医療用医薬品 詳細表示

ラリキシンドライシロップ小児用10%/ラリキシンドライシロップ小児用20%

処方せん医薬品

添付文書番号
企業コード
作成又は改訂年月
日本標準商品分類番号
薬効分類名
承認等
一般的名称
2.禁忌(次の患者には投与しないこと)
3.組成・性状
3.1組成
3.2製剤の性状
4.効能又は効果
5.効能又は効果に関連する注意
6.用法及び用量
8.重要な基本的注意
9.特定の背景を有する患者に関する注意
9.1合併症・既往歴等のある患者
9.2腎機能障害患者
11.副作用
11.1重大な副作用
11.2その他の副作用
12.臨床検査結果に及ぼす影響
16.薬物動態
16.1血中濃度
16.3分布
16.4代謝
16.5排泄
18.薬効薬理
18.1作用機序
18.2抗菌作用
19.有効成分に関する理化学的知見
20.取扱い上の注意
22.包装
23.主要文献
24.文献請求先及び問い合わせ先
26.製造販売業者等

ラリキシンドライシロップ小児用10%/ラリキシンドライシロップ小児用20%

添付文書番号

6132002R1168_2_05

企業コード

400022

作成又は改訂年月

2023年12月改訂(第1版)

日本標準商品分類番号

876132

薬効分類名

経口用セフェム系抗生物質製剤

承認等

ラリキシンドライシロップ小児用10%

販売名コード

YJコード

6132002R1168

販売名英語表記

LARIXIN Dry syrup 10% for pediatric

販売名ひらがな

らりきしんどらいしろっぷしょうによう10%

承認番号等

承認番号

21800AMX10191000

販売開始年月

1973年5月

貯法・有効期間

貯法

室温保存

有効期間

3年

基準名

日本薬局方

シロップ用セファレキシン

ラリキシンドライシロップ小児用20%

販売名コード

YJコード

6132002R2130

販売名英語表記

LARIXIN Dry syrup 20% for pediatric

販売名ひらがな

らりきしんどらいしろっぷしょうによう20%

承認番号等

承認番号

21800AMX10192000

販売開始年月

1978年4月

貯法・有効期間

貯法

室温保存

有効期間

3年

基準名

日本薬局方

シロップ用セファレキシン

一般的名称

セファレキシン

2. 禁忌(次の患者には投与しないこと)

本剤の成分に対し過敏症の既往歴のある患者

3. 組成・性状

3.1 組成

ラリキシンドライシロップ小児用10%

有効成分日局 セファレキシン
1g中100mg(力価)  
添加剤サッカリンナトリウム水
和物、香料、ヒドロキシ
プロピルセルロース、
ショ糖脂肪酸エステル、
精製白糖、黄色5号

ラリキシンドライシロップ小児用20%

有効成分日局 セファレキシン
1g中200mg(力価)  
添加剤サッカリンナトリウム水
和物、香料、デキストリ
ン、黄色5号、精製白糖

3.2 製剤の性状

ラリキシンドライシロップ小児用10%

色・剤形芳香のある微黄赤色の
シロップ用顆粒
識別コード
(分包)

ラリキシンドライシロップ小児用20%

色・剤形芳香のある淡橙色の
シロップ用顆粒
識別コード
(分包)

4. 効能又は効果

  • 〈適応菌種〉
    • 本剤に感性のブドウ球菌属、レンサ球菌属、肺炎球菌、腸球菌属、大腸菌、クレブシエラ属、インフルエンザ菌
  • 〈適応症〉
    • 表在性皮膚感染症、深在性皮膚感染症、リンパ管・リンパ節炎、慢性膿皮症、外傷・熱傷及び手術創等の二次感染、咽頭・喉頭炎、扁桃炎、急性気管支炎、肺炎、慢性呼吸器病変の二次感染、膀胱炎、腎盂腎炎、涙嚢炎、麦粒腫、外耳炎、中耳炎、副鼻腔炎、歯周組織炎、顎炎、抜歯創・口腔手術創の二次感染、猩紅熱

