医療用医薬品 詳細表示

メマンチン塩酸塩OD錠5mg「フェルゼン」/メマンチン塩酸塩OD錠10mg「フェルゼン」/メマンチン塩酸塩OD錠20mg「フェルゼン」

処方せん医薬品

添付文書番号
企業コード
作成又は改訂年月
日本標準商品分類番号
薬効分類名
承認等
一般的名称
2.禁忌(次の患者には投与しないこと)
3.組成・性状
3.1組成
3.2製剤の性状
4.効能又は効果
5.効能又は効果に関連する注意
6.用法及び用量
7.用法及び用量に関連する注意
8.重要な基本的注意
9.特定の背景を有する患者に関する注意
9.1合併症・既往歴等のある患者
9.2腎機能障害患者
9.3肝機能障害患者
9.5妊婦
9.6授乳婦
9.7小児等
10.相互作用
10.2併用注意(併用に注意すること)
11.副作用
11.1重大な副作用
11.2その他の副作用
13.過量投与
14.適用上の注意
15.その他の注意
15.2非臨床試験に基づく情報
16.薬物動態
16.1血中濃度
16.3分布
16.4代謝
16.5排泄
16.6特定の背景を有する患者
16.7薬物相互作用
16.8その他
17.臨床成績
17.1有効性及び安全性に関する試験
17.2製造販売後調査等
18.薬効薬理
18.1作用機序
18.2NMDA受容体チャネルに対する阻害作用及び特性
18.3学習障害抑制作用
19.有効成分に関する理化学的知見
20.取扱い上の注意
22.包装
23.主要文献
24.文献請求先及び問い合わせ先
26.製造販売業者等

メマンチン塩酸塩OD錠5mg「フェルゼン」/メマンチン塩酸塩OD錠10mg「フェルゼン」/メマンチン塩酸塩OD錠20mg「フェルゼン」

添付文書番号

1190018F4235_1_02

企業コード

400073

作成又は改訂年月

2023年12月改訂(第1版)

日本標準商品分類番号

87119

薬効分類名

NMDA受容体拮抗 アルツハイマー型認知症治療剤

承認等

メマンチン塩酸塩OD錠5mg「フェルゼン」

販売名コード

YJコード

1190018F4235

販売名英語表記

Memantine Hydrochloride OD Tablets 「FELDSENF」

販売名ひらがな

めまんちんえんさんえんODじょう5mg「ふぇるぜん」

承認番号等

承認番号

30200AMX00085000

販売開始年月

2020年6月

貯法・有効期間

貯法

室温保存

有効期間

3年

メマンチン塩酸塩OD錠10mg「フェルゼン」

販売名コード

YJコード

1190018F5231

販売名英語表記

Memantine Hydrochloride OD Tablets 「FELDSENF」

販売名ひらがな

めまんちんえんさんえんODじょう10mg「ふぇるぜん」

承認番号等

承認番号

30200AMX00086000

販売開始年月

2020年6月

貯法・有効期間

貯法

室温保存

有効期間

3年

メマンチン塩酸塩OD錠20mg「フェルゼン」

販売名コード

YJコード

1190018F6238

販売名英語表記

Memantine Hydrochloride OD Tablets 「FELDSENF」

販売名ひらがな

めまんちんえんさんえんOD錠20mg「ふぇるぜん」

承認番号等

承認番号

30200AMX00088000

販売開始年月

2020年6月

貯法・有効期間

貯法

室温保存

有効期間

3年

一般的名称

メマンチン塩酸塩

2. 禁忌(次の患者には投与しないこと)

本剤の成分に対し過敏症の既往歴のある患者

3. 組成・性状

3.1 組成

メマンチン塩酸塩OD錠5mg「フェルゼン」

有効成分1錠中
メマンチン塩酸塩   5.0mg
添加剤D-マンニトール、ヒドロキシプロピルセルロース、メタクリル酸コポリマーLD、ラウリル硫酸ナトリウム、ポリソルベート80、クエン酸トリエチル、タルク、アスパルテーム(L-フェニルアラニン化合物)、ステアリン酸マグネシウム、三二酸化鉄、軽質無水ケイ酸、メタケイ酸アルミン酸マグネシウム、その他3成分

メマンチン塩酸塩OD錠10mg「フェルゼン」

有効成分1錠中
メマンチン塩酸塩   10.0mg
添加剤D-マンニトール、ヒドロキシプロピルセルロース、メタクリル酸コポリマーLD、ラウリル硫酸ナトリウム、ポリソルベート80、クエン酸トリエチル、タルク、アスパルテーム(L-フェニルアラニン化合物)、ステアリン酸マグネシウム、黄色三二酸化鉄、軽質無水ケイ酸、メタケイ酸アルミン酸マグネシウム、その他3成分

メマンチン塩酸塩OD錠20mg「フェルゼン」

有効成分1錠中
メマンチン塩酸塩   20.0mg
添加剤D-マンニトール、ヒドロキシプロピルセルロース、メタクリル酸コポリマーLD、ラウリル硫酸ナトリウム、ポリソルベート80、クエン酸トリエチル、タルク、アスパルテーム(L-フェニルアラニン化合物)、ステアリン酸マグネシウム、軽質無水ケイ酸、メタケイ酸アルミン酸マグネシウム、その他3成分

