医療用医薬品 詳細表示

テルミサルタン錠20mg「VTRS」/テルミサルタン錠40mg「VTRS」/テルミサルタン錠80mg「VTRS」

処方せん医薬品

添付文書番号
企業コード
作成又は改訂年月
日本標準商品分類番号
薬効分類名
承認等
一般的名称
2.禁忌(次の患者には投与しないこと)
3.組成・性状
3.1組成
3.2製剤の性状
4.効能又は効果
6.用法及び用量
7.用法及び用量に関連する注意
8.重要な基本的注意
9.特定の背景を有する患者に関する注意
9.1合併症・既往歴等のある患者
9.2腎機能障害患者
9.3肝機能障害患者
9.4生殖能を有する者
9.5妊婦
9.6授乳婦
9.7小児等
9.8高齢者
10.相互作用
10.1併用禁忌(併用しないこと)
10.2併用注意(併用に注意すること)
11.副作用
11.1重大な副作用
11.2その他の副作用
13.過量投与
14.適用上の注意
16.薬物動態
16.1血中濃度
16.2吸収
16.3分布
16.4代謝
16.5排泄
16.6特定の背景を有する患者
16.8その他
17.臨床成績
17.1有効性及び安全性に関する試験
18.薬効薬理
18.1作用機序
18.2降圧作用
19.有効成分に関する理化学的知見
20.取扱い上の注意
22.包装
23.主要文献
24.文献請求先及び問い合わせ先
26.製造販売業者等

テルミサルタン錠20mg「VTRS」/テルミサルタン錠40mg「VTRS」/テルミサルタン錠80mg「VTRS」

添付文書番号

2149042F1262_1_05

企業コード

400073

作成又は改訂年月

**2025年9月改訂(第3版)
2024年7月改訂(第2版)

日本標準商品分類番号

872149

薬効分類名

胆汁排泄型持続性AT1受容体ブロッカー

承認等

テルミサルタン錠20mg「VTRS」

販売名コード

YJコード

2149042F1262

販売名英語表記

TELMISARTAN Tablets

販売名ひらがな

てるみさるたんじょう20mg「VTRS」

承認番号等

承認番号

30400AMX00171

販売開始年月

2017年6月

貯法・有効期間

貯法

室温保存

有効期間

3年

基準名

日本薬局方

テルミサルタン錠

テルミサルタン錠40mg「VTRS」

販売名コード

YJコード

2149042F2269

販売名英語表記

TELMISARTAN Tablets

販売名ひらがな

てるみさるたんじょう40mg「VTRS」

承認番号等

承認番号

30400AMX00172

販売開始年月

2017年6月

貯法・有効期間

貯法

室温保存

有効期間

3年

基準名

日本薬局方

テルミサルタン錠

テルミサルタン錠80mg「VTRS」

販売名コード

YJコード

2149042F3265

販売名英語表記

TELMISARTAN Tablets

販売名ひらがな

てるみさるたんじょう80mg「VTRS」

承認番号等

承認番号

30400AMX00173

販売開始年月

2017年6月

貯法・有効期間

貯法

室温保存

有効期間

3年

基準名

日本薬局方

テルミサルタン錠

一般的名称

テルミサルタン

2. 禁忌(次の患者には投与しないこと)

  1. 2.1 本剤の成分に対し過敏症の既往歴のある患者
  2. 2.2 妊婦又は妊娠している可能性のある女性
  3. 2.3 胆汁の分泌が極めて悪い患者又は重篤な肝障害のある患者
  4. 2.4 アリスキレンフマル酸塩を投与中の糖尿病患者(ただし、他の降圧治療を行ってもなお血圧のコントロールが著しく不良の患者を除く)

3. 組成・性状

3.1 組成

テルミサルタン錠20mg「VTRS」

有効成分1錠中 日局  テルミサルタン   20mg
添加剤ポリオキシエチレン(160)ポリオキシプロピレン(30)グリコール、メグルミン、D-マンニトール、軽質無水ケイ酸、ステアリン酸マグネシウム、ヒプロメロース、マクロゴール6000、酸化チタン、その他1成分

テルミサルタン錠40mg「VTRS」

有効成分1錠中 日局 テルミサルタン   40mg
添加剤ポリオキシエチレン(160)ポリオキシプロピレン(30)グリコール、メグルミン、D-マンニトール、軽質無水ケイ酸、ステアリン酸マグネシウム、ヒプロメロース、マクロゴール6000、酸化チタン、その他1成分