5. 効能又は効果に関連する注意

  • 〈咽頭・喉頭炎、扁桃炎、急性気管支炎、中耳炎、副鼻腔炎〉

    「抗微生物薬適正使用の手引き」1) を参照し、抗菌薬投与の必要性を判断した上で、本剤の投与が適切と判断される場合に投与すること。

6. 用法及び用量

通常、幼小児に対しては、体重kgあたりセファレキシンとして1日25〜50mg(力価)を分割して6時間毎に経口投与する。
重症の場合や分離菌の感受性が比較的低い症例に対しては、体重kg当りセファレキシンとして1日50〜100mg(力価)を分割して6時間毎に経口投与する。
なお、年齢、体重、症状により適宜増減する。

8. 重要な基本的注意

  1. 8.1 ショックがあらわれるおそれがあるので、十分な問診を行うこと。
  2. 8.2 本剤の使用にあたっては、耐性菌の発現等を防ぐため、原則として感受性を確認し、疾病の治療上必要な最小限の期間の投与にとどめること。
  3. 8.3 急性腎障害等の重篤な腎障害があらわれることがあるので、定期的に腎機能検査を行うなど観察を十分に行うこと。

9. 特定の背景を有する患者に関する注意

9.1 合併症・既往歴等のある患者

  1. 9.1.1 セフェム系抗生物質に対し過敏症の既往歴のある患者(ただし、本剤に対し過敏症の既往歴のある患者には投与しないこと)

    治療上やむを得ないと判断される場合を除き、投与しない。

  2. 9.1.2 ペニシリン系抗生物質に対し過敏症の既往歴のある患者
  3. 9.1.3 本人又は両親、兄弟に気管支喘息、発疹、蕁麻疹等のアレルギー症状を起こしやすい体質を有する患者
  4. 9.1.4 経口摂取の不良な患者又は非経口栄養の患者、全身状態の悪い患者

    観察を十分に行うこと。ビタミンK欠乏症状があらわれることがある。

9.2 腎機能障害患者

  1. 9.2.1 高度の腎障害のある患者

    投与量を減らすか、投与間隔をあけて使用すること。血中濃度が持続する。

11. 副作用

次の副作用があらわれることがあるので、観察を十分に行い、異常が認められた場合には投与を中止するなど適切な処置を行うこと。

11.1 重大な副作用

  1. 11.1.1 ショック、アナフィラキシー(いずれも0.1%未満)

    ショック、アナフィラキシー(呼吸困難、全身潮紅、浮腫等)を起こすことがある。

  2. 11.1.2 急性腎障害(0.1%未満)

    急性腎障害等の重篤な腎障害があらわれることがある。

  3. 11.1.3 溶血性貧血(0.1%未満)
  4. 11.1.4 偽膜性大腸炎(0.1%未満)

    偽膜性大腸炎等の血便を伴う重篤な大腸炎があらわれることがある。腹痛、頻回の下痢があらわれた場合には、直ちに投与を中止するなど適切な処置を行うこと。

  5. 11.1.5 中毒性表皮壊死融解症(Toxic Epidermal Necrolysis:TEN)、皮膚粘膜眼症候群(Stevens-Johnson 症候群)(いずれも0.1%未満)
  6. 11.1.6 間質性肺炎、PIE症候群(いずれも0.1%未満)

    発熱、咳嗽、呼吸困難、胸部X線異常、好酸球増多等を伴う間質性肺炎、PIE症候群等があらわれることがあるので、このような症状があらわれた場合には投与を中止し、副腎皮質ホルモン剤の投与等の適切な処置を行うこと。

11.2 その他の副作用

0.1~5%未満

0.1%未満

頻度不明

過敏症

発疹、蕁麻疹、紅斑、そう痒、発熱、リンパ腺腫脹、関節痛等

血液

顆粒球減少、好酸球増多、血小板減少

肝臓

黄疸、AST上昇、ALT上昇、Al-P上昇

消化器

悪心、嘔吐、下痢、軟便、腹痛、食欲不振、胃不快感等

菌交代症

口内炎、カンジダ症

ビタミン欠乏症

ビタミンK欠乏症状(低プロトロンビン血症、出血傾向等)、ビタミンB群欠乏症状(舌炎、口内炎、食欲不振、神経炎等)

