医療用医薬品 詳細表示

ビタシミン注射液100mg/ビタシミン注射液500mg

処方せん医薬品

添付文書番号
企業コード
作成又は改訂年月
日本標準商品分類番号
薬効分類名
承認等
一般的名称
3.組成・性状
3.1組成
3.2製剤の性状
4.効能又は効果
6.用法及び用量
9.特定の背景を有する患者に関する注意
9.1合併症・既往歴等のある患者
9.7小児等
12.臨床検査結果に及ぼす影響
14.適用上の注意
15.その他の注意
15.1臨床使用に基づく情報
18.薬効薬理
18.1作用機序
18.2結合織に対する作用
18.3毛細血管、血液に対する作用
18.4薬物中毒に対する作用
18.5副腎皮質機能に対する作用
18.6メラニン色素生成に対する作用
19.有効成分に関する理化学的知見
22.包装
23.主要文献
24.文献請求先及び問い合わせ先
26.製造販売業者等

ビタシミン注射液100mg/ビタシミン注射液500mg

添付文書番号

3140400A2103_2_04

企業コード

400061

作成又は改訂年月

**2026年3月改訂(第3版)
2025年9月改訂(第2版)

日本標準商品分類番号

87314

薬効分類名

ビタミンC製剤

承認等

ビタシミン注射液100mg

販売名コード

YJコード

3140400A2103

販売名英語表記

VITACIMIN INJECTION

販売名ひらがな

びたしみんちゅうしゃえき100mg

承認番号等

承認番号

16000AMZ06419

販売開始年月

1950年7月

貯法・有効期間

貯法

室温保存

有効期間

3年

基準名

日本薬局方

アスコルビン酸注射液

ビタシミン注射液500mg

販売名コード

YJコード

3140400A4106

販売名英語表記

VITACIMIN INJECTION

販売名ひらがな

びたしみんちゅうしゃえき500mg

承認番号等

承認番号

16000AMZ06420

販売開始年月

1954年6月

貯法・有効期間

貯法

冷所保存

有効期間

3年

基準名

日本薬局方

アスコルビン酸注射液

一般的名称

アスコルビン酸注射液

3. 組成・性状

3.1 組成

ビタシミン注射液100mg

有効成分1アンプル(1mL)中:アスコルビン酸   100mg
添加剤1アンプル(1mL)中:ピロ亜硫酸ナトリウム(0.5mg)、ベンジルアルコール(10mg)、pH調節剤

ビタシミン注射液500mg

有効成分1アンプル(2mL)中:アスコルビン酸   500mg
添加剤1アンプル(2mL)中:ピロ亜硫酸ナトリウム(1mg)、パラオキシ安息香酸メチル(2.6mg)、pH調節剤

3.2 製剤の性状

ビタシミン注射液100mg

pH5.6~7.4
浸透圧比約4(生理食塩液に対する比)
色・剤形無色澄明の液

ビタシミン注射液500mg

pH5.6~7.4
浸透圧比約9(生理食塩液に対する比)
色・剤形無色澄明の液

4. 効能又は効果

  • (1)ビタミンC欠乏症の予防及び治療(壊血病、メルレル・バロー病)
  • (2)ビタミンCの需要が増大し、食事からの摂取が不十分な際の補給(消耗性疾患、妊産婦、授乳婦、はげしい肉体労働時など)
  • (3)下記疾患のうち、ビタミンCの欠乏又は代謝障害が関与すると推定される場合
    • ・毛細管出血(鼻出血、歯肉出血、血尿など)
    • ・薬物中毒
    • ・副腎皮質機能障害
    • ・骨折時の骨基質形成・骨癒合促進
    • ・肝斑・雀卵斑・炎症後の色素沈着
    • ・光線過敏性皮膚炎

(3)の適応に対して、効果がないのに月余にわたって漫然と使用すべきでない。

6. 用法及び用量

  • 〈ビタシミン注射液100mg〉

    アスコルビン酸として、通常、成人1日50~2,000mgを1~数回に分けて皮下、筋肉内又は静脈内注射する。なお、年齢、症状により適宜増減する。

  • 〈ビタシミン注射液500mg〉

    アスコルビン酸として、通常、成人1日50~2,000mgを1~数回に分けて静脈内注射する。なお、年齢、症状により適宜増減する。

9. 特定の背景を有する患者に関する注意

9.1 合併症・既往歴等のある患者

  1. 9.1.1 **本剤の成分に対し過敏症の既往歴のある患者

9.7 小児等

  • 〈製剤共通〉
    1. 9.7.1 小児等を対象とした臨床試験は実施していない。
  • 〈100mg製剤〉
    1. 9.7.2 低出生体重児、新生児に使用する場合には十分注意すること。外国において、ベンジルアルコールの静脈内大量投与(99~234mg/kg)により、中毒症状(あえぎ呼吸、アシドーシス、痙攣等)が低出生体重児に発現したとの報告がある。本剤は添加剤としてベンジルアルコールを含有している。

12. 臨床検査結果に及ぼす影響

  1. 12.1 各種の尿糖検査で、尿糖の検出を妨害することがある。
  2. 12.2 各種の尿検査(潜血、ビリルビン、亜硝酸塩)・便潜血反応検査で、偽陰性を呈することがある。