テルミサルタン錠80mg「VTRS」

有効成分1錠中 日局 テルミサルタン   80mg
添加剤ポリオキシエチレン(160)ポリオキシプロピレン(30)グリコール、メグルミン、D-マンニトール、軽質無水ケイ酸、ステアリン酸マグネシウム、ヒプロメロース、マクロゴール6000、酸化チタン、その他1成分

3.2 製剤の性状

テルミサルタン錠20mg「VTRS」

外形上面
下面
側面
直径6.1mm
厚さ2.9mm
質量87mg
色調等白色
フィルムコーティング錠

テルミサルタン錠40mg「VTRS」

外形上面
下面
側面
直径8.1mm
厚さ3.5mm
質量173.4mg
色調等白色
割線入り
フィルムコーティング錠

テルミサルタン錠80mg「VTRS」

外形上面
下面
側面
直径10.2mm
厚さ4.4mm
質量345mg
色調等白色
割線入り
フィルムコーティング錠

4. 効能又は効果

高血圧症

6. 用法及び用量

通常、成人にはテルミサルタンとして40mgを1日1回経口投与する。ただし、1日20mgから投与を開始し漸次増量する。
なお、年齢・症状により適宜増減するが、1日最大投与量は80mgまでとする。

7. 用法及び用量に関連する注意

肝障害のある患者に投与する場合、最大投与量は1日1回40mgとする。

8. 重要な基本的注意

  1. 8.1 降圧作用に基づく失神、めまい、ふらつきがあらわれることがあるので、高所作業、自動車の運転等危険を伴う機械を操作する際には注意させること。
  2. 8.2 手術前24時間は投与しないことが望ましい。アンジオテンシンⅡ受容体拮抗剤投与中の患者は、麻酔及び手術中にレニン-アンジオテンシン系の抑制作用による高度な血圧低下を起こす可能性がある。
  3. 8.3 本剤を含むアンジオテンシンⅡ受容体拮抗剤投与中に肝炎等の重篤な肝障害があらわれたとの報告があるので、肝機能検査を実施するなど、観察を十分に行うこと。

9. 特定の背景を有する患者に関する注意

9.1 合併症・既往歴等のある患者

  1. 9.1.1 両側性腎動脈狭窄のある患者又は片腎で腎動脈狭窄のある患者

    治療上やむを得ないと判断される場合を除き、使用は避けること。腎血流量の減少や糸球体ろ過圧の低下により急速に腎機能を悪化させるおそれがある。

  2. 9.1.2 高カリウム血症の患者

    治療上やむを得ないと判断される場合を除き、使用は避けること。高カリウム血症を増悪させるおそれがある。
    また、腎機能障害、コントロール不良の糖尿病等により血清カリウム値が高くなりやすい患者では、血清カリウム値に注意すること。

  3. 9.1.3 脳血管障害のある患者

    過度の降圧が脳血流不全を引き起こし、病態を悪化させるおそれがある。

  4. 9.1.4 厳重な減塩療法中の患者

    低用量から投与を開始し、増量する場合は徐々に行うこと。急激な血圧低下を起こすおそれがある。

9.2 腎機能障害患者

  1. 9.2.1 重篤な腎障害(血清クレアチニン値3.0mg/dL以上の場合)のある患者

    腎機能を悪化させるおそれがある。

  2. 9.2.2 血液透析中の患者

    低用量から投与を開始し、増量する場合は徐々に行うこと。急激な血圧低下を起こすおそれがある。,

9.3 肝機能障害患者

  1. 9.3.1 胆汁の分泌が極めて悪い患者又は重篤な肝障害のある患者

    投与しないこと。,

  2. 9.3.2 肝機能障害患者

    本剤は主に胆汁中に排泄されるため、テルミサルタンのクリアランスが低下することがある。また、外国において肝障害患者で本剤の血中濃度が約3~4.5倍上昇することが報告されている。,,

9.4 生殖能を有する者

  1. 9.4.1 妊娠する可能性のある女性

    妊娠していることが把握されずアンジオテンシン変換酵素阻害剤又はアンジオテンシンⅡ受容体拮抗剤を使用し、胎児・新生児への影響(腎不全、頭蓋・肺・腎の形成不全、死亡等)が認められた例が報告されている1),2)