3.2 製剤の性状

メマンチン塩酸塩OD錠5mg「フェルゼン」

性状淡赤白色の素錠
外形表面
裏面
側面
大きさ等直径 6.1mm
厚さ 3.2mm
質量 77.0mg

メマンチン塩酸塩OD錠10mg「フェルゼン」

性状淡黄白色の素錠
外形表面
裏面
側面
大きさ等直径 7.6mm
厚さ 3.6mm
質量 150.0mg

メマンチン塩酸塩OD錠20mg「フェルゼン」

性状白色~微黄白色の割線入りの素錠
外形表面
裏面
側面
大きさ等直径 9.1mm
厚さ 4.9mm
質量 280.0mg

4. 効能又は効果

中等度及び高度アルツハイマー型認知症における認知症症状の進行抑制

5. 効能又は効果に関連する注意

  1. 5.1 アルツハイマー型認知症と診断された患者にのみ使用すること。
  2. 5.2 本剤がアルツハイマー型認知症の病態そのものの進行を抑制するという成績は得られていない。
  3. 5.3 アルツハイマー型認知症以外の認知症性疾患において本剤の有効性は確認されていない。
  4. 5.4 他の認知症性疾患との鑑別診断に留意すること。

6. 用法及び用量

通常、成人にはメマンチン塩酸塩として1日1回5mgから開始し、1週間に5mgずつ増量し、維持量として1日1回20mgを経口投与する。

7. 用法及び用量に関連する注意

  1. 7.1 1日1回5mgからの漸増投与は、副作用の発現を抑える目的であるので、維持量まで増量すること。
  2. 7.2 高度の腎機能障害(クレアチニンクリアランス値:30mL/min未満)のある患者には、患者の状態を観察しながら慎重に投与し、維持量は1日1回10mgとすること。,
  3. 7.3 医療従事者、家族等の管理の下で投与すること。

8. 重要な基本的注意

  1. 8.1 投与開始初期においてめまい、傾眠が認められることがある。また、これらの症状により転倒等を伴うことがあるため、十分に注意すること。
  2. 8.2 通常、中等度及び高度アルツハイマー型認知症では、自動車の運転等危険を伴う機械の操作能力が低下することがある。また、本剤により、めまい、傾眠等があらわれることがあるので、本剤投与中の患者には自動車の運転等危険を伴う機械の操作に従事させないよう注意すること。
  3. 8.3 本剤投与により効果が認められない場合、漫然と投与しないこと。

9. 特定の背景を有する患者に関する注意

9.1 合併症・既往歴等のある患者

  1. 9.1.1 てんかん又は痙攣の既往のある患者

    発作を誘発又は悪化させることがある。

  2. 9.1.2 尿pHを上昇させる因子(尿細管性アシドーシス、重症の尿路感染等)を有する患者

    尿のアルカリ化により本剤の尿中排泄率が低下し、本剤の血中濃度が上昇するおそれがある。,

9.2 腎機能障害患者

本剤は腎排泄型の薬剤であり、排泄が遅延する。

  1. 9.2.1 高度の腎機能障害(クレアチニンクリアランス値:30mL/min未満)のある患者

9.3 肝機能障害患者

  1. 9.3.1 高度の肝機能障害(Child-Pugh分類C)のある患者

    臨床試験では除外されている。

9.5 妊婦

妊婦又は妊娠している可能性のある女性には、治療上の有益性が危険性を上回ると判断される場合にのみ投与すること。動物実験(ウサギ)で胎児への移行が認められている。また、動物実験(ラット)で胎児及び出生児の体重増加抑制が認められている。

9.6 授乳婦

治療上の有益性及び母乳栄養の有益性を考慮し、授乳の継続又は中止を検討すること。動物実験(ラット)で、乳汁中への移行が認められている。

9.7 小児等

小児等を対象とした臨床試験は実施していない。

10. 相互作用

    10.2 併用注意(併用に注意すること)

    薬剤名等臨床症状・措置方法機序・危険因子

    ドパミン作動薬

    • レボドパ等

    ドパミン作動薬の作用を増強させるおそれがある。

    本剤のNMDA(N-メチル-D-アスパラギン酸)受容体拮抗作用が、ドパミン遊離を促進させる可能性がある。

    ヒドロクロロチアジド

    ヒドロクロロチアジドの血中濃度を低下させる。

    機序は不明である。

    腎尿細管分泌(カチオン輸送系)により排泄される薬剤

    • シメチジン等

    本剤の血中濃度が上昇するおそれがある。

    本剤は一部が尿細管分泌(カチオン輸送系)により排泄されるため、同じ輸送系を介する薬剤と競合する可能性がある。

    尿アルカリ化を起こす薬剤1)

