医療用医薬品 詳細表示

ロナセンテープ20mg/ロナセンテープ30mg/ロナセンテープ40mg

処方せん医薬品

添付文書番号
企業コード
作成又は改訂年月
日本標準商品分類番号
薬効分類名
承認等
一般的名称
2.禁忌(次の患者には投与しないこと)
3.組成・性状
3.1組成
3.2製剤の性状
4.効能又は効果
6.用法及び用量
7.用法及び用量に関連する注意
8.重要な基本的注意
9.特定の背景を有する患者に関する注意
9.1合併症・既往歴等のある患者
9.3肝機能障害患者
9.5妊婦
9.6授乳婦
9.7小児等
9.8高齢者
10.相互作用
10.1併用禁忌(併用しないこと)
10.2併用注意(併用に注意すること)
11.副作用
11.1重大な副作用
11.2その他の副作用
14.適用上の注意
15.その他の注意
15.1臨床使用に基づく情報
15.2非臨床試験に基づく情報
16.薬物動態
16.1血中濃度
16.3分布
16.4代謝
16.5排泄
16.7薬物相互作用
17.臨床成績
17.1有効性及び安全性に関する試験
18.薬効薬理
18.1作用機序
18.2薬理作用
19.有効成分に関する理化学的知見
21.承認条件
22.包装
23.主要文献
24.文献請求先及び問い合わせ先
26.製造販売業者等

ロナセンテープ20mg/ロナセンテープ30mg/ロナセンテープ40mg

添付文書番号

1179700S1021_1_12

企業コード

400093

作成又は改訂年月

**2026年3月改訂(第10版)
2024年10月改訂(第9版)

日本標準商品分類番号

871179

薬効分類名

抗精神病剤

承認等

ロナセンテープ20mg

販売名コード

YJコード

1179700S1021

販売名英語表記

LONASEN Tapes

承認番号等

承認番号

30100AMX00007

販売開始年月

2019年9月

貯法・有効期間

貯法

室温保存

有効期間

3年

ロナセンテープ30mg

販売名コード

YJコード

1179700S2028

販売名英語表記

LONASEN Tapes

承認番号等

承認番号

30100AMX00008

販売開始年月

2019年9月

貯法・有効期間

貯法

室温保存

有効期間

3年

ロナセンテープ40mg

販売名コード

YJコード

1179700S3024

販売名英語表記

LONASEN Tapes

承認番号等

承認番号

30100AMX00009

販売開始年月

2019年9月

貯法・有効期間

貯法

室温保存

有効期間

3年

一般的名称

ブロナンセリン

2. 禁忌(次の患者には投与しないこと)

  1. 2.1 昏睡状態の患者[昏睡状態が悪化するおそれがある。]
  2. 2.2 バルビツール酸誘導体等の中枢神経抑制剤の強い影響下にある患者[中枢神経抑制作用が増強される。]
  3. 2.3 アドレナリンを投与中の患者(アドレナリンをアナフィラキシーの救急治療、又は歯科領域における浸潤麻酔もしくは伝達麻酔に使用する場合を除く)
  4. 2.4 **イトラコナゾール、ボリコナゾール、ミコナゾール(経口剤、口腔用剤、注射剤)、フルコナゾール、ホスフルコナゾール、ポサコナゾール、リトナビルを含む製剤、ダルナビル、アタザナビル、ホスアンプレナビル、エンシトレルビル、コビシスタットを含む製剤、ロナファルニブ、セリチニブを投与中の患者
  5. 2.5 本剤の成分に対し過敏症の既往歴のある患者

3. 組成・性状

3.1 組成

ロナセンテープ20mg

有効成分1枚中ブロナンセリン   20mg
添加剤ミリスチン酸イソプロピル、ジブチルヒドロキシトルエン、その他4成分

ロナセンテープ30mg

有効成分1枚中ブロナンセリン   30mg
添加剤ミリスチン酸イソプロピル、ジブチルヒドロキシトルエン、その他4成分

ロナセンテープ40mg

有効成分1枚中ブロナンセリン   40mg
添加剤ミリスチン酸イソプロピル、ジブチルヒドロキシトルエン、その他4成分

3.2 製剤の性状

ロナセンテープ20mg

外形断面図
平面図(ライナー)
平面図(支持体)
色・剤形白色半透明~微黄色半透明のテープ剤で、膏体面は透明のライナーで覆われている。
大きさ62.4mm×62.4mm
面積38.6cm2

ロナセンテープ30mg

外形断面図
平面図(ライナー)
平面図(支持体)
色・剤形白色半透明~微黄色半透明のテープ剤で、膏体面は透明のライナーで覆われている。
大きさ76.3mm×76.3mm
面積57.9cm2

ロナセンテープ40mg

外形断面図
平面図(ライナー)
平面図(支持体)
色・剤形白色半透明~微黄色半透明のテープ剤で、膏体面は透明のライナーで覆われている。
大きさ90.6mm×85.6mm
面積77.2cm2