    本剤の投与に先立ち、代替薬の有無等も考慮して本剤投与の必要性を慎重に検討し、治療上の有益性が危険性を上回ると判断される場合にのみ投与すること。また、投与が必要な場合には次の注意事項に留意すること。

    1. (1) 本剤投与開始前に妊娠していないことを確認すること。本剤投与中も、妊娠していないことを定期的に確認すること。投与中に妊娠が判明した場合には、直ちに投与を中止すること。
    2. (2) 次の事項について、本剤投与開始時に患者に説明すること。また、投与中も必要に応じ説明すること。
      • 妊娠中に本剤を使用した場合、胎児・新生児に影響を及ぼすリスクがあること。
      • 妊娠が判明した又は疑われる場合は、速やかに担当医に相談すること。
      • 妊娠を計画する場合は、担当医に相談すること。

9.5 妊婦

妊婦又は妊娠している可能性のある女性には投与しないこと。投与中に妊娠が判明した場合には、直ちに投与を中止すること。
妊娠中期及び末期に本剤を含むアンジオテンシンⅡ受容体拮抗剤又はアンジオテンシン変換酵素阻害剤を投与された患者で羊水過少症、胎児・新生児の死亡、新生児の低血圧、腎不全、高カリウム血症、頭蓋の形成不全及び羊水過少症によると推測される四肢の拘縮、頭蓋顔面の奇形、肺の発育不全等があらわれたとの報告がある。,

9.6 授乳婦

授乳しないことが望ましい。動物実験(ラット)で乳汁中へ移行することが報告されている。また、動物実験(ラット出生前、出生後の発生及び母動物の機能に関する試験)の15mg/kg/日以上の投与群で出生児の4日生存率の低下、50mg/kg/日投与群で出生児の低体重及び身体発達の遅延が報告されている。

9.7 小児等

小児等を対象とした臨床試験は実施していない。

9.8 高齢者

一般に過度の降圧は好ましくないとされている。脳梗塞等が起こるおそれがある。

10. 相互作用

  • 本剤は、主としてUGT酵素(UDP-グルクロノシルトランスフェラーゼ)によるグルクロン酸抱合によって代謝される。

10.1 併用禁忌(併用しないこと)

薬剤名等臨床症状・措置方法機序・危険因子

アリスキレンフマル酸塩

  • ラジレス
    (糖尿病患者に使用する場合。ただし、他の降圧治療を行ってもなお血圧のコントロールが著しく不良の患者を除く。)

非致死性脳卒中、腎機能障害、高カリウム血症及び低血圧のリスク増加が報告されている。

レニン-アンジオテンシン系阻害作用が増強される可能性がある。

10.2 併用注意(併用に注意すること)

薬剤名等臨床症状・措置方法機序・危険因子

ジゴキシン

血中ジゴキシン濃度が上昇したとの報告がある3)

機序不明

カリウム保持性利尿剤

  • スピロノラクトン
    トリアムテレン等

カリウム補給剤

血清カリウム濃度が上昇するおそれがある。

カリウム貯留作用が増強するおそれがある。
危険因子:特に腎機能障害のある患者

リチウム製剤

  • 炭酸リチウム

アンジオテンシン変換酵素阻害剤との併用により、リチウム中毒を起こすことが報告されている。

明確な機序は不明であるが、ナトリウムイオン不足はリチウムイオンの貯留を促進するといわれているため、本剤がナトリウム排泄を促進することにより起こると考えられる。

利尿降圧剤

  • フロセミド、トリクロルメチアジド等

急激な血圧低下を起こすおそれがあるので、低用量から投与を開始し、増量する場合は徐々に行うこと。

利尿降圧剤で治療を受けている患者にはレニン活性が亢進している患者が多く、本剤が奏効しやすい。

非ステロイド性抗炎症薬(NSAIDs)

糸球体ろ過量がより減少し、腎障害のある患者では急性腎障害を引き起こす可能性がある。

プロスタグランジン合成阻害作用により、腎血流量が低下するためと考えられる。

非ステロイド性抗炎症薬(NSAIDs)