14. 適用上の注意

14.1 薬剤投与時の注意

  1. 14.1.1 投与経路
    • 〈製剤共通〉
      1. (1) 経口投与が困難な場合や緊急の場合、また、経口投与で効果が不十分と考えられる場合にのみ使用すること。また、投与経路は静脈内注射を原則とすること。なお、経口投与が可能で効果が十分と判断された場合には、速やかに経口投与にきりかえること。
    • 〈500mg製剤〉
      1. (2) 静脈内注射にのみ使用すること。
  1. 14.1.2 静脈内注射時

    血管痛があらわれることがあるので、注射速度はできるだけ遅くすること。

  2. 14.1.3 筋肉内注射時

    組織・神経等への影響を避けるため、以下の点に注意すること。

    • 筋肉内注射はやむを得ない場合にのみ、必要最小限に行うこと。なお、同一部位への反復注射は行わないこと。また、低出生体重児、新生児、乳児、幼児、小児には特に注意すること。
    • 神経走行部位を避けるよう注意すること。
    • 注射針を刺入したとき、激痛を訴えたり、血液の逆流をみた場合は、直ちに針を抜き、部位をかえて注射すること。
  3. 14.1.4 皮下・筋肉内注射時

    注射部位に疼痛があらわれることがある。

15. その他の注意

15.1 臨床使用に基づく情報

**本剤は添加剤として亜硫酸塩を含有している。喘息患者では非喘息患者よりも亜硫酸塩に対する過敏症が多く認められるとの報告がある。

18. 薬効薬理

18.1 作用機序

アスコルビン酸(AsA)は平面的なγ−ラクトン環をもつアシ-レダクトンの一つであり、この化合物のもつ還元力(抗酸化力)は炭素2位および3位のエンジオール基[-C(OH)=C(OH)-]に起因している。
AsAの生理機能の発現には、AsA、モノデヒドロアスコルビン酸(MDAsA)、およびデヒドロアスコルビン酸(DAsA)からなる酸化還元系が重要な鍵となる。AsAが効率的に機能するために、その酸化生成物を再還元する必要がある1)

18.2 結合織に対する作用

アスコルビン酸は、結合織の主成分であるコラーゲンの生成に関与しており、アスコルビン酸の欠乏は、皮膚、骨、歯、血管等の脆弱化をもたらす。すなわち、アスコルビン酸はコラーゲン中のprolineからhydroxyprolineへの水酸化過程に関与し2)in vitro)、アスコルビン酸の投与によりコラーゲンの増加がみられる3)(モルモット)。
また、アスコルビン酸は骨形成を進行させ、モルモット実験的骨折の修復機転において治癒的に作用する4),5)

18.3 毛細血管、血液に対する作用

アスコルビン酸は毛細血管抵抗を増強し6)(マウス)、出血傾向を改善する7)(モルモット)。
また、アスコルビン酸の欠乏により血小板の減少と血液凝固時間の延長がみられるが、アスコルビン酸の投与は血液凝固能の上昇をもたらす8)

18.4 薬物中毒に対する作用

アルコール中毒患者では、血中アスコルビン酸濃度が低値を示すものが多く、アスコルビン酸の欠乏が起こるとされている9)。アルコール中毒患者へのアスコルビン酸投与は、低下した尿中アスコルビン酸排泄量を回復させ10)、血中アルコール濃度の上昇を一時的に抑制する11)
また、ニコチンは副腎皮質を刺激し、副腎皮質ホルモンの分泌を促してアスコルビン酸の消費を増大させる9)

18.5 副腎皮質機能に対する作用

アスコルビン酸は副腎皮質に多量に存在し、ステロイドホルモンの生合成促進又は異化抑制に関与するとされている12)

18.6 メラニン色素生成に対する作用

アスコルビン酸は、チロシンからのメラニン生成過程の中で、DOPAからDOPAキノンへの酸化過程を阻害し、メラニン色素の生成を抑制する13)in vitro)。

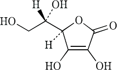
19. 有効成分に関する理化学的知見

一般的名称

アスコルビン酸(Ascorbic Acid)

化学名

L-threo-Hex-2-enono-1,4-lactone

分子式

C6H8O6

分子量

176.12

性状

白色の結晶又は結晶性の粉末で、においはなく、酸味がある。水に溶けやすく、エタノール(95)にやや溶けにくく、ジエチルエーテルにほとんど溶けない。

化学構造式

22. 包装

  • 〈ビタシミン注射液100mg〉

    1mL×50アンプル

  • 〈ビタシミン注射液500mg〉

    2mL×50アンプル

24. 文献請求先及び問い合わせ先

*T's製薬株式会社 ティーズDIセンター

*〒451-0045 名古屋市西区名駅二丁目27番8号

TEL 0120-923-093
受付時間 9:00~17:30(土日祝日・弊社休業日を除く)

26. 製造販売業者等

26.1 製造販売元

*T's製薬株式会社

大阪市中央区道修町四丁目1番1号

26.2 販売

武田薬品工業株式会社

大阪市中央区道修町四丁目1番1号

〒100-0013 東京都千代田区霞が関3-3-2 新霞が関ビル

画面を閉じる

Copyright © Pharmaceuticals and Medical Devices Agency, All Rights reserved.