4. 効能又は効果

統合失調症

6. 用法及び用量

通常、成人にはブロナンセリンとして40mgを1日1回貼付するが、患者の状態に応じて最大80mgを1日1回貼付することもできる。
なお、患者の状態により適宜増減するが、1日量は80mgを超えないこと。
本剤は、胸部、腹部、背部のいずれかに貼付し、24時間ごとに貼り替える。

7. 用法及び用量に関連する注意

ブロナンセリン経口剤から本剤へ切り替える場合には、次の投与予定時刻に切り替え可能であるが、患者の状態を十分観察すること。切り替えに際しては、「臨床成績」の項を参考に用量を選択すること。
本剤からブロナンセリン経口剤へ切り替える場合には、ブロナンセリン経口剤の用法・用量に従って、1回4mg、1日2回食後経口投与より開始し、徐々に増量すること。
なお、ブロナンセリン経口剤と本剤を同時期に投与することにより過量投与にならないよう注意すること。

8. 重要な基本的注意

  1. 8.1 1日貼付量を遵守し、本剤の貼付量は必要最小限となるよう、患者ごとに慎重に観察しながら調節すること。
  2. 8.2 眠気、注意力・集中力・反射運動能力等の低下が起こることがあるので、本剤使用中の患者には自動車の運転等危険を伴う機械の操作に従事させないよう注意すること。
  3. 8.3 興奮、誇大性、敵意等の陽性症状を悪化させる可能性があるので観察を十分に行い、悪化がみられた場合には他の治療法に切り替えるなど適切な処置を行うこと。
  4. 8.4 本剤の使用により、高血糖や糖尿病の悪化があらわれ、糖尿病性ケトアシドーシス、糖尿病性昏睡に至ることがあるので、本剤の使用に際しては、あらかじめこれらの副作用が発現する場合があることを、患者及びその家族に十分に説明し、口渇、多飲、多尿、頻尿等の症状があらわれた場合には、直ちに使用を中断し、医師の診察を受けるよう、指導すること。特に糖尿病又はその既往歴あるいはその危険因子を有する患者については、血糖値の測定等の観察を十分に行うこと。,
  5. 8.5 本剤の使用により皮膚症状が発現した場合には、適切な処置を行うか、本剤を休薬又は本剤の使用を中止すること。
  6. 8.6 光線過敏症が発現するおそれがあるので、衣服で覆う等、貼付部位への直射日光を避けること。また、本剤を剥がした後1~2週間は、貼付していた部位への直射日光を避けること。

9. 特定の背景を有する患者に関する注意

9.1 合併症・既往歴等のある患者

  1. 9.1.1 心・血管系疾患、低血圧、又はそれらの疑いのある患者

    一過性の血圧降下があらわれることがある。

  2. 9.1.2 パーキンソン病又はレビー小体型認知症のある患者

    錐体外路症状が悪化するおそれがある。

  3. 9.1.3 てんかん等の痙攣性疾患、又はこれらの既往歴のある患者

    痙攣閾値を低下させるおそれがある。

  4. 9.1.4 自殺企図の既往及び自殺念慮を有する患者

    症状を悪化させるおそれがある。

  5. 9.1.5 糖尿病又はその既往歴のある患者、あるいは糖尿病の家族歴、高血糖、肥満等の糖尿病の危険因子を有する患者

    血糖値が上昇することがある。,

  6. 9.1.6 脱水・栄養不良状態等を伴う身体的疲弊のある患者

    悪性症候群が起こりやすい。

  7. 9.1.7 不動状態、長期臥床、肥満、脱水状態等の患者

    肺塞栓症、静脈血栓症等の血栓塞栓症が報告されている。

9.3 肝機能障害患者

血中濃度が上昇するおそれがある。

9.5 妊婦

妊婦又は妊娠している可能性のある女性には、治療上の有益性が危険性を上回ると判断される場合にのみ使用すること。妊娠後期に抗精神病薬が投与されている場合、新生児に哺乳障害、傾眠、呼吸障害、振戦、筋緊張低下、易刺激性等の離脱症状や錐体外路症状があらわれたとの報告がある。

9.6 授乳婦

治療上の有益性及び母乳栄養の有益性を考慮し、授乳の継続又は中止を検討すること。動物実験(ラット)で乳汁中への移行が報告されている。

9.7 小児等

小児等を対象とした臨床試験は実施していない。

9.8 高齢者

患者の状態を観察しながら慎重に使用すること。一般に生理機能が低下しており、錐体外路症状等の副作用があらわれやすい。

10. 相互作用

  • 本剤は、主として薬物代謝酵素CYP3A4で代謝される。,

10.1 併用禁忌(併用しないこと)

薬剤名等臨床症状・措置方法機序・危険因子

アドレナリン
(アナフィラキシーの救急治療、又は歯科領域における浸潤麻酔もしくは伝達麻酔に使用する場合を除く)
(ボスミン)