降圧薬の効果を減弱させることが報告されている。

血管拡張作用を有するプロスタグランジンの合成が阻害されるため、降圧薬の血圧低下作用を減弱させると考えられている。

アンジオテンシン変換酵素阻害剤

急性腎障害を含む腎機能障害、高カリウム血症及び低血圧を起こすおそれがある4)

レニン-アンジオテンシン系阻害作用が増強される可能性がある。

アリスキレンフマル酸塩

腎機能障害、高カリウム血症及び低血圧を起こすおそれがある。なお、eGFRが60mL/min/1.73m2未満の腎機能障害のある患者へのアリスキレンフマル酸塩との併用については、治療上やむを得ないと判断される場合を除き避けること。

レニン-アンジオテンシン系阻害作用が増強される可能性がある。

11. 副作用

次の副作用があらわれることがあるので、観察を十分に行い、異常が認められた場合には投与を中止するなど適切な処置を行うこと。

11.1 重大な副作用

  1. 11.1.1 **血管性浮腫(0.1%未満)

    顔面、口唇、咽頭・喉頭、舌等の腫脹を症状とする血管性浮腫があらわれ、喉頭浮腫等により呼吸困難を来した症例も報告されている。また、腹痛、嘔気、嘔吐、下痢等を伴う腸管血管性浮腫があらわれることがある。

  2. 11.1.2 高カリウム血症(頻度不明)
  3. 11.1.3 腎機能障害(頻度不明)

    急性腎障害を呈した例が報告されている。

  4. 11.1.4 ショック(頻度不明)、失神、意識消失(0.1%)

    冷感、嘔吐、意識消失等があらわれた場合には、直ちに適切な処置を行うこと。,,

  5. 11.1.5 肝機能障害、黄疸(頻度不明)

    AST、ALT、γ-GTP上昇等の肝機能障害があらわれることがある。

  6. 11.1.6 低血糖(頻度不明)

    脱力感、空腹感、冷汗、手の震え、集中力低下、痙攣、意識障害等があらわれた場合には投与を中止し、適切な処置を行うこと。糖尿病治療中の患者であらわれやすい。

  7. 11.1.7 アナフィラキシー(頻度不明)

    呼吸困難、血圧低下、喉頭浮腫等が症状としてあらわれることがある。

  8. 11.1.8 間質性肺炎(頻度不明)

    発熱、咳嗽、呼吸困難、胸部X線異常等を伴う間質性肺炎があらわれることがあるので、このような場合には投与を中止し、副腎皮質ホルモン剤の投与等の適切な処置を行うこと。

  9. 11.1.9 横紋筋融解症(頻度不明)

    筋肉痛、脱力感、CK上昇、血中及び尿中ミオグロビン上昇を特徴とする横紋筋融解症があらわれることがあるので、このような場合には直ちに投与を中止し、適切な処置を行うこと。