その他

頭痛、めまい、全身倦怠感

12. 臨床検査結果に及ぼす影響

  1. 12.1 テステープ反応を除くベネディクト試薬、フェーリング試薬による尿糖検査では偽陽性を呈することがあるので注意すること。
  2. 12.2 直接クームス試験陽性を呈することがあるので注意すること。

16. 薬物動態

16.1 血中濃度

  1. 16.1.1 単回投与

    生後4ヵ月から14才までの小児(n=9)にセファレキシンシロップ用顆粒12.5mg(力価)/kgを空腹時単回経口投与したとき、最高血中濃度は1時間後に13.9μg/mLを示した2)

16.3 分布

血清蛋白結合率:限外ろ過法にて測定された血清蛋白結合率は約15%であった(外国人データ)3)

16.4 代謝

健康成人に経口投与後、生体内で代謝されず、未変化のまま尿中に排泄された4)

16.5 排泄

5〜10歳の小児患者(n=5)にセファレキシンシロップ用細粒24〜27mg(力価)/kgを空腹時単回経口投与したときの6時間までの尿中排泄率は、48.0〜71.1%であった5)

18. 薬効薬理

18.1 作用機序

細菌の細胞壁合成を阻害することにより抗菌作用を発揮し、その作用は殺菌的である6)

18.2 抗菌作用

試験管内でブドウ球菌属、レンサ球菌属、肺炎球菌、大腸菌、クレブシエラ属に抗菌力を示す7),8)

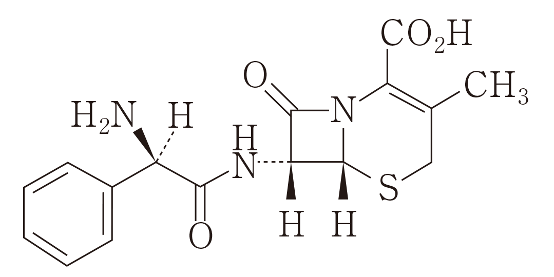
19. 有効成分に関する理化学的知見

一般的名称

セファレキシン(Cefalexin)

化学名

(6R,7R)-7-[(2R)-2-Amino-2-phenylacetylamino]-3-methyl-8-oxo-5-thia-1-azabicyclo[4.2.0]oct-2-ene-2-carboxylic acid

分子式

C16H17N3O4S

分子量

347.39

性状

白色〜淡黄白色の結晶又は結晶性の粉末である。
水にやや溶けにくく、メタノールに溶けにくく、エタノール(95)又はN,N-ジメチルホルムアミドにほとんど溶けない。
吸湿性である。

化学構造式

融点

173〜177.5℃(分解)

略号

CEX

20. 取扱い上の注意

  1. 20.1 外箱開封後は遮光して保存すること。
  2. 20.2 退色の認められたものは使用しないこと。露光により退色することがある。

22. 包装

  • <ラリキシンドライシロップ小児用10%>
    • 100g(プラスチックボトル、乾燥剤入り)
      1g×100包(分包)
  • <ラリキシンドライシロップ小児用20%>
    • 100g(プラスチックボトル、乾燥剤入り)
      1g×100包(分包)

24. 文献請求先及び問い合わせ先

富士フイルム富山化学株式会社 製品情報センター

〒104-0031 東京都中央区京橋2-14-1 兼松ビル

電話番号 0120-502-620

26. 製造販売業者等

26.1 製造販売元

富士フイルム富山化学株式会社

〒104-0031 東京都中央区京橋2-14-1 兼松ビル

〒100-0013 東京都千代田区霞が関3-3-2 新霞が関ビル

画面を閉じる

Copyright © Pharmaceuticals and Medical Devices Agency, All Rights reserved.