アドレナリンの作用を逆転させ、重篤な血圧降下を起こすことがある。

アドレナリンはアドレナリン作動性α、β-受容体の刺激剤であり、本剤のα-受容体遮断作用により、β-受容体刺激作用が優位となり、血圧降下作用が増強される。

CYP3A4を強く阻害する薬剤

  • イトラコナゾール(イトリゾール)
    ボリコナゾール(ブイフェンド)
    ミコナゾール(経口剤、口腔用剤、注射剤)(フロリード、オラビ)
    フルコナゾール(ジフルカン)
    ホスフルコナゾール(プロジフ)
  • ポサコナゾール(ノクサフィル)
    リトナビルを含む製剤(ノービア、カレトラ、パキロビッド)
    ダルナビル(プリジスタ)
    アタザナビル(レイアタッツ)
    ホスアンプレナビル(レクシヴァ)
  • エンシトレルビル(ゾコーバ)
  • コビシスタットを含む製剤(ゲンボイヤ、プレジコビックス、シムツーザ)
  • ロナファルニブ(ゾキンヴィ)
  • **セリチニブ(ジカディア)

,

本剤の血中濃度が上昇し、作用が増強するおそれがある。

本剤の主要代謝酵素であるCYP3A4を阻害するため、クリアランスが減少する可能性がある。

10.2 併用注意(併用に注意すること)

薬剤名等臨床症状・措置方法機序・危険因子

アドレナリン含有歯科麻酔剤

  • リドカイン・アドレナリン

重篤な血圧降下を起こすことがある。

アドレナリンはアドレナリン作動性α、β-受容体の刺激剤であり、本剤のα-受容体遮断作用により、β-受容体刺激作用が優位となり、血圧降下作用が増強されるおそれがある。

中枢神経抑制剤
アルコール

相互に作用を増強することがあるので、減量するなど慎重に使用すること。

本剤及びこれらの薬剤等の中枢神経抑制作用による。

ドパミン作動薬

  • レボドパ製剤
    ブロモクリプチン 等

相互に作用が減弱することがある。

本剤はドパミン受容体遮断作用を有していることから、ドパミン作動性神経において、作用が拮抗することによる。

降圧薬

降圧作用が増強することがある。

本剤及びこれらの薬剤の降圧作用による。

CYP3A4阻害作用を有する薬剤

  • エリスロマイシン
    クラリスロマイシン
    シクロスポリン
    ジルチアゼム 等

本剤の血中濃度が上昇し、作用が増強するおそれがあるので、観察を十分に行い、必要に応じて減量あるいは低用量から開始するなど慎重に使用すること。

本剤の主要代謝酵素であるCYP3A4を阻害するため、クリアランスが減少する可能性がある。

CYP3A4誘導作用を有する薬剤

  • フェニトイン
    カルバマゼピン
    バルビツール酸誘導体
    リファンピシン 等

本剤の血中濃度が低下し、作用が減弱するおそれがある。

本剤の主要代謝酵素であるCYP3A4を誘導するため、クリアランスが増加する可能性がある。

11. 副作用

次の副作用があらわれることがあるので、観察を十分に行い、異常が認められた場合には使用を中止するなど適切な処置を行うこと。

11.1 重大な副作用

  1. 11.1.1 悪性症候群(頻度不明)

    無動緘黙、強度の筋強剛、嚥下困難、頻脈、血圧の変動、発汗等が発現し、それに引き続き発熱がみられる場合は、使用を中止し、体冷却、水分補給等の全身管理とともに適切な処置を行うこと。本症発症時には、白血球の増加や血清CKの上昇がみられることが多く、また、ミオグロビン尿を伴う腎機能の低下がみられることがある。なお、高熱が持続し、意識障害、呼吸困難、循環虚脱、脱水症状、急性腎障害へと移行し、死亡することがある。

  2. 11.1.2 遅発性ジスキネジア(頻度不明)

    長期使用により、口周部等の不随意運動があらわれることがあるので、このような症状があらわれた場合は減量又は中止を考慮すること。なお、使用中止後も症状が持続することがある。

  3. 11.1.3 麻痺性イレウス(頻度不明)

    腸管麻痺(食欲不振、悪心・嘔吐、著しい便秘、腹部の膨満あるいは弛緩及び腸内容物のうっ滞等の症状)を来し、麻痺性イレウスに移行することがあるので、腸管麻痺があらわれた場合には、使用を中止するなど適切な処置を行うこと。

  4. 11.1.4 抗利尿ホルモン不適合分泌症候群(SIADH)(頻度不明)

    低ナトリウム血症、低浸透圧血症、尿中ナトリウム排泄量の増加、高張尿、痙攣、意識障害等を伴う抗利尿ホルモン不適合分泌症候群(SIADH)があらわれることがある。このような場合には使用を中止し、水分摂取の制限等適切な処置を行うこと。

  5. 11.1.5 横紋筋融解症(頻度不明)

    筋肉痛、脱力感、CK上昇、血中及び尿中ミオグロビン上昇等が認められた場合には使用を中止し、適切な処置を行うこと。また、横紋筋融解症による急性腎障害の発症に注意すること。

  6. 11.1.6 無顆粒球症、白血球減少(いずれも頻度不明)
  7. 11.1.7 肺塞栓症、深部静脈血栓症(いずれも頻度不明)

    肺塞栓症、静脈血栓症等の血栓塞栓症が報告されているので、観察を十分に行い、息切れ、胸痛、四肢の疼痛、浮腫等が認められた場合には、使用を中止するなど適切な処置を行うこと。