11.2 その他の副作用

0.5~5%未満

0.5%未満

頻度不明

過敏症

瘙痒、発疹

紅斑、じん麻疹

精神神経系

めまい、頭痛、眠気、頭のぼんやり感

不安感

不眠、抑うつ状態

血液

白血球減少

好酸球上昇、血小板減少、ヘモグロビン減少、貧血

循環器

ほてり、心悸亢進

ふらつき、上室性期外収縮、心房細動、上室性頻脈

低血圧、起立性低血圧、徐脈

消化器

腹痛、下痢、嘔気

食欲不振、消化不良、胃炎、口渇、口内炎

鼓腸、嘔吐

肝臓

AST、ALT、Al-P、LDH上昇等の肝機能異常

呼吸器

喀痰増加、咽頭炎

腎臓

血清クレアチニン上昇、血中尿酸値上昇

骨格筋

関節痛、下肢痙攣、下肢痛、筋肉痛、背部痛、腱炎

電解質

血清カリウム上昇

低ナトリウム血症

その他

耳鳴、倦怠感、CRP陽性、CK上昇

浮腫、脱力感、発熱、頻尿、結膜炎、目のチカチカ感、羞明

視覚異常、多汗、胸痛、上気道感染、インフルエンザ様症状、尿路感染、膀胱炎、敗血症、しびれ、味覚異常

13. 過量投与

  1. 13.1 症状

    本剤の過量服用(640mg)により、低血圧及び頻脈があらわれたとの報告がある。

  2. 13.2 処置

    本剤は血液濾過されない。また、本剤は血液透析によって除去されない。

14. 適用上の注意

14.1 薬剤交付時の注意

  1. 14.1.1 PTP包装の薬剤はPTPシートから取り出して服用するよう指導すること。
    PTPシートの誤飲により、硬い鋭角部が食道粘膜へ刺入し、更には穿孔をおこして縦隔洞炎等の重篤な合併症を併発することがある。
  2. 14.1.2 本剤を食後に服用している患者には、毎日食後に服用するよう注意を与えること。本剤の薬物動態は食事の影響を受け、空腹時投与した場合は、食後投与よりも血中濃度が高くなることが報告されており、副作用が発現するおそれがある。

16. 薬物動態

16.1 血中濃度

  1. 16.1.1 単回投与

    本態性高血圧症患者にテルミサルタン20mg、40mg、80mg(カプセル剤)を食後に単回経口投与(20mg群:31例(男性22、女性9)、40mg群:29例(男性22、女性7)、80mg群:30例(男性18、女性12))したときの薬物動態パラメータは以下のとおりであった5)

    投与量

    Cmax
    (ng/mL)

    Tmax
    (h)

    AUC(0-24h)
    (ng・h/mL)

    T1/2
    (h)

    20mg
    (n=31)

    33.84±17.37

    6.9±6.2

    424.65±232.25

    24.0±11.0

    40mg
    (n=29)

    78.52±32.72

    4.6±1.7

    807.41±334.76

    20.3±12.1

    80mg
    (n=30)

    365.81±253.08

    3.6±1.2

    2304.54±1522.85

    20.9±10.6

    (平均値±S.D.)

    また、日本人及び外国人の健康成人及び患者において、40mg以上(カプセル剤もしくは溶液)の投与量で用量比以上の曝露の上昇がみられ、Cmaxでその傾向は顕著であることが確認されている。その機序として、小腸壁での抱合能の飽和及び肝臓への分布の飽和の関与が考えられる5),6),7),8)

  2. 16.1.2 反復投与

    本態性高血圧症患者にテルミサルタン40mg、80mg(カプセル剤)を1日1回14日間食後に反復経口投与(40mg群:10例(男性6、女性4)、80mg群:10例(男性7、女性3))したとき、定常状態である14日目における血漿中未変化体濃度は、投与後2~4時間で最大値を示し、以後徐々に低下した。また、AUC(0-24h)の比から算出した蓄積率は、40mg及び80mg投与でそれぞれ1.91±0.53及び1.61±0.62(平均値±S.D.)であった9)

    投与量

    投与日

    Cmax
    (ng/mL)

    Tmax
    (h)

    AUC(0-24h)
    (ng・h/mL)

    40mg
    (n=10)

    1日目
    14日目

    85.78±45.25
    166.51±88.49

    4.0±1.6
    3.4±1.0

    1030.16±598.93
    1930.61±1155.91

    80mg
    (n=10)

    1日目
    14日目

    259.50±137.14
    436.62±219.36

    2.9±1.2
    2.3±0.9

    2288.28±956.39
    3203.57±1710.92

    (平均値±S.D.)

    14日目のCmax及びAUC(0-24h)を男女別に分けた場合、各平均値の男性に対する女性の比は40mg投与時で1.18及び0.97、80mg投与時で1.77及び1.69であり、男性よりも女性で高い傾向が認められた。

  3. 16.1.3 ポピュレーションファーマコキネティクス解析

    日本人及び外国人の併合データであるポピュレーションファーマコキネティクス解析の結果から、クリアランスは女性より男性で39%高く、女性の曝露が男性よりも高いことが示唆された10)

  4. 16.1.4 個体差

    日本人及び外国人の臨床試験における薬物動態を検討した結果、Cmax及びAUCに個体差が認められ、80mg以上の投与量においてその傾向が顕著であった5),6),9)

  5. 16.1.5 生物学的同等性試験
    • 〈テルミサルタン錠40㎎「VTRS」〉

      健康成人男性にテルミサルタン錠40mg「VTRS」とミカルディス錠40mgのそれぞれ1錠(テルミサルタンとして40mg)を、絶食時単回経口投与して血漿中テルミサルタン濃度を測定し、得られた薬物動態パラメータ(AUC、Cmax)について90%信頼区間法にて統計解析を行った結果、log(0.80)~log(1.25)の範囲内であり、両剤の生物学的同等性が確認された(クロスオーバー法)11)

