医療用医薬品 詳細表示

メトリジンD錠2mg

処方せん医薬品

添付文書番号
企業コード
作成又は改訂年月
日本標準商品分類番号
薬効分類名
承認等
一般的名称
2.禁忌(次の患者には投与しないこと)
3.組成・性状
3.1組成
3.2製剤の性状
4.効能又は効果
6.用法及び用量
8.重要な基本的注意
9.特定の背景を有する患者に関する注意
9.1合併症・既往歴等のある患者
9.2腎機能障害患者
9.5妊婦
9.6授乳婦
9.8高齢者
11.副作用
11.2その他の副作用
14.適用上の注意
16.薬物動態
16.1血中濃度
16.2吸収
16.3分布
16.4代謝
16.5排泄
16.6特定の背景を有する患者
17.臨床成績
17.1有効性及び安全性に関する試験
18.薬効薬理
18.1作用機序
18.2血圧に対する作用(ヒト)
18.3血圧に対する作用(動物)
19.有効成分に関する理化学的知見
20.取扱い上の注意
22.包装
23.主要文献
24.文献請求先及び問い合わせ先
26.製造販売業者等

メトリジンD錠2mg

添付文書番号

2160002F2024_1_09

企業コード

400059

作成又は改訂年月

2023年6月改訂(第2版)
2022年11月改訂(第1版)

日本標準商品分類番号

87216

薬効分類名

低血圧治療剤

承認等

メトリジンD錠2mg

販売名コード

YJコード

2160002F2024

販売名英語表記

Metligine D tablets 2mg

販売名ひらがな

めとりじんDじょう2mg

承認番号等

承認番号

21600AMZ00156000

販売開始年月

2004年7月

貯法・有効期間

貯法

室温保存

有効期間

3年

一般的名称

ミドドリン塩酸塩製剤(口腔内崩壊錠)

2. 禁忌(次の患者には投与しないこと)

  1. 2.1 甲状腺機能亢進症の患者[甲状腺機能亢進症の患者は、ノルアドレナリン等と類似の作用を持つ交感神経刺激薬により過度な反応を起こす可能性が知られている。本剤は、薬理学的にこれらの薬剤と同様な反応を起こすおそれがある。]
  2. 2.2 *褐色細胞腫又はパラガングリオーマの患者[褐色細胞腫又はパラガングリオーマの患者は、カテコールアミンの過剰放出があり、本剤が病態を悪化させるおそれがある。]

3. 組成・性状

3.1 組成

メトリジンD錠2mg

有効成分1錠中 ミドドリン塩酸塩   2mg
添加剤D-マンニトール
クロスポビドン
ステアリン酸カルシウム
香料

3.2 製剤の性状

メトリジンD錠2mg

剤形白色の割線入り素錠
(口腔内崩壊錠)
外形表面
裏面
側面
大きさ直径約7mm
厚さ約2.5mm
質量約120mg
識別コードT67

4. 効能又は効果

本態性低血圧、起立性低血圧

6. 用法及び用量

成人にはミドドリン塩酸塩として、通常1日4mgを2回に分けて経口投与する。なお、症状により適宜増減する。ただし、重症の場合は1日8mgまで増量できる。
小児にはミドドリン塩酸塩として、通常1日4mgを2回に分けて経口投与する。なお、症状により適宜増減するが、1日最高量は6mgとする。

8. 重要な基本的注意

外国において、神経原性起立性低血圧に対する二重盲検試験が実施された。臥位血圧が過度に上昇した症例が報告されているので注意すること。動悸、頭痛などの症状は臥位血圧の上昇による場合が考えられる。臥位血圧の上昇は本剤の減量、または頭部を高くして寝ることで調節できるが、臥位高血圧が続く場合には投与を中止すること。

9. 特定の背景を有する患者に関する注意

9.1 合併症・既往歴等のある患者

  1. 9.1.1 重篤な心臓障害のある患者

    本剤は静脈還流量増加作用を介した心臓への作用を有しているため、静脈還流を治療上抑制している患者等に投与する場合、病態を悪化させるおそれがある。

  2. 9.1.2 重篤な血管障害のある患者

    閉塞性動脈硬化症等の重篤な血管狭窄のある患者に投与する場合、病態を悪化させるおそれがある。

  3. 9.1.3 高血圧の患者

    基礎疾患として高血圧がある起立性低血圧患者に使用する場合、過度の血圧上昇が起こるおそれがある。

  4. 9.1.4 前立腺肥大に伴う排尿困難のある患者

    本剤が膀胱頸部のα受容体に作用するため、排尿困難を悪化させるおそれがある。

9.2 腎機能障害患者

  1. 9.2.1 重篤な腎機能障害のある患者

    投与間隔をあけて使用すること。消失半減期の延長により血中濃度が持続する。

9.5 妊婦

妊婦又は妊娠している可能性のある女性には投与しないことが望ましい。ラットで胎児への移行、吸収胚の増加、胎児体重低値及び骨化遅延、ウサギで死胚胎児の増加及び骨化遅延が認められている。