  8. 11.1.8 肝機能障害(頻度不明)

    AST、ALT、γ-GTP、ALP、ビリルビン等の上昇を伴う肝機能障害があらわれることがある。

  9. 11.1.9 高血糖(0.1%)、糖尿病性ケトアシドーシス、糖尿病性昏睡(いずれも頻度不明)

    高血糖や糖尿病の悪化があらわれ、糖尿病性ケトアシドーシス、糖尿病性昏睡に至ることがある。口渇、多飲、多尿、頻尿等の症状の発現に注意するとともに、血糖値の測定を行うなど十分な観察を行い、異常が認められた場合には、使用を中止し、インスリン製剤の投与等の適切な処置を行うこと。,

11.2 その他の副作用

5%以上

5%未満

頻度不明2)

過敏症

発疹、湿疹、そう痒

循環器

血圧上昇、血圧低下、心電図異常(QT間隔の延長、T波の変化等)、徐脈、動悸

起立性低血圧、頻脈、不整脈、心室性期外収縮、上室性期外収縮、心拍数増加、心拍数減少

錐体外路症状1)

パーキンソン症候群(振戦、筋強剛、流涎過多、寡動、運動緩慢、歩行障害、仮面様顔貌等)(13.6%)、アカシジア(静坐不能)(10.4%)

ジスキネジア(構語障害、嚥下障害、口周部・四肢等の不随意運動等)、ジストニア(痙攣性斜頚、顔面・喉頭・頚部の攣縮、眼球回転発作、後弓反張等)

肝臓

AST上昇、ALT上昇、γ-GTP上昇、ビリルビン上昇、肝機能異常、脂肪肝

LDH上昇、ALP上昇

眼の乾燥

調節障害、霧視、羞明

消化器

悪心、嘔吐、便秘、下痢、食欲不振、食欲亢進、上腹部痛、胃不快感、胃炎、胃腸炎、腹痛

腹部膨満感、口唇炎

内分泌

プロラクチン上昇

月経異常、乳汁分泌、射精障害、女性化乳房、勃起不全

泌尿器

排尿困難

尿閉、尿失禁、頻尿

精神神経系

統合失調症の悪化

不眠、睡眠障害、眠気、めまい・ふらつき、不安・焦燥感・易刺激性、頭重・頭痛、自殺企図、興奮、攻撃性、抑うつ、脱抑制、行動異常、妄想、悪夢、痙攣

過鎮静、幻覚・幻聴、被害妄想、多動、脳波異常、躁状態、意識障害、異常感、会話障害、多弁、緊張、しびれ感

血液

白血球増加、白血球減少

好中球増加、リンパ球減少、赤血球増加、貧血、赤血球減少、ヘモグロビン減少、ヘマトクリット減少、血小板増加、血小板減少、異型リンパ球出現

皮膚
(適用部位)

紅斑(11.7%)、そう痒感

皮膚炎、湿疹、発疹、丘疹、小水疱、変色、刺激感、乾燥、びらん、皮膚剥脱、じん麻疹

疼痛、不快感、熱感

その他

体重増加

倦怠感、脱力感、体重減少、CK上昇、トリグリセリド上昇、血中コレステロール上昇、血中カリウム減少、血中ナトリウム減少、血糖上昇、糖尿病、血糖低下、胸痛、口渇、尿中蛋白陽性、上気道感染、発熱、鼻出血、鼻咽頭炎、四肢痛

発汗、咳嗽、過換気、鼻漏、多飲、水中毒、顔面浮腫、浮腫、嚥下性肺炎、低体温、血中インスリン上昇、血中リン脂質増加、BUN上昇、BUN減少、血中総蛋白減少、血中カリウム上昇、尿中ウロビリン陽性、尿糖陽性、尿潜血陽性、脱毛

1) 症状があらわれた場合には必要に応じて減量又は抗パーキンソン薬の投与等、適切な処置を行うこと。
2) 頻度不明にはブロナンセリン経口剤のみで認められた副作用を含む。

14. 適用上の注意

14.1 薬剤交付時の注意

  1. 14.1.1 包装袋を開封せず交付すること。[本剤の品質は光の影響を受ける。]
  2. 14.1.2 貼り替えの際には先に貼付した製剤を除去したことを十分に確認するよう患者及びその家族に指導すること。[貼付している製剤を除去せずに新たな製剤を貼付した場合、本剤の血中濃度が上昇するおそれがある。]

14.2 貼付部位に関する注意

  1. 14.2.1 本剤の貼付による皮膚刺激を避けるため、貼付箇所を毎回変更すること。
  2. 14.2.2 創傷面又は湿疹・皮膚炎等がみられる部位は避けて貼付すること。
  3. 14.2.3 貼付部位の皮膚を拭い、清潔にしてから本剤を貼付すること。また、貼付部位の水分は十分に取り除くこと。

14.3 薬剤貼付時の注意

  1. 14.3.1 本剤を使用するまでは包装袋を開封せず、開封後は速やかに貼付すること。
  2. 14.3.2 本剤をハサミ等で切って使用しないこと。
  3. 14.3.3 本剤を使用する際には、ライナーを剥がして使用すること。
  4. 14.3.4 貼り替えの際には先に貼付した製剤を除去したことを十分に確認すること。