      血漿中テルミサルタンの薬物動態パラメータ

      判定パラメータ

      参考パラメータ

      AUC0-72
      (ng・hr/mL)

      Cmax
      (ng/mL)

      Tmax
      (hr)

      T1/2
      (hr)

      テルミサルタン錠40mg「VTRS」

      1291.8±500.1

      181.3±77.3

      1.3±0.5

      21.0±5.9

      ミカルディス錠40mg

      1300.6±432.9

      182.3±98.5

      1.2±0.6

      20.8±5.8

      平均±標準偏差(n=18)

      血漿中テルミサルタンの濃度推移

      血漿中濃度並びにAUC、Cmax等のパラメータは、被験者の選択、体液の採取回数・時間等の試験条件によって異なる可能性がある。

    • 〈テルミサルタン錠80㎎「VTRS」〉

      健康成人男性にテルミサルタン錠80mg「VTRS」とミカルディス錠80mgのそれぞれ1錠(テルミサルタンとして80mg)を、絶食時単回経口投与して血漿中テルミサルタン濃度を測定し、得られた薬物動態パラメータ(AUC、Cmax)について90%信頼区間法にて統計解析を行った結果、log(0.80)~log(1.25)の範囲内であり、両剤の生物学的同等性が確認された(クロスオーバー法)12)

      血漿中テルミサルタンの薬物動態パラメータ

      判定パラメータ

      参考パラメータ

      AUC0-72
      (ng・hr/mL)

      Cmax
      (ng/mL)

      Tmax
      (hr)

      T1/2
      (hr)

      テルミサルタン錠80mg「VTRS」

      3740.5±2252.9

      1071.3±749.9

      1.2±0.9

      24.1±7.5

      ミカルディス錠80mg

      3695.3±2388.7

      1051.1±766.4

      1.1±0.7

      24.3±7.1

      平均±標準偏差(n=53)

      血漿中テルミサルタンの濃度推移

      血漿中濃度並びにAUC、Cmax等のパラメータは、被験者の選択、体液の採取回数・時間等の試験条件によって異なる可能性がある。

16.2 吸収

健康成人男子20例に、テルミサルタン40mg(カプセル剤)を単回経口投与したとき、空腹時投与に比べ食後投与でtmaxが遅延(空腹時:1.8±0.9時間、食後:5.3±1.4時間)し、Cmaxが57%、AUCが32%低下した13)

16.3 分布

ラット及びヒトの血漿蛋白結合率は、in vitro及びin vivoともに99%以上であった14)

16.4 代謝

健康成人男子5例に14C-テルミサルタン40mgを静脈内投与したとき、血漿中総放射能の84%以上が未変化体であり、残りはグルクロン酸抱合体であった15)(外国人データ)。

16.5 排泄

健康成人男子にテルミサルタン20、40、80mgを空腹時に単回経口投与(各群6例)したとき、未変化体はほとんど尿中に排出されず、投与後24時間までの平均累積尿中排泄率は、いずれの投与量においても0.02%以下であった16)
健康成人男子5例に14C-テルミサルタン40mgを空腹時に単回経口投与したとき、投与後144時間までの放射能の尿中及び糞中総排泄率はそれぞれ約0.5%及び102%であり、吸収されたテルミサルタンの大部分が胆汁を介して糞中に排泄された15)

16.6 特定の背景を有する患者

  1. 16.6.1 腎機能障害患者

    腎機能障害を伴う高血圧症患者12例に、テルミサルタン40mg(カプセル剤)を1日1回7日間反復経口投与したとき、腎機能中等度低下群(6例(男性4、女性2)、血清クレアチニン値1.5~2.9mg/dL)と高度低下群(6例(男性4、女性2)、血清クレアチニン値3.0~4.0mg/dL)との間に薬物動態学的パラメータの差は認められなかった。また、正常腎機能の高血圧症患者と比較してCmax及びAUCに差は認められなかった17)

  2. 16.6.2 肝機能障害患者

    肝障害男性患者12例(Child-Pugh分類A(軽症):8例、B(中等症):4例)にテルミサルタン20mg及び120mg注)を経口投与したとき、健康成人に比較しCmaxは4.5倍及び3倍高く、AUCは2.5倍及び2.7倍高かった18)(外国人データ)。
    注)肝障害のある患者に投与する場合の最大投与量は1日40mgである。

