医療用医薬品 詳細表示

ビタノイリンカプセル25/ビタノイリンカプセル50

処方せん医薬品以外の医薬品

添付文書番号
企業コード
作成又は改訂年月
日本標準商品分類番号
薬効分類名
承認等
一般的名称
3.組成・性状
3.1組成
3.2製剤の性状
4.効能又は効果
6.用法及び用量
9.特定の背景を有する患者に関する注意
9.7小児等
10.相互作用
10.2併用注意(併用に注意すること)
11.副作用
11.2その他の副作用
12.臨床検査結果に及ぼす影響
14.適用上の注意
17.臨床成績
17.3その他
18.薬効薬理
18.1作用機序
18.2フルスルチアミン、ピリドキサールリン酸エステル、ヒドロキソコバラミンの協同作用
19.有効成分に関する理化学的知見
22.包装
23.主要文献
24.文献請求先及び問い合わせ先
26.製造販売業者等

ビタノイリンカプセル25/ビタノイリンカプセル50

添付文書番号

3179107M1059_2_05

企業コード

400061

作成又は改訂年月

2025年9月改訂(第3版)
2024年11月改訂(第2版)

日本標準商品分類番号

873179

薬効分類名

フルスルチアミン塩酸塩・ピリドキサールリン酸エステル水和物・ヒドロキソコバラミン酢酸塩配合剤

承認等

ビタノイリンカプセル25

販売名コード

YJコード

3179107M1040

販売名英語表記

VITANEURIN CAPSULES

販売名ひらがな

びたのいりんかぷせる25

承認番号等

承認番号

21300AMZ00623

販売開始年月

1968年2月

貯法・有効期間

貯法

室温保存

有効期間

3年

ビタノイリンカプセル50

販売名コード

YJコード

3179107M1059

販売名英語表記

VITANEURIN CAPSULES

販売名ひらがな

びたのいりんかぷせる50

承認番号等

承認番号

21300AMZ00624

販売開始年月

1967年7月

貯法・有効期間

貯法

室温保存

有効期間

3年

一般的名称

フルスルチアミン塩酸塩・ピリドキサールリン酸エステル水和物・ヒドロキソコバラミン酢酸塩配合剤

3. 組成・性状

3.1 組成

ビタノイリンカプセル25

有効成分1カプセル中:ヒドロキソコバラミン酢酸塩 0.1305mg(ヒドロキソコバラミンとして0.125mg)、フルスルチアミン塩酸塩 27.285mg(フルスルチアミンとして25mg)、ピリドキサールリン酸エステル水和物 15mg、リボフラビン 2.5mg  
添加剤トウモロコシデンプン、カルメロースカルシウム、結晶セルロース、ポリオキシエチレン(160)ポリオキシプロピレン(30)グリコール、セラセフェート、ヒマシ油、乳糖水和物
(カプセル本体)ゼラチン、ラウリル硫酸ナトリウム

ビタノイリンカプセル50

有効成分1カプセル中:ヒドロキソコバラミン酢酸塩 0.261mg(ヒドロキソコバラミンとして0.25mg)、フルスルチアミン塩酸塩 54.57mg(フルスルチアミンとして50mg)、ピリドキサールリン酸エステル水和物 30mg、リボフラビン 5mg  
添加剤トウモロコシデンプン、カルメロースカルシウム、結晶セルロース、ポリオキシエチレン(160)ポリオキシプロピレン(30)グリコール、セラセフェート、ヒマシ油、乳糖水和物
(カプセル本体)ゼラチン、ラウリル硫酸ナトリウム

3.2 製剤の性状

ビタノイリンカプセル25

外形
3号カプセル
重量 210mg
識別コード 329
色・剤形赤紫色、だいだい色、黄色及び白色の混合顆粒を充填した硬カプセル剤で、カプセルの頭部及び胴部は無色透明である。

ビタノイリンカプセル50

外形
1号カプセル
重量 379mg
識別コード 330
色・剤形赤紫色、だいだい色、黄色及び白色の混合顆粒を充填した硬カプセル剤で、カプセルの頭部及び胴部は無色透明である。