14.4 薬剤貼付期間中の注意

  1. 14.4.1 本剤が皮膚から一部剥離し粘着力が弱くなった場合は、サージカルテープ等で縁を押さえること。本剤が剥離した場合は、再貼付又は必要に応じて新しいものを貼付すること。
  2. 14.4.2 使用済みの製剤は接着面を内側にして貼り合わせた後、小児の手の届かないところに安全に廃棄すること。[貼付24時間後も製剤中に本剤の成分が残っている。]

15. その他の注意

15.1 臨床使用に基づく情報

  1. 15.1.1 本剤による治療中、原因不明の突然死が報告されている。
  2. 15.1.2 *外国で実施された高齢認知症患者を対象とした17の臨床試験において、類薬の非定型抗精神病薬投与群はプラセボ投与群と比較して死亡率が1.6~1.7倍高かったとの報告がある。なお、本剤との関連性については検討されておらず、明確ではない。また、外国での疫学調査において、定型抗精神病薬も非定型抗精神病薬と同様に死亡率の上昇に関与するとの報告がある。

15.2 非臨床試験に基づく情報

  1. 15.2.1 動物実験(イヌ)で制吐作用が認められたため、他の薬剤に基づく中毒、腸閉塞、脳腫瘍等による嘔吐症状を不顕性化する可能性がある。
  2. 15.2.2 げっ歯類(マウス、ラット)に104週間経口投与したがん原性試験において、マウス(1mg/kg/日以上)で乳腺腫瘍、下垂体腫瘍、ラット(1mg/kg/日)で乳腺腫瘍の発生頻度の上昇が認められた。これらの所見は、プロラクチンに関連した変化として、げっ歯類ではよく知られている。
  3. 15.2.3 動物実験(モルモット)で皮膚光感作性が認められている。

16. 薬物動態

16.1 血中濃度

  1. 16.1.1 単回貼付(健康成人)

    健康成人12例に本剤40mgを上背部に24時間単回貼付したとき、血漿中ブロナンセリン濃度は貼付約25時間後に最高濃度(Cmax)に達し、以後緩やかに減少した1)

    Cmax
    (ng/mL)

    AUC0-last
    (ng·h/mL)

    tmax3)(h)

    t1/2
    (h)

    0.42±0.09

    13.16±2.77

    25.3 (22.0-27.0)

    41.9±17.0

    平均値±標準偏差、

    3) 中央値 (最小値‐最大値)

  2. 16.1.2 反復貼付(健康成人)

    健康成人9例に本剤40mgに相当する用量を1日1回10日間背部に反復貼付したとき、平均血漿中ブロナンセリン濃度は、7日間でほぼ定常状態に達したと考えられた。定常状態でのブロナンセリン濃度の日内変動は小さく、最終(10回)貼付時のブロナンセリン濃度の最大値(Cmax)と最小値(Cmin)の比は平均1.25であった2)

    Cmax
    (ng/mL)

    Cmin
    (ng/mL)

    AUC0-24
    (ng·h/mL)

    tmax4)(h)

    t1/2
    (h)

    初回貼付時

    0.41±0.25

    0.31±0.18

    9.82±5.37

    24.0 (18-24)

    最終貼付時

    0.96±0.41

    0.78±0.36

    21.05±9.40

    24.0 (18-28)

    46.4±11.3

    平均値±標準偏差、

    4) 中央値 (最小値‐最大値)

  3. 16.1.3 反復貼付(統合失調症患者)

    統合失調症患者に本剤40mg又は80mgを胸部、腹部、背部のいずれかに1日1回反復貼付したときの平均血漿中ブロナンセリン濃度は、用量に比例して増加した。また、貼付1及び2週後の濃度は、いずれの用量でも貼付6週後の濃度の60%及び80%程度だったことから、本剤を統合失調症患者に反復貼付した時の血漿中ブロナンセリン濃度は、貼付後2週間程度でほぼ定常状態に達すると考えられた3)

    貼付群

    本剤40mg

    本剤80mg

    時期

    例数

    濃度
    (ng/mL)

    例数

    濃度
    (ng/mL)

    1週後

    187

    0.67±0.38

    192

    1.32±0.76

    2週後

    175

    0.88±0.52

    184

    1.83±0.98

    6週後

    162

    1.16±0.81

    169

    2.23±1.31

    平均値±標準偏差

16.3 分布

  1. 16.3.1 血清蛋白結合率

    99.7%以上(in vitro、ヒト血清、10ng/mL~2μg/mL、平衡透析法)4),5),6)

16.4 代謝

  1. 16.4.1 主な代謝産物

    7,8位の各水酸化体及びこれらのグルクロン酸抱合体
    N-脱エチル体7)

  2. 16.4.2 代謝経路

    ブロナンセリンは、ピペラジン環のN-脱エチル化及びN-オキシド化、シクロオクタン環の酸化、これに続く抱合反応あるいはピペラジン環の開環など広範に代謝される8)