    • アセタゾラミド等

    ,

    本剤の血中濃度が上昇するおそれがある。

    尿のアルカリ化により、本剤の尿中排泄率が低下するため。

    NMDA受容体拮抗作用を有する薬剤

    • アマンタジン塩酸塩、
      デキストロメトルファン臭化水素酸塩水和物等

    相互に作用を増強させるおそれがある。

    両薬剤ともNMDA受容体拮抗作用を有するため。

    11. 副作用

    次の副作用があらわれることがあるので、観察を十分に行い、異常が認められた場合には投与を中止するなど適切な処置を行うこと。

    11.1 重大な副作用

    1. 11.1.1 痙攣(0.3%)
    2. 11.1.2 失神(頻度不明)、意識消失(頻度不明)
    3. 11.1.3 精神症状

      激越(0.2%)、攻撃性(0.1%)、妄想(0.1%)、幻覚(頻度不明)、錯乱(頻度不明)、せん妄(頻度不明)等があらわれることがある。

    4. 11.1.4 肝機能障害(頻度不明)、黄疸(頻度不明)

      AST、ALT、ALP、ビリルビン等の上昇を伴う肝機能障害があらわれることがある。

    5. 11.1.5 横紋筋融解症(頻度不明)

      筋肉痛、脱力感、CK上昇、血中及び尿中ミオグロビン上昇等があらわれることがある。また、横紋筋融解症による急性腎障害の発症に注意すること。

    6. 11.1.6 完全房室ブロック、高度な洞徐脈等の徐脈性不整脈(頻度不明)

    11.2 その他の副作用

    1~5%未満

    1%未満

    頻度不明

    過敏症

    発疹

    顔面浮腫、眼瞼浮腫

    精神神経系

    めまい、頭痛

    傾眠、不眠、徘徊、不穏、易怒性、不安

    歩行障害、不随意運動(振戦、チック、ジスキネジー等)、活動性低下、鎮静

    腎臓

    頻尿、尿失禁、尿潜血、BUN上昇

    肝臓

    肝機能異常

    消化器

    便秘、食欲不振

    消化管潰瘍、悪心、嘔吐、下痢、便失禁

    循環器

    血圧上昇

    血圧低下、上室性期外収縮

    その他

    血糖値上昇、転倒、浮腫、体重減少、CK上昇

    貧血、倦怠感、発熱、コレステロール上昇、トリグリセリド上昇

    脱力感

    13. 過量投与

    1. 13.1 症状

      メマンチン塩酸塩400mg服用患者において、不穏、幻視、痙攣、傾眠、昏迷、意識消失等があらわれ、また、メマンチン塩酸塩2,000mg服用患者において、昏睡、複視及び激越があらわれ、それぞれ回復したとの報告がある(外国人における報告)。

    2. 13.2 処置

      尿の酸性化により、僅かに排泄が促進したとの報告がある。

    14. 適用上の注意

    14.1 薬剤交付時の注意

    1. 14.1.1 PTP包装の薬剤はPTPシートから取り出して服用するよう指導すること。PTPシートの誤飲により、硬い鋭角部が食道粘膜へ刺入し、更には穿孔をおこして縦隔洞炎等の重篤な合併症を併発することがある。
    2. 14.1.2 舌の上にのせて唾液を浸潤させると崩壊するため、水なしで服用可能である。また、水で服用することもできる。
    3. 14.1.3 寝たままの状態では、水なしで服用させないこと。

    15. その他の注意

    15.2 非臨床試験に基づく情報

    ラットの高用量投与実験(メマンチン塩酸塩100mg/kg単回経口投与、25mg/kg/日以上14日間反復経口投与、又は100mg/kg/日14日間混餌投与)において、脳梁膨大皮質及び帯状回皮質に神経細胞の空胞化又は壊死が認められた。

    16. 薬物動態

    16.1 血中濃度

    1. 16.1.1 単回投与
      1. (1) メマンチン塩酸塩錠

        健康成人男性に、メマンチン塩酸塩5、10及び20mgを空腹時単回経口投与したとき、最高血漿中濃度(Cmax)と血漿中濃度-時間曲線下面積(AUC)は投与量にほぼ比例して増加した。消失半減期(T1/2)は55.3~71.3時間であり、投与量による変化はみられなかった2)

        メマンチン塩酸塩単回経口投与の薬物投与パラメータ

        投与量

        n

        Cmax
        (ng/mL)

        Tmax
        (hr)

        AUC
        (ng・hr/mL)

        T1/2
        (hr)

        5mg

        6

        6.86±0.66

        5.3±2.1

        489.4±51.0

        55.3±6.4

        10mg

        6

        12.18±1.68

        5.3±1.6

        1,091.7±172.7

        63.1±11.8

        20mg

        6

        28.98±3.65

        6.0±3.8

        2,497.6±482.8

        71.3±12.6

        (mean±SD)

      2. (2) メマンチン塩酸塩OD錠

        健康成人にメマンチン塩酸塩OD錠20mg(水なしで服用又は水で服用)又はメマンチン塩酸塩錠20mg(水で服用)をクロスオーバー法で空腹時単回経口投与したとき、いずれの場合も両製剤の血漿中濃度推移及び薬物動態パラメータは同様であった。メマンチン塩酸塩OD錠20mgは水なしで服用又は水で服用した場合のいずれも、メマンチン塩酸塩錠20mg(水で服用)と生物学的に同等であることが確認された3)

