医療用医薬品 詳細表示

フルスタン錠0.15/フルスタン錠0.3

処方せん医薬品以外の医薬品

添付文書番号
企業コード
作成又は改訂年月
日本標準商品分類番号
薬効分類名
承認等
一般的名称
2.禁忌(次の患者には投与しないこと)
3.組成・性状
3.1組成
3.2製剤の性状
4.効能又は効果
6.用法及び用量
8.重要な基本的注意
9.特定の背景を有する患者に関する注意
9.1合併症・既往歴等のある患者
9.2腎機能障害患者
9.5妊婦
9.6授乳婦
9.7小児等
9.8高齢者
10.相互作用
10.2併用注意(併用に注意すること)
11.副作用
11.1重大な副作用
11.2その他の副作用
14.適用上の注意
15.その他の注意
15.2非臨床試験に基づく情報
16.薬物動態
16.1血中濃度
16.2吸収
16.3分布
16.4代謝
16.5排泄
16.6特定の背景を有する患者
17.臨床成績
17.1有効性及び安全性に関する試験
18.薬効薬理
18.1作用機序
18.2カルシウム代謝調節作用
18.3慢性腎不全における二次性副甲状腺機能亢進症に対する作用
18.4副甲状腺機能低下症に対する作用
18.5抗クル病作用
19.有効成分に関する理化学的知見
20.取扱い上の注意
22.包装
23.主要文献
24.文献請求先及び問い合わせ先
26.製造販売業者等

フルスタン錠0.15/フルスタン錠0.3

添付文書番号

3112005F1029_2_11

企業コード

400093

作成又は改訂年月

2022年11月改訂(第1版)

日本標準商品分類番号

873112

薬効分類名

活性型ビタミンD3製剤

承認等

フルスタン錠0.15

販売名コード

YJコード

3112005F1029

販売名英語表記

FULSTAN Tablets

承認番号等

承認番号

21300AMZ00392

販売開始年月

2001年8月

貯法・有効期間

貯法

室温保存

有効期間

3年

規制区分

劇薬

フルスタン錠0.3

販売名コード

YJコード

3112005F2025

販売名英語表記

FULSTAN Tablets

承認番号等

承認番号

21300AMZ00391

販売開始年月

2001年8月

貯法・有効期間

貯法

室温保存

有効期間

3年

規制区分

劇薬

一般的名称

ファレカルシトリオール

2. 禁忌(次の患者には投与しないこと)

本剤の成分に対し過敏症の既往歴のある患者

3. 組成・性状

3.1 組成

フルスタン錠0.15

有効成分1錠中ファレカルシトリオール   0.15μg
添加剤D-マンニトール、低置換度ヒドロキシプロピルセルロース、ポビドン、ジブチルヒドロキシトルエン、ステアリン酸マグネシウム

フルスタン錠0.3

有効成分1錠中ファレカルシトリオール   0.3μg
添加剤D-マンニトール、低置換度ヒドロキシプロピルセルロース、ポビドン、ジブチルヒドロキシトルエン、ステアリン酸マグネシウム

3.2 製剤の性状

フルスタン錠0.15

外形
大きさ直径約7mm
厚さ約3.5mm
質量約140mg
識別コード 212
色・剤形白色の素錠

フルスタン錠0.3

外形
大きさ直径約7mm
厚さ約3.5mm
質量約140mg
識別コード 213
色・剤形白色の割線入りの素錠

4. 効能又は効果

  • 維持透析下の二次性副甲状腺機能亢進症
  • 副甲状腺機能低下症(腎不全におけるものを除く)における低カルシウム血症とそれに伴う諸症状(テタニー、けいれん、しびれ感、知覚異常等)の改善
  • クル病・骨軟化症(腎不全におけるものを除く)に伴う諸症状(骨病変、骨痛、筋力低下)の改善