  3. 16.4.3 代謝酵素

    ブロナンセリンは、主としてCYP3A4で代謝されると考えられる8)(in vitro)。

16.5 排泄

  1. 16.5.1 排泄経路

    尿中及び糞便中

  2. 16.5.2 排泄率

    健康成人6例に14C-ブロナンセリン4mgを朝食2時間後単回経口投与したとき、尿中及び糞便中には、それぞれ投与放射能量の約59%及び約30%が排泄された。尿中に未変化体は認められず、主代謝物として数種類のグルクロン酸抱合体が存在した。また、糞便中には未変化体が少量(糞便中放射能量の5%未満)認められた7),9)(外国人データ)。

16.7 薬物相互作用

本剤を貼付したとき、ブロナンセリンは初回通過効果を受けないため、ブロナンセリン経口剤を投与したときに比べ、CYP3A4阻害剤・誘導剤併用時の薬物動態への影響は小さいと考えられる。

  1. 16.7.1 ブロナンセリン経口剤にエリスロマイシン併用時の薬物動態
    (健康成人12例にブロナンセリン2mg5)を朝食後経口投与)10)

    Tmax
    (h)a)

    Cmax
    (ng/mL)b)

    t1/2
    (h)b)

    AUClast
    (ng・h/mL)b)

    単独投与時

    2(1-3)

    0.26±0.11

    14.9±8.5

    1.94±1.03

    併用投与時c)

    3(2-3)

    0.63±0.24

    27.0±11.0

    4.93±1.65

    a)中央値(最小値-最大値)、b)平均値±標準偏差
    c)ブロナンセリン投与7日前より投与前日までエリスロマイシン1,200mg/日(分4)を反復経口投与し、ブロナンセリン投与時はエリスロマイシン300mgを併用

  2. 16.7.2 ブロナンセリン経口剤にケトコナゾール併用時の薬物動態
    (健康成人12例にブロナンセリン2.5mg5)を朝食後経口投与(外国人データ))11)

    Tmax
    (h)a)

    Cmax
    (ng/mL)b)

    t1/2
    (h)b)

    AUClast
    (ng・h/mL)b)

    単独投与時

    3(1-5)

    0.32±0.13

    20.9±9.0

    2.60±1.39

    併用投与時c)

    4.3(2-5)

    4.22±2.05

    18.2±5.5

    45.17±22.82

    a)中央値(最小値-最大値)、b)平均値±標準偏差
    c)ブロナンセリン投与7日前より投与当日までケトコナゾール400mg/日反復経口投与

    5) ブロナンセリン経口剤の承認された1回用量は4mgから、1日用量は通常8~16mg、最大24mgである。

17. 臨床成績

17.1 有効性及び安全性に関する試験

  1. 17.1.1 国際共同第3相試験

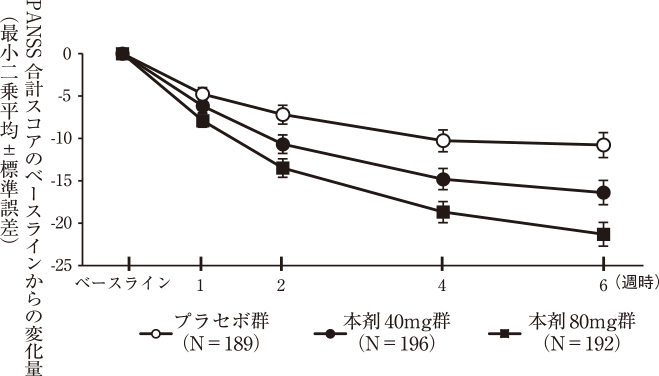
    急性期の統合失調症患者を対象にプラセボ対照の二重盲検治療期(6週間)と非盲検治療期[52週間(日本)、28週間(日本以外)]から構成される国際共同第3相試験を実施した。

    二重盲検治療期で、580例(日本人患者164例を含む)に本剤40mg、80mg又はプラセボを1日1回6週間貼付した。modified Intention-to-treat(以下、mITT)集団のベースラインからの6週時のPositive and Negative Syndrome Scale(以下、PANSS)合計スコア変化量は次のとおりであった。本剤40mg群及び80mg群共に、PANSS合計スコアはベースラインから減少し、その変化量はプラセボ群と比較して有意に大きかった。

    貼付群

    例数a)

    PANSS合計スコア

    ベースライン
    (平均値±
    標準偏差)

    変化量(最小二乗平均±標準誤差)b)

    6週時におけるベースラインからの変化量

    プラセボ群との比較

    群間差
    [95%信頼区間]

    調整p値c)

    プラセボ

    189

    99.5 ±13.84

    -10.8 ±1.47

    本剤40mg

    196

    101.6 ±15.55

    -16.4 ±1.43

    -5.6 ±2.04
    [-9.6, -1.6]

    0.007

    本剤80mg

    192

    101.5 ±14.76

    -21.3 ±1.41

    -10.4 ±2.03
    [-14.4, -6.4]

    < 0.001

    a) mITT集団
    b) Mixed Model for Repeated Measuresによる解析
    c) Hochbergの方法を用いて多重性を調整