    2. 16.1.2 反復投与

      アルツハイマー型認知症患者(10mg/日:11例、20mg/日:12例)に、メマンチン塩酸塩1日1回(朝食後)5mgから開始し、1週間ごとに5mgずつ漸増し10mg又は20mgを維持用量として24週間反復経口投与したとき、血漿中濃度は投与4週後ではほぼ定常状態に達しており、その時の血漿中濃度は10mg/日群で64.8~69.8ng/mL、20mg/日群で112.9~127.8ng/mLであった4)

    3. 16.1.3 生物学的同等性試験
      • メマンチン塩酸塩OD 錠20mg「フェルゼン」

        健康成人男性にメマンチン塩酸塩OD 錠20mg「フェルゼン」とメマリーOD錠20mgを、クロスオーバー法でそれぞれ1 錠(メマンチン塩酸塩として20mg)を絶食時単回経口投与(水なしで服用又は水で服用)して血漿中未変化体濃度を測定し、得られた薬物動態パラメータ(AUC、Cmax)について90%信頼区間法にて統計解析を行った結果、log(0.80)~log(1.25)の範囲内であり、両剤の生物学的同等性が確認された5)

        1. (1) 水なしで服用

          判定パラメータ

          参考パラメータ

          AUC0→240
          (ng・hr/mL)

          Cmax
          (ng/mL)

          Tmax
          (hr)

          T1/2
          (hr)

          メマンチン塩酸塩OD錠20mg「フェルゼン」

          2345.499
          ±476.011

          29.151
          ±6.478

          5.7
          ±1.6

          64.1
          ±11.3

          メマリーOD錠20mg

          2288.865
          ±468.650

          27.797
          ±5.123

          5.7
          ±2.4

          63.8
          ±8.7

          平均±標準偏差(n=18)

        2. (2) 水で服用

          判定パラメータ

          参考パラメータ

          AUC0→240
          (ng・hr/mL)

          Cmax
          (ng/mL)

          Tmax
          (hr)

          T1/2
          (hr)

          メマンチン塩酸塩OD錠20mg「フェルゼン」

          2201.763
          ±293.159

          26.795
          ±4.056

          6.4
          ±2.0

          60.5
          ±7.8

          メマリーOD錠20mg

          2165.192
          ±290.650

          26.290
          ±4.254

          5.9
          ±1.9

          61.8
          ±8.1

          平均±標準偏差(n=19)

          血漿中濃度並びにAUC、Cmax等のパラメータは、被験者の選択、体液の採取回数・時間等の試験条件によって異なる可能性がある。

    16.3 分布

    1. 16.3.1 脳脊髄液への移行性

      アルツハイマー型認知症患者にメマンチン塩酸塩1日1回(朝食後)5mgから開始し、1週間ごとに5mgずつ漸増し10mg又は20mgを維持用量として24週間反復経口投与したとき、脳脊髄液中濃度の血漿中濃度に対する比は10mg/日群で0.63、20mg/日群で0.72であった4)

    2. 16.3.2 涙液への移行性

      健康成人男性にメマンチン塩酸塩を空腹時に単回経口投与した場合、涙液中への移行が認められた2)

    3. 16.3.3 ラット及びウサギにおける移行性

      ラットに14C-標識体を単回経口投与したとき、放射能は主として消化管内容物、陰茎、腎臓、尿路、肝臓、肺、副腎、涙腺、ハーダー氏腺、唾液腺及び脾臓に分布した。
      ラットにメマンチン塩酸塩を混餌投与したとき、脳内メマンチンのAUCは血漿中メマンチンのAUCの18倍以上高かった。
      また、妊娠中のウサギに14C-標識体を単回静脈内投与したとき、放射能は胎児に移行した。授乳期のラットに14C-標識体を単回経口投与したとき、放射能は乳汁に移行した6)
      ,

    16.4 代謝

    1. 16.4.1 高齢男性にメマンチン塩酸塩20mgを単回経口投与したとき、投与後72時間以内に未変化体が34.1%、代謝物であるフラノース型グルクロン酸が結合した抱合体が2.2%尿中に排泄された7)
    2. 16.4.2 メマンチン塩酸塩は、ヒトチトクロームP450(CYP)分子種を発現した細胞を用いた検討で、ヒトのP450で代謝されにくいことが示された。ヒト肝細胞においてCYP1A2、2C9、2E1、3A4及び3A5を誘導しなかった。臨床用量における血漿中濃度付近(1μmol/L)で、ヒト肝ミクロソームにおける各P450活性、エポキシド加水分解酵素(EH)活性、フラビン含有モノオキシゲナーゼ(FMO)活性、グルクロン酸転移酵素(UGT)活性及び硫酸転移酵素(SULT)活性を阻害しなかった8)in vitro)。

