アンブロキソール濃度推移
    3. (3) 食後・水なし投与(アンブロキソール塩酸塩徐放OD錠45mg「ZE」は水なしで服用、ムコソルバンLカプセル45mgは水で服用)
      薬物動態パラメータ

      判定パラメータ

      参考パラメータ

      AUC(0→48)

      (ng・hr/mL)

      Cmax

      (ng/mL)

      Tmax

      (hr)

      t1/2

      (hr)

      アンブロキソール
      塩酸塩徐放OD錠
      45mg「ZE」

      971.2±329.4

      60.7±19.3

      6.7±1.7

      9.5±1.7

      ムコソルバンL
      カプセル45mg

      1038.2±229.0

      58.4±15.9

      7.1±1.6

      11.8±6.3

      (Mean±S.D., n=20)

      血漿中アンブロキソール濃度推移

      血漿中濃度並びにAUC、Cmax等のパラメータは、被験者の選択、体液の採取回数・時間等の試験条件によって異なる可能性がある。

17. 臨床成績

17.1 有効性及び安全性に関する試験

  1. 17.1.1 国内臨床試験(早朝覚醒時に喀痰喀出困難を訴える患者)

    早朝覚醒時に喀痰喀出困難を訴える患者を対象に行った二重盲検試験で、アンブロキソール塩酸塩徐放カプセル45mgの夕食後1回投与の有効性が認められた3)

18. 薬効薬理

18.1 作用機序

アンブロキソール塩酸塩は、肺表面活性物質の分泌促進作用、気道液の分泌促進作用、線毛運動亢進作用が総合的に作用して喀痰喀出効果を示すものと考えられる。この際、肺表面活性物質の役割としては、線毛の存在しない肺胞や呼吸細気管支を含め気道中の粘性物質を排出しやすくするものと考えられている4),5),6),7),8)

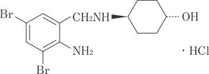
19. 有効成分に関する理化学的知見

一般的名称

アンブロキソール塩酸塩(Ambroxol Hydrochloride)(JAN)

化学名

trans-4-[(2-amino-3,5-dibromobenzyl)amino]cyclohexanol hydrochloride

分子式

C13H18Br2N2O・HCl

分子量

414.56

性状

アンブロキソール塩酸塩は白色の結晶性の粉末で、においはなく、わずかに特異な味がある。メタノールにやや溶けやすく、水又はエタノール(99.5)にやや溶けにくく、酢酸(100)に溶けにくく、ジエチルエーテルにほとんど溶けない。

化学構造式

融点

約235℃(分解)

20. 取扱い上の注意

PTP包装はアルミピロー開封後、バラ包装はボトル開封後、湿気を避けて保存すること。

22. 包装

100錠[10錠(PTP)×10、乾燥剤入り]
300錠[瓶、バラ、乾燥剤入り]
500錠[10錠(PTP)×50、乾燥剤入り]

24. 文献請求先及び問い合わせ先

全星薬品工業株式会社 医薬情報部

〒545-0051 大阪市阿倍野区旭町1-2-7

0120-189-228
TEL 06-6630-8820
FAX 06-6630-8990

26. 製造販売業者等

26.1 製造販売元

全星薬品工業株式会社

大阪市阿倍野区旭町1-2-7

26.2 発売元

全星薬品株式会社

堺市堺区向陵中町2-4-12

〒100-0013 東京都千代田区霞が関3-3-2 新霞が関ビル

画面を閉じる

Copyright © Pharmaceuticals and Medical Devices Agency, All Rights reserved.