    非盲検治療期は二重盲検治療期を完了した患者を対象に継続して実施し、431例(日本人患者102例を含む)に本剤を1日1回、40mg、60mg又は80mgの漸増漸減法で貼付した。28週時までのPANSS合計スコアの推移は下表のとおりであった。

    評価
    時期

    二重盲検治療期
    プラセボ群

    二重盲検治療期
    40mg群

    二重盲検治療期
    80mg群


    PANSS
    合計
    スコア

    ベースラインからの変化量


    PANSS
    合計
    スコア

    ベースラインからの変化量


    PANSS
    合計
    スコア

    ベースラインからの変化量

    開始時

    131

    84.6±
    19.98

    -

    143

    80.1±
    19.23

    -

    157

    78.1±
    20.28

    -

    12週時

    104

    68.7±
    20.38

    -15.3±
    18.58

    109

    65.9±
    17.83

    -11.8±
    13.55

    126

    67.5±
    19.03

    -10.3±
    12.88

    28週時

    83

    62.1±
    21.04

    -23.1±
    20.73

    91

    59.3±
    17.81

    -18.5±
    16.09

    114

    60.8±
    20.06

    -17.0±
    14.10

    平均値±標準偏差

    安全性解析対象例521例中(日本人患者139例を含む)、副作用(臨床検査値異常を含む)が310例(日本人患者94例を含む)(59.5%)に認められた。主な副作用はパーキンソン症候群(14.0%)、アカシジア(10.9%)、適用部位紅斑(7.7%)等であった3)

  2. 17.1.2 国内第3相長期投与試験

    国内の統合失調症患者を対象に、本剤への直接切り替えによる非盲検52週間長期投与試験を実施した(1日1回、40mg、60mg又は80mgの漸増漸減法)。ロナセン錠単剤6週間投与を経て本剤貼付を開始したコホート、及びすぐに本剤貼付を開始したコホートのPANSS合計スコアは下表のとおりであった。

    評価時期

    ロナセン錠単剤6週間投与後に
    本剤を52週間貼付したコホート

    すぐに本剤を52週間貼付した
    コホート

    例数

    PANSS
    合計スコア

    ベースラインからの変化量

    例数

    PANSS
    合計スコア

    ベースラインからの変化量

    ロナセン錠投与前ベースライン

    108

    65.7 ±22.19

    ベースライン

    97a)

    63.6 ±21.23 a)

    103

    67.5 ±21.34

    6週時

    80

    62.9 ±20.63

    -0.6 ±5.41

    95

    63.3 ±19.92

    -3.3 ±7.18

    12週時

    75

    61.1 ±20.79

    -1.9 ±5.92

    88

    61.7 ±20.87

    -4.9 ±10.42

    28週時

    67

    60.3 ±22.20

    -1.2 ±10.29

    69

    59.7 ±20.70

    -7.9 ±12.52

    52週時

    57

    56.0 ±19.00

    -3.5 ±8.41

    60

    57.0 ±21.58

    -9.2 ±15.08

    最終評価時(LOCF)b)

    97

    63.5 ±22.98

    -0.1 ±11.59

    103

    64.1 ±23.79

    -3.4 ±15.30

    平均値±標準偏差
    a) ロナセン錠投与6週時
    b) Last Observation Carried Forwardによる解析

    治療継続率(95%信頼区間)は、ロナセン錠単剤6週間投与後に本剤を52週間貼付したコホートの28週で64.9%(54.6~73.5)、52週で58.8%(48.3~67.8)、すぐに本剤を52週間貼付したコホートの28週で66.0%(56.0~74.3)、52週で57.3%(47.2~66.2)であった。

    安全性解析対象例200例中、副作用(臨床検査値異常を含む)が137例(68.5%)に認められた。主な副作用は適用部位紅斑(22.0%)、プロラクチン上昇(14.0%)、パーキンソン症候群(12.5%)、適用部位そう痒感(10.0%)、アカシジア(9.0%)、不眠(8.0%)等であった。

    なお、ロナセン錠単剤6週間投与後に本剤貼付を開始したコホートでは、下表に示す用量でロナセン錠から本剤へ切り替えた12)

    ロナセン錠最終投与量

    本剤開始貼付量

    8 mg/日

    40 mg/日

    12 mg/日

    60 mg/日

    16 mg/日

    80 mg/日

18. 薬効薬理

18.1 作用機序

In vitro受容体結合試験において、ブロナンセリンはドパミンD2受容体サブファミリー(D2、D3)及びセロトニン5-HT2A受容体に対して親和性を示し、完全拮抗薬として作用した。また、ブロナンセリンはアドレナリンα1、ヒスタミンH1、ムスカリンM1及びM3等の受容体に対して主作用であるドパミンD2受容体サブファミリー(D2、D3)及びセロトニン5-HT2A受容体への親和性に比べて低い親和性を示した13),14),15)

18.2 薬理作用

動物実験において、次の薬理作用が認められている。

作用の種類
(動物種、投与経路)

EDあるいはED50(mg/kg)

備考

ブロナンセリン

ハロペリドール

条件回避反応抑制作用
単回投与(ラット、経口)13)
反復投与(ラット、経口)13)