    16.5 排泄

    健康成人男性に、メマンチン塩酸塩5mgを1日3回経口投与し、定常状態に到達した13日目の初回投与時に14C-標識体5mgを経口投与したところ、総放射能の尿中への累積排泄率は投与20日後までに83.2±11.7%であり、糞中への累積排泄率は7日後までに0.54±0.41%であった9)(外国人データ)。
    また、炭酸水素ナトリウムを併用し、尿pHをアルカリ性状態にした場合には、メマンチンの全身クリアランス(CL/F)は単独投与時と比べて大きく低下したとの報告がある1)(外国人データ)。,

    16.6 特定の背景を有する患者

    1. 16.6.1 腎機能障害患者での体内動態

      メマンチン塩酸塩は腎排泄型の薬剤であり、腎機能が低下する程度に応じて、メマンチン塩酸塩のT1/2の延長とAUCの増大が認められている10),

      メマンチン塩酸塩10mg単回経口投与時の腎機能障害患者及び腎機能正常者での薬物動態パラメータ

      腎機能(Ccr)

      正常者
      (Ccr>80)

      軽度障害患者
      (50≦Ccr≦80)

      中等度障害患者
      (30≦Ccr<50)

      高度障害患者
      (5≦Ccr<30)

      n

      6

      6

      6

      7

      平均Ccr(推定値)
      (mL/min)

      91.1

      62.7

      40.9

      19.1

      Cmax(ng/mL)

      12.66±2.14

      17.25±3.94

      15.76±3.70

      15.83±0.62

      AUC(ng・hr/mL)

      1,046±82

      1,640±180

      2,071±531

      2,437±451

      T1/2(hr)

      61.2±7.5

      83.0±17.0

      100.1±16.3

      124.3±21.0

      CL/F(mL/min)

      133.0±9.6

      85.3±8.8

      70.4±17.0

      58.6±11.3

      CLr(mL/min)

      82.2±19.8

      62.1±10.9

      42.1±9.0

      28.5±12.2

      (mean±SD)

    16.7 薬物相互作用

    健康成人20例にメマンチン塩酸塩を漸増法(メマンチン塩酸塩5mgを3日間、続いて10mgを4日間投与後、20mgを14日間)により1日1回経口投与した後、メマンチン塩酸塩20mgとヒドロクロロチアジド(25mg)・トリアムテレン(50mg)配合剤を7日間併用したとき、ヒドロクロロチアジドのCmax及びAUCは単独投与時の約80%に低下した11) (外国人データ)。

    16.8 その他

    • メマンチン塩酸塩OD錠5mg「フェルゼン」

      メマンチン塩酸塩OD 錠5mg「フェルゼン」は、「含量が異なる経口固形製剤の生物学的同等性試験ガイドライン」に基づき、メマンチン塩酸塩OD錠20mg「フェルゼン」を標準製剤としたとき、溶出挙動に基づき同等とみなされた12)

    • メマンチン塩酸塩OD錠10mg「フェルゼン」

      メマンチン塩酸塩OD 錠10mg「フェルゼン」は、「含量が異なる経口固形製剤の生物学的同等性試験ガイドライン」に基づき、メマンチン塩酸塩OD錠20mg「フェルゼン」を標準製剤としたとき、溶出挙動に基づき同等とみなされた13)

    17. 臨床成績

    17.1 有効性及び安全性に関する試験

    1. 17.1.1 国内第Ⅱ相試験

      中等度から高度アルツハイマー型認知症患者(MMSEスコア:5点以上14点以下、FASTステージ:6a以上7a以下)315例を対象にメマンチン塩酸塩10mg(5mg/日を1週間投与後、10mg/日を23週間投与:計24週間投与)又は20mg(5mg/日、10mg/日及び15mg/日をそれぞれ順に1週間投与後、20mg/日を21週間投与:計24週間投与)、もしくはプラセボを24週間投与する二重盲検比較(用量設定)試験を実施した14),15)
      認知機能を評価するSIB-Jにおいて、主たる解析では投与24週後評価のスコア変化量で用量反応性が認められ、また、副次的に実施した対比較の結果、プラセボ群とメマンチン塩酸塩20mg/日群の間に有意差が認められた(解析対象:260例、p=0.0029、Wilcoxon検定)。日常生活動作を評価するADCS ADL-Jにおいては、主たる解析では投与24週後評価のスコア変化量で用量反応性は認められず、また、副次的に実施した対比較の結果、プラセボ群とメマンチン塩酸塩20mg/日群の間に有意差は認められなかった(解析対象:260例、p=0.8975、Wilcoxon検定)。
      副作用発現頻度はメマンチン塩酸塩10mg/日群で29.9% (32/107例)、メマンチン塩酸塩20mg/日群で31.0% (31/100例)であり、主な副作用は、メマンチン塩酸塩10mg/日群で体重減少3.7% (4/107例)、メマンチン塩酸塩20mg/日群で便秘、歩行異常、浮動性めまい、幻覚各3.0% (3/100例)であった。