16.8 その他

  • 〈テルミサルタン錠20㎎「VTRS」〉

    テルミサルタン錠20mg「VTRS」は、「含量が異なる経口固形製剤の生物学的同等性試験ガイドライン」に基づき、テルミサルタン錠40mg「VTRS」を標準製剤としたとき、溶出挙動が同等と判断され、生物学的に同等とみなされた19)

17. 臨床成績

17.1 有効性及び安全性に関する試験

  1. 17.1.1 国内臨床試験

    テルミサルタンカプセルについて、高血圧症患者を対象として実施した多施設二重盲検比較試験の結果、テルミサルタンの有用性が認められた20)
    また、テルミサルタンカプセルについて、二重盲検比較試験を含む国内で実施した臨床試験において、効果判定の対象となった449例中、承認された用法・用量の範囲内における臨床試験成績(419例)は以下のとおりであった21)

    疾患名

    有効率(下降の例数)

    「判定不能」を含む

    「判定不能」を除く

    本態性高血圧症

    76.8%(284/370)

    82.1%(284/346)

    腎障害を伴う高血圧症

    65.0%(13/20)

    65.0%(13/20)

    重症高血圧症

    79.3%(23/29)

    85.2%(23/27)

    合計

    76.4%(320/419)

    81.4%(320/393)

18. 薬効薬理

18.1 作用機序

テルミサルタンは主に血管平滑筋のアンジオテンシンⅡ(A-Ⅱ)タイプ1(AT1)受容体において、生理的昇圧物質であるA-Ⅱと特異的に拮抗し、その血管収縮作用を抑制することにより降圧作用を発現する。テルミサルタンのAT1受容体親和性は高く(Ki=3.7nM)、AT1受容体から容易に解離しない。テルミサルタンは10~1000nMの濃度範囲で、A-Ⅱによる摘出ウサギ大動脈標本の血管収縮反応曲線を、濃度依存的に右方に移動させると共に最大収縮を40~50%抑制する。また標本洗浄120分後においても有意な血管収縮抑制を示し、作用は持続的である。また、ブラジキニン分解酵素であるACE(キニナーゼⅡ)に対しては直接影響を及ぼさない22),23)

18.2 降圧作用

テルミサルタンは腎血管性高血圧ラットへの1mg/kgの4日間連続経口投与により、最大で55mmHgの降圧作用を示し、高血圧自然発症ラットへの0.3、1、3mg/kgの4日間連続経口投与により、それぞれ最大で23、22、38mmHgの降圧作用を示す。またトランスジェニックラットへの0.5、1、2mg/kgの21日間漸増経口投与により、それぞれ最大で33、57、72mmHgの降圧作用を示す。各モデルにおいて、投与終了後のリバウンド現象は認められない。腎血管性高血圧ラットへの1mg/kgの単回経口投与は、21時間以上にわたり有意な降圧作用を示す。レニン・アンジオテンシン系を亢進させたナトリウム欠乏カニクイザルに対しても0.3mg/kgの経口投与から有意な降圧作用を示し、1mg/kgの経口投与により降圧作用は7時間持続する。なお、正常血圧動物に対する降圧作用は弱い。利尿剤及びカルシウム拮抗剤との併用によりテルミサルタンの降圧作用は増強される22),24),25),26),27),28),29),30)

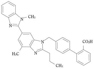
19. 有効成分に関する理化学的知見

一般的名称

テルミサルタン(Telmisartan)

化学名

4’-{[4-Methyl-6-(1-methyl-1H-benzimidazol-2-yl)-2-propyl-1H-benzimidazol-1-yl]methyl}biphenyl-2-carboxylic acid

分子式

C33H30N4O2

分子量

514.62

性状

白色~微黄色の結晶性の粉末である。
ギ酸に溶けやすく、メタノールに溶けにくく、エタノール(99.5)に極めて溶けにくく、水にほとんど溶けない。
結晶多形が認められる。

化学構造式

20. 取扱い上の注意

分包後は吸湿して軟化、黄変することがあるので、高温・多湿を避けて保存すること。

22. 包装

  • *〈テルミサルタン錠20mg「VTRS」〉

    140錠[14錠(PTP)×10]