ED50:0.55
耐性なし

ED50:0.62
耐性なし

抗精神病効果と相関

側坐核内ドパミン投与による運動過多の抑制作用(ラット、経口)16)

ED:0.3~3

ED:1、3

ドパミン仮説に基づく統合失調症の病態モデルへの作用

メタンフェタミン誘発前頭前皮質自発発火障害の改善作用(ラット、静脈内)16)

ED:1

ドパミン仮説に基づく統合失調症の病態モデルへの作用

メタンフェタミン誘発運動過多抑制作用(ラット、経口)17)

ED50:0.446

ED50:0.287

陽性症状改善作用の指標

フェンシクリジン誘発無動改善作用(マウス、経口)13)

ED:0.3、1

陰性症状改善作用の指標

アポモルヒネ誘発プレパルス抑制障害改善作用(ラット、経口)13)

ED:0.3~3

ED:1、3

認知障害改善作用の指標

カタレプシー惹起作用(ラット、経口)13)

ED50:16.4

ED50:5.63

急性期錐体外路系副作用の指標

SKF38393 誘発異常口唇運動増強作用(ラット、経口)13)

10mg/kg/day
で作用なし

ED:3

慢性期錐体外路系副作用の指標

ED:作用用量、ED50:50%作用用量

19. 有効成分に関する理化学的知見

一般的名称

ブロナンセリン(Blonanserin)

化学名

2-(4-Ethyl-1-piperazinyl)-4-(4-fluorophenyl)-5,6,7,8,9,10-hexahydrocycloocta[b]pyridine

分子式

C23H30FN3

分子量

367.50

性状

白色の結晶又は結晶性の粉末。酢酸(100)に溶けやすく、メタノール又はエタノール(99.5)にやや溶けにくく、水にほとんど溶けない。

化学構造式

融点

123~126℃

21. 承認条件

医薬品リスク管理計画を策定の上、適切に実施すること。

22. 包装

  • 〈ロナセンテープ20mg〉

    70枚[1枚(袋)×70]

  • 〈ロナセンテープ30mg〉

    70枚[1枚(袋)×70]

  • 〈ロナセンテープ40mg〉

    70枚[1枚(袋)×70]

23. 主要文献

1) 社内資料:健康成人における単回貼付試験(2019年6月18日承認、CTD2.7.6.2)

2) 社内資料:健康成人における反復貼付試験(2019年6月18日承認、CTD2.7.6.3)

3) 社内資料:国際共同第3相試験(2019年6月18日承認、CTD2.7.6.9)

4) 社内資料:ヒト血清たん白結合の検討1(ヒト血清、ヒト血清アルブミンおよびα1-酸性糖蛋白を用いた検討)(ロナセン錠/散、2008年1月25日承認、CTD2.7.2.2)

5) 社内資料:ヒト血清たん白結合の検討2(ブロナンセリンおよび代謝物を用いた検討)(ロナセン錠/散、2008年1月25日承認、CTD2.7.2.2)

6) 社内資料:ヒト血清たん白結合の検討3(各種共存薬物との相互作用の検討)(ロナセン錠/散、2008年1月25日承認、CTD2.7.2.2)

7) 社内資料:ヒトの血漿、尿および糞中の代謝物検索(ロナセン錠/散、2008年1月25日承認、CTD2.7.2.2)

8) 社内資料:ヒト代謝CYPの同定(ロナセン錠/散、2008年1月25日承認、CTD2.7.2.2)

9) 社内資料:14C標識体を用いたマスバランス試験(ロナセン錠/散、2008年1月25日承認、CTD2.7.2.2)

10) 松本和也ほか:臨床精神薬理. 2008; 11:891-899

11) 社内資料:ケトコナゾールとの薬物相互作用試験(ロナセン錠/散、2008年1月25日承認、CTD2.7.2.2)

12) 社内資料:国内第3相長期投与試験(2019年6月18日承認、CTD2.7.6.10)

13) 釆輝昭ほか:臨床精神薬理. 2007; 10:1263-1272

14) 社内資料:ドパミンD2、D3及びセロトニン5-HT2A受容体に対する作動作用及び拮抗作用(2019年6月18日承認、CTD2.6.2.2)

15) 社内資料:ムスカリンM3受容体への結合親和性(2019年6月18日承認、CTD2.6.2.2)

16) Noda Y., et al.:J. Pharmacol. Exp. Ther. 1993; 265:745-751

17) 社内資料:メタンフェタミン誘発運動過多に対する抑制作用(ロナセン錠/散、2008年1月25日承認、CTD2.6.2.2)

24. 文献請求先及び問い合わせ先

住友ファーマ株式会社

〒541-0045 大阪市中央区道修町2-6-8

くすり情報センター
TEL 0120-034-389

26. 製造販売業者等

26.1 製造販売元

住友ファーマ株式会社

大阪市中央区道修町2-6-8

〒100-0013 東京都千代田区霞が関3-3-2 新霞が関ビル

画面を閉じる

Copyright © Pharmaceuticals and Medical Devices Agency, All Rights reserved.