    2. 17.1.2 国内第Ⅲ相試験

      中等度から高度アルツハイマー型認知症患者(MMSEスコア:5点以上14点以下、FASTステージ:6a以上7a以下)432例を対象にメマンチン塩酸塩20mg (5mg/日、10mg/日及び15mg/日をそれぞれ順に1週間投与後、20mg/日を21週間投与:計24週間投与)もしくはプラセボを24週間投与する二重盲検比較試験を実施した16),17)
      認知機能を評価するSIB-Jのスコア変化量を表に示す。
      SIB-Jにおいて、主たる解析である投与24週後評価のプラセボ群とメマンチン塩酸塩20mg/日群のスコア変化量の差は4.53点であり、両群間に有意差が認められた(解析対象:368例、p=0.0001、Wilcoxon検定)。最終評価時点においても両群間に有意差が認められた(解析対象:424例、p<0.0001、Wilcoxon検定)。
      また、SIB-Jのスコア変化量の経時的推移でもメマンチン塩酸塩20mg/日群は24週間にわたってプラセボ群を上回った。

      投与24週後のSIB-Jのスコア変化量

      投与群

      n

      0週からの
      変化量注1)

      変化量の差注2)

      メマンチン塩酸塩20mg/日群

      193

      -0.65±9.74

      4.53

      プラセボ群

      175

      -5.18±11.66

      注1)[24週後の値]-[0週の値](mean±SD)
      注2)[メマンチン塩酸塩20mg/日群の0週からの変化量の平均値]-[プラセボ群の0週からの変化量の平均値]

      全般的臨床症状を評価するModified CIBIC plus-Jの投与24週後評価の平均値を表に示す。メマンチン塩酸塩20mg/日群はプラセボ群を上回ったが、両群間の差は0.11であり、有意差は認められなかった(解析対象:367例、p=0.3189、Mantel検定)。
      また、最終評価においても有意差は認められなかった(解析対象:425例、p=0.1083、Mantel検定)。

      投与24週後のModified CIBIC plus-J

      投与群

      n

      24週後(mean±SD)

      平均値の差注3)

      メマンチン塩酸塩20mg/日群

      190

      4.47±1.07

      -0.11

      プラセボ群

      177

      4.58±1.01

      注3)[メマンチン塩酸塩20mg/日群の24週後の平均値]-[プラセボ群の24週後の平均値]

      副作用発現頻度はメマンチン塩酸塩群で28.5%(63/221例)であり、主な副作用は、便秘3.2%(7/221例)、血圧上昇2.3% (5/221例)、高血圧1.8%(4/221例)、血中クレアチンホスホキナーゼ増加、アルツハイマー型認知症各1.4%(3/221例)であった。

    3. 17.1.3 海外第Ⅲ相試験

      米国において、ドネペジル塩酸塩の治療を6ヵ月以上受けている中等度から高度アルツハイマー型認知症患者(MMSEスコア:5点以上14点以下)403例を対象にメマンチン塩酸塩20mg(5mg/日、10mg/日及び15mg/日をそれぞれ順に1週間投与後、20mg/日を21週間投与:計24週間投与)もしくはプラセボを24週間投与する二重盲検比較試験を実施した18)
      認知機能を評価するSIBの最終評価時点のスコア変化量の最小二乗平均値を表に示す。プラセボ群とメマンチン塩酸塩20mg/日群の差は3.4点であり、両群間に有意差が認められた(解析対象394例、p<0.001、2元配置共分散分析)。

      最終評価時点のSIBのスコア変化量

      投与群

      n

      0週からの
      変化量注4)

      変化量の差注5)

      メマンチン塩酸塩20mg/日群

      198

      0.9±0.67

      3.4

      プラセボ群

      196

      -2.5±0.69

      注4)[最終評価時点の値]-[0週の値](最小二乗平均値±SE)
      注5)[メマンチン塩酸塩20mg/日群の0週からの変化量の最小二乗平均値]-[プラセボ群の0週からの変化量の最小二乗平均値]

      全般的臨床症状を評価するCIBIC-plusの最終評価時点の平均値を表に示す。プラセボ群とメマンチン塩酸塩20mg/日群の差は0.25であり、両群間に有意差が認められた(解析対象394例、p=0.03、Cochran-Mantel Haenszel検定)。

      最終評価時点のCIBIC-plus

      投与群

      n

      最終評価時点
      (mean±SE)

      平均値の差注6)

      メマンチン塩酸塩20mg/日群

      198

      4.41±0.074

      -0.25

      プラセボ群

      196

      4.66±0.075

      注6)[メマンチン塩酸塩20mg/日群の最終評価時点の平均値]-[プラセボ群の最終評価時点の平均値]

      日常生活動作を評価するADCS-ADL19の最終評価時点のスコア変化量の最小二乗平均値を表に示す。プラセボ群とメマンチン塩酸塩20mg/日群の差は1.4点であり、両群間に有意差が認められた(解析対象395例、p=0.03、2元配置共分散分析)。

      最終評価時点のADCS-ADL19のスコア変化量

      投与群

      n

      0週からの
      変化量注7)

      変化量の差注8)

