医療用医薬品 詳細表示

ベタヒスチンメシル酸塩錠6mg「CEO」/ベタヒスチンメシル酸塩錠12mg「CEO」

処方せん医薬品

添付文書番号
企業コード
作成又は改訂年月
日本標準商品分類番号
薬効分類名
承認等
一般的名称
3.組成・性状
3.1組成
3.2製剤の性状
4.効能又は効果
6.用法及び用量
9.特定の背景を有する患者に関する注意
9.1合併症・既往歴等のある患者
9.5妊婦
9.6授乳婦
9.7小児等
9.8高齢者
11.副作用
11.2その他の副作用
14.適用上の注意
16.薬物動態
16.1血中濃度
16.8その他
17.臨床成績
17.1有効性及び安全性に関する試験
18.薬効薬理
18.1作用機序
18.2内耳循環障害の改善作用
18.3蝸牛管血流量の増加作用
18.4脳内血流量の改善作用
19.有効成分に関する理化学的知見
20.取扱い上の注意
22.包装
23.主要文献
24.文献請求先及び問い合わせ先
26.製造販売業者等

ベタヒスチンメシル酸塩錠6mg「CEO」/ベタヒスチンメシル酸塩錠12mg「CEO」

添付文書番号

1339005F1431_1_03

企業コード

380999

作成又は改訂年月

2023年11月改訂(第1版)

日本標準商品分類番号

871339

薬効分類名

めまい・平衡障害治療剤

承認等

ベタヒスチンメシル酸塩錠6mg「CEO」

販売名コード

YJコード

1339005F1431

販売名英語表記

BETAHISTINE MESILATE TABLETS

販売名ひらがな

べたひすちんめしるさんえんじょう6mg「CEO」

承認番号等

承認番号

22500AMX00147

販売開始年月

2013年6月

貯法・有効期間

貯法

室温保存

有効期間

3年

基準名

日本薬局方

ベタヒスチンメシル酸塩錠

ベタヒスチンメシル酸塩錠12mg「CEO」

販売名コード

YJコード

1339005F2217

販売名英語表記

BETAHISTINE MESILATE TABLETS

販売名ひらがな

べたひすちんめしるさんえんじょう12mg「CEO」

承認番号等

承認番号

22500AMX00148

販売開始年月

2013年6月

貯法・有効期間

貯法

室温保存

有効期間

3年

基準名

日本薬局方

ベタヒスチンメシル酸塩錠

一般的名称

ベタヒスチンメシル酸塩

3. 組成・性状

3.1 組成

ベタヒスチンメシル酸塩錠6mg「CEO」

有効成分1錠中
日局 ベタヒスチンメシル酸塩   6mg
添加剤タルク、低置換度ヒドロキシプロピルセルロース、含水二酸化ケイ素、結晶セルロース、ヒドロキシプロピルセルロース、ステアリン酸カルシウム

ベタヒスチンメシル酸塩錠12mg「CEO」

有効成分1錠中
日局 ベタヒスチンメシル酸塩   12mg
添加剤タルク、低置換度ヒドロキシプロピルセルロース、含水二酸化ケイ素、結晶セルロース、ヒドロキシプロピルセルロース、ステアリン酸カルシウム

3.2 製剤の性状

ベタヒスチンメシル酸塩錠6mg「CEO」

剤形白色の割線入り素錠
外形表面
裏面
側面
大きさ直径(mm)6.5
厚さ(mm)2.3
識別コードCEO701
重量(mg)約100

ベタヒスチンメシル酸塩錠12mg「CEO」

剤形白色の割線入り素錠
外形表面
裏面
側面
大きさ直径(mm)8.0
厚さ(mm)3.0
識別コードCEO702
重量(mg)約200

4. 効能又は効果

下記の疾患に伴うめまい、めまい感
メニエール病、メニエール症候群、眩暈症

6. 用法及び用量

  • 〈ベタヒスチンメシル酸塩錠6mg「CEO」〉

    通常、成人は1回1~2錠(ベタヒスチンメシル酸塩として1回6~12mg)を1日3回食後経口投与する。
    ただし、年齢、症状により適宜増減する。

  • 〈ベタヒスチンメシル酸塩錠12mg「CEO」〉

    通常、成人は1回1錠を1日3回食後経口投与する。
    (なおベタヒスチンメシル酸塩としての1回の用量は6~12mgである。)
    ただし、年齢、症状により適宜増減する。

9. 特定の背景を有する患者に関する注意

9.1 合併症・既往歴等のある患者

  1. 9.1.1 消化性潰瘍の既往歴のある患者及び活動性の消化性潰瘍のある患者

    本剤はヒスタミン類似作用を有するため、H2受容体を介して胃酸分泌亢進を引きおこすおそれがある。

  2. 9.1.2 気管支喘息の患者

    本剤はヒスタミン類似作用を有するため、H1受容体を介して気道の収縮を引きおこすおそれがある。

  3. 9.1.3 *褐色細胞腫又はパラガングリオーマのある患者

    本剤はヒスタミン類似作用を有するため、アドレナリンの過剰分泌により血圧上昇を引きおこすおそれがある。

9.5 妊婦

妊婦又は妊娠している可能性のある女性には、治療上の有益性が危険性を上回ると判断された場合にのみ投与すること。

9.6 授乳婦

治療上の有益性及び母乳栄養の有益性を考慮し、授乳の継続又は中止を検討すること。

9.7 小児等

小児等を対象とした臨床試験は実施していない。

9.8 高齢者

減量するなど注意すること。一般に生理機能が低下している。

11. 副作用

次の副作用があらわれることがあるので、観察を十分に行い、異常が認められた場合には投与を中止するなど適切な処置を行うこと。

11.2 その他の副作用

0.1~5%未満

消化器

悪心・嘔吐

過敏症

発疹

14. 適用上の注意

14.1 薬剤交付時の注意

PTP包装の薬剤はPTPシートから取り出して服用するよう指導すること。PTPシートの誤飲により、硬い鋭角部が食道粘膜に刺入し、更には穿孔をおこして縦隔洞炎等の重篤な合併症を併発することがある。