9.6 授乳婦

治療上の有益性及び母乳栄養の有益性を考慮し、授乳の継続又は中止を検討すること。ラットで乳汁中へ移行することが報告されている。

9.8 高齢者

減量するなど注意すること。一般に生理機能が低下している。

11. 副作用

次の副作用があらわれることがあるので、観察を十分に行い、異常が認められた場合には投与を中止するなど適切な処置を行うこと。

11.2 その他の副作用

0.1~1%未満

0.1%未満

頻度不明

精神神経系

眠気

いらいら感

消化器

悪心

腹痛

嘔吐

口内炎

腹部膨満感

便秘

下痢

循環器

高血圧

動悸

心室性期外収縮

中枢神経系

頭痛

めまい

皮膚1)

発疹

立毛感

そう痒感

蕁麻疹

発赤

肝臓

肝機能障害

ALT上昇

AST上昇

Al-P上昇

その他

ほてり感

悪寒

倦怠感

頻尿

発汗亢進

肩こり

異常感覚

排尿困難

発現頻度は承認時の国内臨床試験及び製造販売後調査の結果を合わせて算出した。
1) このような症状があらわれた場合には投与を中止すること。

14. 適用上の注意

14.1 薬剤交付時の注意

  1. 14.1.1 PTP包装の薬剤はPTPシートから取り出して服用するよう指導すること。PTPシートの誤飲により、硬い鋭角部が食道粘膜へ刺入し、更には穿孔をおこして縦隔洞炎等の重篤な合併症を併発することがある。
  2. 14.1.2 高温多湿を避け、服用時にPTPシートから取り出すよう指導すること。
  3. 14.1.3 本剤は舌の上にのせ唾液を浸潤させ舌で軽くつぶし、崩壊後唾液のみで服用可能である。口腔粘膜から吸収されることはないため、唾液で飲み込むこと。また、水で服用することもできる。

16. 薬物動態

16.1 血中濃度

  1. 16.1.1 単回投与

    健康成人12名にミドドリン塩酸塩として2mgを空腹時単回経口投与したときの血清中未変化体及び脱グリシン体(活性本体)の薬物動態パラメータの平均値は以下のとおりであった1)

    Cmax
    (ng/mL)

    Tmax
    (hr)

    T1/2
    (hr)

    AUC0-24
    (ng・hr/mL)

    ミドドリン塩酸塩
    (未変化体)

    2.8

    1.1

    1.0

    5.2

    脱グリシン体
    (活性本体)

    5.3

    1.5

    2.4

    19.1

    2mgを空腹時単回経口投与すると、血清中未変化体濃度は投与後1.1時間で最高に達し、その後は急激に低下して4時間以降はほとんど検出されなかった。
    一方、活性本体の濃度は1.5時間で最高に達し、最高血清中濃度は未変化体濃度を大きく上回り、その後は半減期2.4時間で減衰した。

  2. 16.1.2 反復投与

    健康成人6名にミドドリン塩酸塩として1回2mgを1日2回、1回4mgを1日2回で7日間反復経口投与時の血清中濃度は単回投与時と比較して差は認められず、蓄積性はないものと考えられた1),2)

  3. 16.1.3 生物学的同等性[メトリジンD錠2mg申請時データ]

    健康成人を対象としたクロスオーバー法による、メトリジンD錠2mgとメトリジン錠2mgの生物学的同等性試験を行った。その結果、活性本体の血漿中濃度は両剤形間で同様の推移を示し、メトリジンD錠2mgとメトリジン錠2mgは生物学的に同等であることが確認された3)

    Cmax
    (ng/mL)

    Tmax
    (hr)

    AUC0-24
    (ng・hr/mL)

    メトリジンD錠2mg

    4.09

    1.55

    20.32

    メトリジン錠2mg

    4.26

    1.23

    20.17

    (n=20)

16.2 吸収

  1. 16.2.1 プロドラッグ化によるバイオアベイラビリティの改善

    健康成人にミドドリン塩酸塩(2mg)と等モルの活性本体の塩酸塩(1.6mg)を単回経口投与し、活性本体のAUCを比較すると、AUCは直接活性本体の塩酸塩を投与した時よりミドドリン塩酸塩投与時の方が有意に高く、プロドラッグ化によるバイオアベイラビリティの改善が示された4)

  2. 16.2.2 食事の影響

    健康成人にミドドリン塩酸塩として2mgを食後又は空腹時に単回経口投与したところ、未変化体及び活性本体の体内動態は食事による影響を受けなかった5)

16.3 分布

ヒト血清蛋白結合率は未変化体では24~31%、活性本体では27~28%であった(in vitro6)