4. 効能又は効果

  • 本剤に含まれるビタミン類の需要が増大し、食事からの摂取が不十分な際の補給(消耗性疾患、妊産婦、授乳婦など)
  • 下記疾患のうち、本剤に含まれるビタミン類の欠乏又は代謝障害が関与すると推定される場合
    • 神経痛、筋肉痛・関節痛、末梢神経炎・末梢神経麻痺

効果がないのに月余にわたって漫然と使用すべきでない。

6. 用法及び用量

  • 〈ビタノイリンカプセル25〉

    通常成人1日1~4カプセルを経口投与する。
    なお、年齢、症状により適宜増減する。

  • 〈ビタノイリンカプセル50〉

    通常成人1日1~2カプセルを経口投与する。
    なお、年齢、症状により適宜増減する。

9. 特定の背景を有する患者に関する注意

9.7 小児等

小児等を対象とした臨床試験は実施していない。

10. 相互作用

    10.2 併用注意(併用に注意すること)

    薬剤名等臨床症状・措置方法機序・危険因子

    レボドパ

    ビタミンB6がレボドパの作用を減弱することがある。

    末梢でのレボドパの脱炭酸化が促進し、レボドパの中枢への移行が減少することが考えられている。

    11. 副作用

    次の副作用があらわれることがあるので、観察を十分に行い、異常が認められた場合には投与を中止するなど適切な処置を行うこと。

    11.2 その他の副作用

    頻度不明

    過敏症

    発疹、そう痒感

    消化器

    悪心、嘔吐、食欲不振、胃痛、胃部不快感、腹部膨満感、口渇、下痢

    その他

    不眠、頻尿

    12. 臨床検査結果に及ぼす影響

    ビタミンB2により、尿を黄変させ、臨床検査値に影響を与えることがある。

    14. 適用上の注意

    14.1 薬剤交付時の注意

    PTP包装の薬剤はPTPシートから取り出して服用するよう指導すること。PTPシートの誤飲により、硬い鋭角部が食道粘膜へ刺入し、更には穿孔をおこして縦隔洞炎等の重篤な合併症を併発することがある。

    17. 臨床成績

    17.3 その他

    1. 17.3.1 国内臨床試験

      「いわゆる神経痛」を対象に50カプセル剤及び対照薬としてフルスルチアミン50mgカプセル、2.5mg錠をそれぞれ1日2カプセル(錠)、2週間投与し痛みに対する効果を二重盲検比較対照試験により検討した試験において、50カプセル剤投与群が痛みの4症状(自発痛、放散痛、運動痛、圧痛)の合計改善度で、対照群に比しすぐれることが認められている1)

    18. 薬効薬理

    18.1 作用機序

    • 〈フルスルチアミン〉
      1. 18.1.1 ビタミンB1は神経細胞の形態保持上重要であり2)、また、神経興奮伝導3)や神経細胞のエネルギー産生4)に関与している。
        フルスルチアミンは、ビタミンB1に比べて消化管からの吸収がよく、高い血中5)・臓器内B1濃度6)、長い体内貯留性、多量の結合型B1の生成7)等の特性を示し、生理学的・生化学的にビタミンB1のmetabolic poolをみたしてビタミンB1の欠乏又は代謝障害が関与する神経機能障害を改善する。
        試験的には、神経・筋に対して、神経細胞の増殖促進8)in vitro)、神経再生促進9),10)(ウサギ)、骨格筋活動電位の増加11)(ラット)等の作用が認められている。
    • 〈ピリドキサールリン酸エステル〉
      1. 18.1.2 ビタミンB6は神経細胞、神経線維の形態保持上重要であり、ビタミンB6欠乏により末梢神経系ではスフィンゴリピド合成障害等によると考えられる軸索、髄鞘の変性・崩壊がみられる2)
        ピリドキサールリン酸エステルは、ピリドキシンに比べて種々の特性を有する補酵素型ビタミンB612)で、ビタミンB6の欠乏又は代謝障害が関与する末梢神経炎に用いられる。
    • 〈ヒドロキソコバラミン〉
      1. 18.1.3 ビタミンB12は神経細胞特に、核、Nissl物質、原線維の完全な保持に必須のビタミンで、ビタミンB12は欠乏により中枢・末梢神経において神経細胞の萎縮・変性、髄鞘の膨脹を伴う神経線維の腫脹、ついで軸索の破壊、髄鞘の崩壊が起こり神経症状を発症させる2)
        ヒドロキソコバラミンは、ビタミンB12であるシアノコバラミンに比べ体内貯留性、持続性13)、補酵素型B12への転換14)等で、よりすぐれた生物学的特性を示し、ビタミンB12の欠乏又は代謝障害が関与すると推定される神経・筋疾患に用いられている。
        試験的には、神経線維の成長促進、glia細胞の増殖促進(in vitro)、神経の再生促進(ウサギ)等が報告されている15)