      メマンチン塩酸塩20mg/日群

      198

      -2.0±0.50

      1.4

      プラセボ群

      197

      -3.4±0.51

      注7)[最終評価時点の値]-[0週の値](最小二乗平均値±SE)
      注8)[メマンチン塩酸塩20mg/日群の0週からの変化量の最小二乗平均値]-[プラセボ群の0週からの変化量の最小二乗平均値]

      副作用発現頻度はメマンチン塩酸塩群で33.7%(68/202例)であり、主な副作用は、浮動性めまい5.9%(12/202例)、頭痛4.5%(9/202例)、激越、錯乱各4.0%(8/202例)、転倒、下痢、傾眠、尿失禁各2.5%(5/202例)、疲労、無力症、嘔吐各2.0% (4/202例)、末梢性浮腫、高血圧、歩行異常、体重増加、不眠症、貧血各1.5%(3/202例)であった19)

    17.2 製造販売後調査等

    1. 17.2.1 国内第Ⅳ相試験

      ドネペジル塩酸塩を服用中の中等度から高度アルツハイマー型認知症患者(MMSEスコア:1点以上14点以下)546例を対象にメマンチン塩酸塩20mg(5mg/日、10mg/日及び15mg/日をそれぞれ順に1週間投与後、20mg/日を21週間投与:計24週間投与)もしくはプラセボを24週間投与する無作為化二重盲検並行群間比較試験を実施した20),21)
      認知機能を評価するSIB-Jのスコア変化量の結果を表に示す。SIB-Jにおいて、主たる解析である最終評価時点のメマンチン塩酸塩20mg/日併用群のスコア変化量はプラセボ併用群を上回ったが、両群間に有意差は認められなかった(解析対象:527例、p=0.2437、0週時のSIB-Jスコア及びドネペジル塩酸塩の1日量を共変量とした共分散分析)。

      最終評価時点のSIB-Jのスコア変化量

      投与群

      n

      0週からの
      変化量注9)

      変化量の差注10)

      最小二乗平均値
      [95%信頼区間]

      最小二乗平均値
      [95%信頼区間]

      メマンチン塩酸塩20mg/日
      併用群

      261

      -1.34
      [-2.33, -0.35]

      0.81
      [-0.56, 2.19]

      プラセボ併用群

      266

      -2.15
      [-3.13, -1.18]

      注9)[最終評価時点の値]-[0週の値]
      注10)[メマンチン塩酸塩20mg/日併用群の0週からの変化量の最小二乗平均値]-[プラセボ併用群の0週からの変化量の最小二乗平均値]

      ※その他の解析として行ったWilcoxon順位和検定においても、両群間に有意差は認められなかった(p=0.0563)。

    18. 薬効薬理

    18.1 作用機序

    アルツハイマー型認知症ではグルタミン酸神経系の機能異常が関与しており、グルタミン酸受容体のサブタイプであるNMDA(N-メチル-D-アスパラギン酸)受容体チャネルの過剰な活性化が原因の一つと考えられている。メマンチンはNMDA受容体チャネル阻害作用により、その機能異常を抑制する22)

    18.2 NMDA受容体チャネルに対する阻害作用及び特性

    1. 18.2.1 ラット大脳皮質神経細胞膜画分のNMDA受容体チャネルに対して、選択的で低親和性の結合を示した23)in vitro)。
    2. 18.2.2 ラット初代培養海馬神経細胞において、NMDA受容体チャネルの活性化によって生じる電流に対して膜電位依存性の阻害作用を示し、その作用の発現及び消失は速やかであった24)in vitro)。
    3. 18.2.3 ラット海馬スライスのシナプス伝達の長期増強(記憶・学習の基本モデル)の形成に対して濃度依存的な抑制作用を示すが、NMDA受容体チャネル阻害作用のIC50値付近ではほとんど影響しなかった25)in vitro)。

    18.3 学習障害抑制作用

    1. 18.3.1 ラット海馬へのアミロイドβ1-40及びイボテン酸(NMDA受容体作動薬)の注入により惹起された神経細胞傷害及び空間認知機能障害を抑制した。一方、正常ラットの空間認知機能には影響しなかった26)
    2. 18.3.2 ラット腹腔内へのNMDAの投与により惹起された、神経細胞傷害に基づかない受動的回避学習障害を抑制した27)
    3. 18.3.3 正常ラットに高用量(腹腔内10mg/kg)を投与した場合、受動的回避学習を障害したとの報告がある28)

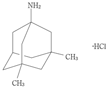
    19. 有効成分に関する理化学的知見

    一般的名称

    メマンチン塩酸塩(Memantine Hydrochloride)

    化学名

    3, 5-Dimethyltricyclo[3.3.1.13,7]dec-1-ylamine monohydrochloride

    分子式

    C12H21N・HCl

    分子量

    215.76

    性状

    白色の粉末である。
    ギ酸又はエタノール(99.5)に溶けやすく、水にやや溶けやすい。

    化学構造式

    20. 取扱い上の注意

    1. 20.1 アルミピロー又はプラスチックボトル開封後は湿気を避けて保存すること。
    2. 20.2 製剤の特性上、吸湿により錠剤表面がざらつくことがある。
    3. 20.3 5mg錠、10mg錠は、それぞれ錠剤表面に使用色素による赤色、黄色の斑点がみられることがある。