  • *〈テルミサルタン錠40mg「VTRS」〉

    140錠[14錠(PTP)×10]

  • *〈テルミサルタン錠80mg「VTRS」〉

    140錠[14錠(PTP)×10]

23. 主要文献

1) 阿部真也ほか:周産期医学.2017;47:1353-1355

2) 齊藤大祐ほか:鹿児島産科婦人科学会雑誌.2021;29:49-54

3) Stangier J, et al.:J Clin Pharmacol.2000;40:1373-1379

4) Makani H, et al.:BMJ.2013;346:f360

5) 荻原俊男ほか:薬理と治療.2002;30(Suppl. 1):S271-S283

6) 荻原俊男ほか:薬理と治療.2002;30(Suppl. 1):S7-S32

7) 健康成人での薬物動態試験(血漿中濃度)(ミカルディスカプセル:2002年10月8日承認、申請資料概要へ.3.(1).1))

8) 第Ⅰ相試験(海外)(ミカルディスカプセル:2002年10月8日承認、申請資料概要ト.4.(1))

9) 荻原俊男ほか:薬理と治療.2002;30(Suppl. 1):S235-S251

10) Tatami S, et al.:Drug Metab Pharmacokin.2004;19(1):15-23

11) 社内資料:生物学的同等性試験(テルミサルタン錠40mg「VTRS」)

12) 社内資料:生物学的同等性試験(テルミサルタン錠80mg「VTRS」)

13) 入江伸ほか:薬理と治療.2002;30(Suppl. 1):S201-208

14) 血漿蛋白結合率試験(ミカルディスカプセル:2002年10月8日承認、申請資料概要へ.2.(4))

15) Stangier J, et al.:J Clin Pharmacol.2000;40:1312-1322

16) 健康成人での薬物動態試験(排泄)(ミカルディスカプセル:2002年10月8日承認、申請資料概要へ.3.(1).2))

17) 荻原俊男ほか:薬理と治療.2002;30(Suppl. 1):S183-S199

18) 肝障害患者での薬物動態試験(ミカルディスカプセル:2002年10月8日承認、申請資料概要へ.3.(4))

19) 社内資料:生物学的同等性試験(テルミサルタン錠20mg「VTRS」)

20) 荒川規矩男ほか:薬理と治療.2002;30(9):639-660

21) 有効性のまとめ(ミカルディスカプセル:2002年10月8日承認、申請資料概要ト.2.(1))

22) Wienen W.:Br J Pharmacol.1993;110(1):245-252

23) Wienen W.:Cardiovascular Drug Reviews.2000;18(2):127-154

24) 薬効薬理試験(高血圧ラット)(ミカルディスカプセル:2002年10月8日承認、申請資料概要ホ.1.(1).1)、ホ.1.(1).3))

25) van Meel JCA.:Arzneimittelforschung.1996;46(8):755-759

26) 薬効薬理試験(サル降圧作用、作用持続時間)(ミカルディスカプセル:2002年10月8日承認、申請資料概要ホ.1.(1).5))

27) 薬効薬理試験(正常血圧ラット)(ミカルディスカプセル:2002年10月8日承認、申請資料概要ホ.1.(1).6))

28) Wienen W.:J Renin Angiotensin Aldosterone Syst.2001;2(2):123-128

29) 薬効薬理試験(利尿剤との併用効果)(ミカルディスカプセル:2002年10月8日承認、申請資料概要ホ.1.(1).8))

30) 薬効薬理試験(カルシウム拮抗剤との併用効果)(ミカルディスカプセル:2002年10月8日承認、申請資料概要ホ.1.(1).8))

24. 文献請求先及び問い合わせ先

*ヴィアトリス製薬合同会社 メディカルインフォメーション部

*〒106-0041 東京都港区麻布台一丁目3番1号

フリーダイヤル 0120-419-043

26. 製造販売業者等

26.1 製造販売元

ダイト株式会社

富山県富山市八日町326番地

26.2 *販売元

ヴィアトリス製薬合同会社

東京都港区麻布台一丁目3番1号

〒100-0013 東京都千代田区霞が関3-3-2 新霞が関ビル

画面を閉じる

Copyright © Pharmaceuticals and Medical Devices Agency, All Rights reserved.