    18.2 フルスルチアミン、ピリドキサールリン酸エステル、ヒドロキソコバラミンの協同作用

    神経細胞の増殖及び神経機能と密接な関連をもつ膜の構成成分であるリン脂質の合成促進8)in vitro)、神経の外科的損傷時の再生促進16)(ウサギ)、アロキサン糖尿病の試験的神経炎における神経伝導速度の低下と神経線維の形態学的変化の正常化17)(ラット)等において、フルスルチアミン、ピリドキサールリン酸エステル、ヒドロキソコバラミンの併用が、各単独投与よりもすぐれていることが示されている。

    19. 有効成分に関する理化学的知見

    〈フルスルチアミン塩酸塩〉

    一般的名称

    フルスルチアミン塩酸塩(Fursultiamine Hydrochloride)

    化学名

    N-(4-Amino-2-methylpyrimidin-5-ylmethyl)-N-{(1Z)-4-hydroxy-1-methyl-2-[(2RS)-tetrahydrofuran-2-ylmethyldisulfanyl]but-1-en-1-yl}formamide monohydrochloride

    分子式

    C17H26N4O3S2・HCl

    分子量

    435.00

    性状

    白色の結晶又は結晶性の粉末で、においはないか、又は僅かに特異なにおいがあり、味は苦い。水、メタノール又はエタノール(95)に溶けやすい。結晶多形が認められる。

    化学構造式

    〈ピリドキサールリン酸エステル水和物〉

    一般的名称

    ピリドキサールリン酸エステル水和物(Pyridoxal Phosphate Hydrate)

    化学名

    (4-Formyl-5-hydroxy-6-methylpyridin-3-yl)methyl dihydrogenphosphate monohydrate

    分子式

    C8H10NO6P・H2O

    分子量

    265.16

    性状

    微黄白色~淡黄色の結晶性の粉末である。水に溶けにくく、エタノール(99.5)にほとんど溶けない。希塩酸又は水酸化ナトリウム試液に溶ける。0.1gを水200mLに溶かした液のpHは3.0~3.5である。光によって淡紅色となる。

    化学構造式

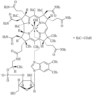
    〈ヒドロキソコバラミン酢酸塩〉

    一般的名称

    ヒドロキソコバラミン酢酸塩(Hydroxocobalamin Acetate)

    化学名

    Coα-[α-(5,6-Dimethyl-1H-benzimidazol-1-yl)]-Coβ-hydroxocobamide monoacetate

    分子式

    C62H89CoN13O15P・C2H4O2

    分子量

    1406.41

    性状

    暗赤色の結晶又は粉末で、においはない。水又はメタノールに溶けやすく、エタノール(95)に溶けにくく、ジエチルエーテルにほとんど溶けない。吸湿性である。

    化学構造式

    22. 包装

    • 〈ビタノイリンカプセル25〉

      100カプセル[10カプセル(PTP)×10]、
      500カプセル[アルミ袋、バラ]

    • 〈ビタノイリンカプセル50〉

      100カプセル[10カプセル(PTP)×10]、
      500カプセル[アルミ袋、バラ]

    24. 文献請求先及び問い合わせ先

    *T's製薬株式会社 ティーズDIセンター

    *〒451-0045 名古屋市西区名駅二丁目27番8号

    TEL 0120-923-093
    受付時間 9:00~17:30(土日祝日・弊社休業日を除く)

    26. 製造販売業者等

    26.1 製造販売元

    *T's製薬株式会社

    大阪市中央区道修町四丁目1番1号

    26.2 販売

    武田薬品工業株式会社

    大阪市中央区道修町四丁目1番1号

    〒100-0013 東京都千代田区霞が関3-3-2 新霞が関ビル

    画面を閉じる

    Copyright © Pharmaceuticals and Medical Devices Agency, All Rights reserved.