    22. 包装

    • 〈メマンチン塩酸塩OD錠5mg「フェルゼン」〉

      14錠[14錠(PTP)×1、乾燥剤入り]
      100錠[バラ、乾燥剤入り]

    • 〈メマンチン塩酸塩OD錠10mg「フェルゼン」〉

      56錠[14錠(PTP)×4、乾燥剤入り]
      100錠[バラ、乾燥剤入り]

    • 〈メマンチン塩酸塩OD錠20mg「フェルゼン」〉

      56錠[14錠(PTP)×4、乾燥剤入り]
      100錠[バラ、乾燥剤入り]

    23. 主要文献

    1) Freudenthaler S, et al.:Br J Clin Pharmacol. 1998;46(6):541-546

    2) 健康成人男性における単回経口投与時の薬物動態の検討(メマリー錠:2011年1月21日承認、申請資料概要2.7.6.4)

    3) 大和田康子ほか:新薬と臨床.2014;63(3):374-378

    4) アルツハイマー型認知症患者における反復経口投与時の薬物動態の検討(メマリー錠:2011年1月21日承認、申請資料概要2.7.6.7)

    5) 社内資料:生物学的同等性試験(メマンチン塩酸塩OD錠20mg「フェルゼン」)

    6) ラットにおける14C-標識体を用いた排泄及び乳汁中への移行(メマリー錠:2011年1月21日承認、申請資料概要2.6.4.4、2.6.4.6)

    7) 臨床薬理試験:臨床薬理試験(日本人及び白人の高齢者における薬物動態試験)(メマリー錠:2011年1月21日承認、申請資料概要2.7.6.11)

    8) ヒ卜生体試料を用いた in vitro試験(メマリー錠:2011年1月21日承認、申請資料概要2.7.2.2)

    9) 臨床薬理試験(マスバランス試験)(メマリー錠:2011年1月21日承認、申請資料概要2.7.6.6)

    10) 腎機能障害患者における薬物動態の検討(メマリー錠:2011年1月21日承認、申請資料概要2.7.6.8)

    11) メマンチン塩酸塩とヒドロクロロチアジド・トリアムテレン配合剤との薬物動態学的相互作用の検討(メマリー錠:2011年1月21日承認、申請資料概要2.7.6.16)

    12) 社内資料:生物学的同等性試験(メマンチン塩酸塩OD錠5mg「フェルゼン」)

    13) 社内資料:生物学的同等性試験(メマンチン塩酸塩OD錠10mg「フェルゼン」)

    14) 北村伸ほか:老年精神医学雑誌.2011;22(4):453-463

    15) 後期第Ⅱ相試験(メマリー錠:2011年1月21日承認、申請資料概要2.7.6.19)

    16) 中村祐ほか:老年精神医学雑誌.2011;22(4):464-473

    17) 第Ⅲ相試験(メマリー錠:2011年1月21日承認、申請資料概要2.7.6.20)

    18) Tariot PN, et al.:JAMA, 2004;291(3):317-324

    19) 第Ⅲ相試験(メマリー錠:2011年1月21日承認、申請資料概要2.7.6.25)

    20) 中村祐ほか:Geriat Med. 2016;54(11):1147-1158

    21) メマンチン塩酸塩のドネペジル塩酸塩併用時における中等度及び高度アルツハイマー型認知症に対する製造販売後臨床試験(メマリー錠・OD錠:2020年9月23日承認、再審査報告書)

    22) 作用機序(メマリー錠:2011年1月21日承認、申請資料概要2.6.2.6)

    23) NMDA受容体チャネル親和性の検討(メマリー錠:2011年1月21日承認、申請資料概要2.6.2.2)

    24) Parsons CG, et al.:Neuropharmacology, 1993;32(12):1337-1350

    25) Frankiewicz T, et al.:Br J Pharmacol. 1996;117(4):689-697

    26) Nakamura S, et al.:Eur J Pharmacol. 2006;548(1-3):115-122

    27) Zajaczkowski W, et al.:Neuropharmacology, 1997;36(7):961-971

    28) Misztal M, et al.:Behav Pharmacol. 1995;6:550-561

    24. 文献請求先及び問い合わせ先

    株式会社フェルゼンファーマ 安全管理部

    〒105-0001 東京都港区虎ノ門1-1-18 ヒューリック虎ノ門ビル

    TEL:03-6368-5160 FAX:03-3580-1522

    26. 製造販売業者等

    26.1 製造販売元

    ダイト株式会社

    富山県富山市八日町326番地

    26.2 販売元

    株式会社フェルゼンファーマ

    札幌市中央区北10条西24丁目3番地

    〒100-0013 東京都千代田区霞が関3-3-2 新霞が関ビル

    画面を閉じる

    Copyright © Pharmaceuticals and Medical Devices Agency, All Rights reserved.