16. 薬物動態

16.1 血中濃度

ベタヒスチンメシル酸塩錠12mg「CEO」とメリスロン錠12㎎をクロスオーバー法により、それぞれ1錠(ベタヒスチンメシル酸塩として12mg)を健康成人男子に空腹時単回経口投与して血漿中2-ピリジル酢酸(ベタヒスチンメシル酸塩の主代謝物)濃度を測定し、得られた薬物動態パラメータ(AUC、Cmax)について統計解析を行った結果、両剤の生物学的同等性が確認された1)

AUC0-24
(ng・hr/mL)

Cmax
(ng/mL)

Tmax
(hr)

T1/2

ベタヒスチンメシル酸塩錠12mg「CEO」

805.13±276.72

169.88±61.78

0.80±0.55

4.65±2.72

メリスロン錠12mg

849.78±226.14

161.96±47.46

1.30±0.83

4.14±1.22

(mean±S.D.,n=17)

血漿中濃度並びにAUC、Cmax等のパラメータは、被験者の選択、体液の採取回数・時間等の試験条件によって異なる可能性がある。

16.8 その他

ベタヒスチンメシル酸塩錠6mg「CEO」は、「含量が異なる経口固形製剤の生物学的同等性試験ガイドライン(平成18年11月24日付薬食審査発第1124004号)」に基づき、ベタヒスチンメシル酸塩錠12mg「CEO」を標準製剤としたとき、溶出挙動が等しく、生物学的に同等とみなされた2)

17. 臨床成績

17.1 有効性及び安全性に関する試験

  1. 17.1.1 国内臨床成績

    総計298例(実薬投与群205例)について実施された二重盲検試験を含む臨床試験で、ベタヒスチンメシル酸塩錠はメニエール病、メニエール症候群、眩暈症等に伴うめまい、めまい感に対して有用性が認められている3),4),5),6),7)

18. 薬効薬理

18.1 作用機序

ヒスタミンH1受容体刺激薬(部分作動薬)である。眩暈、平衡障害の改善には、内耳微小循環血流量増加などが関与すると考えられる8)

18.2 内耳循環障害の改善作用

モルモットの実験的内耳微小循環障害に、ベタヒスチンメシル酸塩を腹腔内投与し、30分後に、対照群に比較して148%の血流増加が認められている。また、この現象は、病的状態において特異的にみられる9)

18.3 蝸牛管血流量の増加作用

内リンパ水腫モルモットにベタヒスチンメシル酸塩を経口投与すると、蝸牛管血流量は5.5mL/min/100gから8.1mL/min/100gとなり、有意に増加した。これは、蝸牛放射状動脈の血管平滑筋弛緩作用により、血流量増加を生じたものと推察される10)

18.4 脳内血流量の改善作用

アカゲザルの実験によるとベタヒスチンメシル酸塩の静脈内投与により、大脳組織及び小脳組織の血流をそれぞれ70.4から81.4mL/100g/min.、73.2から84.0mL/100g/min.に増加させることが認められている11)

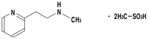
19. 有効成分に関する理化学的知見

一般的名称

ベタヒスチンメシル酸塩(Betahistine Mesilate)(JAN)

化学名

N-Methyl-2-pyridin-2-ylethylamine dimethanesulfonate

分子式

C8H12N2・2CH4O3S

分子量

328.41

性状

白色の結晶又は結晶性の粉末である。
水に極めて溶けやすく、酢酸(100)に溶けやすく、エタノール(99.5)にやや溶けにくい。
希塩酸に溶ける。
吸湿性である。

化学構造式

融点

110〜114℃(乾燥後)

20. 取扱い上の注意

  1. 20.1 アルミピロー開封後は湿気を避けて保存すること。

22. 包装

  • 〈ベタヒスチンメシル酸塩錠6mg「CEO」〉

    100錠[10錠(PTP)×10]
    1000錠[10錠(PTP)×100]

  • 〈ベタヒスチンメシル酸塩錠12mg「CEO」〉

    100錠[10錠(PTP)×10]
    1000錠[10錠(PTP)×100]

24. 文献請求先及び問い合わせ先

セオリアファーマ株式会社 メディカルインフォメーション室

〒103-0022 東京都中央区日本橋室町三丁目3番1号

TEL 0120-72-1136
FAX 03-3243-1137

26. 製造販売業者等

26.1 製造販売元

セオリアファーマ株式会社

東京都中央区日本橋室町三丁目3番1号

26.2 販売

武田薬品工業株式会社

大阪市中央区道修町四丁目1番1号

〒100-0013 東京都千代田区霞が関3-3-2 新霞が関ビル

画面を閉じる

Copyright © Pharmaceuticals and Medical Devices Agency, All Rights reserved.