16.4 代謝

健康成人にミドドリン塩酸塩として4mgを単回経口投与後1~2時間の血清中代謝物は活性本体が67%、未変化体が28%であった。投与後8時間までの尿中代謝物は活性本体のO-脱メチル・酸化的脱アミノ体及びその抱合体が35%と最も多く、ついで活性本体が21%であった4)

16.5 排泄

  1. 16.5.1 尿中排泄

    健康成人にミドドリン塩酸塩として2mgを空腹時単回経口投与すると、尿中排泄は投与後24時間までにほぼ終了した1)
    また1回2mgを1日2回、1回4mgを1日2回での7日間反復経口投与時の尿中排泄率は単回投与時と比較して差は認められなかった1),2)

16.6 特定の背景を有する患者

  1. 16.6.1 小児における尿中排泄

    起立性低血圧の小児患者にミドドリン塩酸塩として2mgを単回経口投与したところ、未変化体、活性本体の尿中排泄は成人とほぼ同様であった7)

17. 臨床成績

17.1 有効性及び安全性に関する試験

メトリジン錠2mgで承認時に実施された国内第Ⅱ相の一般試験、国内第Ⅲ相の二重盲検比較試験及び一般試験における成績は以下のとおりであった8),9),10),11),12)

疾患名

改善率(%)【中等度改善以上】

本態性低血圧

58.2(89/153)

起立性低血圧

66.7(336/504)

承認用量と異なる症例を含む。

18. 薬効薬理

18.1 作用機序

ミドドリン塩酸塩の血圧上昇作用(ラット、ネコ)、摘出血管平滑筋収縮作用(ウサギ胸部大動脈、イヌ大腿動静脈、ヒト伏在静脈など)はα1遮断薬で抑制されるが、α2遮断薬ではほとんど抑制されず、またβ受容体刺激作用、β遮断作用はないことから、末梢血管収縮作用は、選択的α1受容体刺激作用に基づくものと考えられた13),14),15)

18.2 血圧に対する作用(ヒト)

  1. 18.2.1 本態性低血圧、起立性低血圧患者への1回2mg1日2回~1回2mg1日3回の2~4週間投与において、坐位、臥位、立位後1分の血圧を有意に上昇させた16)
  2. 18.2.2 本態性低血圧、起立性低血圧患者への1回2mgを1日2回の1週間投与において、起立時の血圧低下を有意に抑制した17)
  3. 18.2.3 健康成人男性への1回4mgを1日2回の1週間投与において、血圧に影響を及ぼさなかった2)

18.3 血圧に対する作用(動物)

  1. 18.3.1 血圧上昇作用
    1. (1) イヌ、サルにおいて、骨格筋、消化管血管床の末梢血管を収縮させることにより総末梢血管抵抗を増大させて血圧を上昇させた13),18),19),20) 。イヌにおいて、ミドドリン塩酸塩の血圧上昇作用は心臓作用によるものではないと考えられた14)
    2. (2) イヌにおいて、経口投与における血圧上昇作用の発現は緩徐であり、作用時間は長かった13)
  2. 18.3.2 起立性低血圧モデルに対する作用
    1. (1) ウサギにおいて、両側迷走神経、頸動脈洞神経、減圧神経を切断し、さらにhead-up 30°体軸変換させることで誘発した血圧の低下を抑制した21)
    2. (2) イヌにおいて、ヘキサメトニウム投与後にhead-up 30°体軸変換させることで誘発した血圧、大脳組織血流量、心拍出量などの低下を抑制した22)
    3. (3) サルにおいて、脱血負荷時の脳血流量の低下を抑制した20)

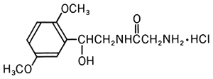
19. 有効成分に関する理化学的知見

一般的名称

ミドドリン塩酸塩(midodrine hydrochloride)

化学名

(±)-2-amino-N-(2,5-dimethoxy-β-hydroxy-phenethyl) acetamide hydrochloride

分子式

C12H18N2O4・HCl

分子量

290.74

性状

白色の結晶性の粉末である。ギ酸に溶けやすく、水にやや溶けやすく、エタノール(95)に溶けにくく、アセトニトリルにほとんど溶けない。本品の水溶液(1→25)は旋光性を示さない。

化学構造式

融点

約200℃(分解)

20. 取扱い上の注意

アルミピロー包装開封後は、湿気を避けて遮光して保存すること。

22. 包装

PTP 100錠[10錠×10](乾燥剤入り)

24. 文献請求先及び問い合わせ先

大正製薬株式会社 メディカルインフォメーションセンター

〒170-8633 東京都豊島区高田3-24-1

電話 0120-591-818

26. 製造販売業者等

26.1 製造販売

大正製薬株式会社

東京都豊島区高田3-24-1

〒100-0013 東京都千代田区霞が関3-3-2 新霞が関ビル

画面を閉じる

Copyright © Pharmaceuticals and Medical Devices Agency, All Rights reserved.