6. 用法及び用量

  • 〈維持透析下の二次性副甲状腺機能亢進症〉

    通常、成人には1日1回ファレカルシトリオールとして0.3μgを経口投与する。
    ただし、年齢、症状により適宜減量する。

  • 〈副甲状腺機能低下症、クル病・骨軟化症〉

    通常、成人には1日1回ファレカルシトリオールとして0.3~0.9μgを経口投与する。
    ただし、年齢、症状、病型により適宜増減する。

8. 重要な基本的注意

  • 〈効能共通〉
    1. 8.1 本剤投与中にあらわれる副作用は高カルシウム血症及びそれに基づくと考えられる症状が多いので、過量投与を防ぐため、本剤投与中は、血清カルシウム値を定期的(投与初期及び増量時には少なくとも2週に1回)に測定すること。血清カルシウム値に関しては、疾患、施設の基準値等に応じた適正範囲を維持するよう、患者ごとに投与量を調節すること。
      低アルブミン血症(血清アルブミン値が4.0g/dL未満)の場合には補正値を指標に用いることが望ましい。
      補正カルシウム値算出方法:
       補正カルシウム値(mg/dL)
       =血清カルシウム値(mg/dL)-血清アルブミン値(g/dL)+4.0
      ,,
    2. 8.2 血清カルシウム値と血清リン値の積が高値の場合、異所性石灰化の増悪をきたすと報告1),2),3)されているので、血清カルシウム値及び血清リン値を定期的に測定し、血清カルシウム値と血清リン値の積が異常高値を認めた場合には、投与量を調節することが望ましい。,,,
  • 〈維持透析下の二次性副甲状腺機能亢進症〉
    1. 8.3 血清PTH値、血清ALP値の抑制が過大に発現した場合は減量するなど、投与量を調節すること。
  • 〈副甲状腺機能低下症、クル病・骨軟化症〉
    1. 8.4 尿中カルシウム値、尿中クレアチニン値を定期的に測定し、尿中カルシウム/クレアチニン比が正常域を超えないよう投与量を調節すること。

9. 特定の背景を有する患者に関する注意

9.1 合併症・既往歴等のある患者

  1. 9.1.1 高リン血症のある患者

    リン酸結合剤を併用し、血清リン値を下げること。

9.2 腎機能障害患者

  1. 9.2.1 透析中の患者

    マグネシウム含有製剤を併用する場合には注意すること。腎からのマグネシウム排泄が低下している。

9.5 妊婦

妊婦又は妊娠している可能性のある女性には、治療上の有益性が危険性を上回ると判断される場合にのみ投与すること。動物実験で胎盤移行(ラット)、胎児化骨遅延(ウサギ)等が認められている。

9.6 授乳婦

治療上の有益性及び母乳栄養の有益性を考慮し、授乳の継続又は中止を検討すること。動物実験(ラット)で未変化体及び代謝物の乳汁移行が認められている。

9.7 小児等

  1. 9.7.1 低出生体重児、新生児、乳児及び幼児を対象とした臨床試験は実施していない。
  2. 9.7.2 小児に投与する場合には、血清カルシウム値等の観察を十分に行い、少量から投与を開始し、漸増投与するなど、過量投与にならないよう慎重に投与すること。

9.8 高齢者

低用量から開始するなど、患者の状態を観察しながら慎重に投与すること。承認時までの臨床試験において、高齢者に高カルシウム血症等の副作用の発現率が高い傾向が認められている。

10. 相互作用

    10.2 併用注意(併用に注意すること)

    薬剤名等臨床症状・措置方法機序・危険因子

    カルシウム製剤

    • 乳酸カルシウム
      炭酸カルシウム 等

    ,,

    高カルシウム血症があらわれるおそれがある。

    本剤は腸管でのカルシウムの吸収を促進させる。

    ビタミンD及びその誘導体

    • アルファカルシドール
      カルシトリオール 等

    ,,

    高カルシウム血症があらわれるおそれがある。

    相加作用

    PTH製剤

    • テリパラチド

    ,,

    高カルシウム血症があらわれるおそれがある。

    相加作用

    マグネシウム含有製剤

    • 酸化マグネシウム
      炭酸マグネシウム 等

    高マグネシウム血症があらわれるおそれがある。

    腸管でのマグネシウムの吸収を促進させる。

    ジギタリス製剤

    • ジゴキシン等

    ,,

    高カルシウム血症に伴う不整脈があらわれるおそれがある。

    高カルシウム血症が発症した場合、ジギタリス製剤の作用が増強される。

    11. 副作用

    次の副作用があらわれることがあるので、観察を十分に行い、異常が認められた場合には投与を中止するなど適切な処置を行うこと。

    11.1 重大な副作用

    1. 11.1.1 高カルシウム血症(5.1%)

      本剤は血清カルシウム上昇作用を有するため、高カルシウム血症に基づくと思われる臨床症状(そう痒感、いらいら感等)の発現に注意すること。高カルシウム血症を起こした場合には、直ちに休薬すること。投与を再開する場合は、血清カルシウム値が適正範囲に回復したことを確認した後に、減量して再投与すること。,,

    2. 11.1.2 腎結石(0.2%)、尿管結石(0.2%)
    3. 11.1.3 肝機能障害(0.2%)、黄疸(頻度不明)

      AST、ALT、γ-GTPの上昇等を伴う肝機能障害、黄疸があらわれることがある。

    11.2 その他の副作用

    1~5%未満

    1%未満

    精神神経系

    頭痛、眠気、いらいら感、パーキンソニズム

    消化器

    下痢、下血、嘔気、嘔吐、胃部不快感、食欲不振、口渇感

    循環器

    胸部違和感、徐脈

    血液

    好酸球増加

    白血球数増多、単球増加、桿状核球増加、好中球増加、好中球減少、リンパ球減少

    代謝異常

    高リン血症、尿酸上昇、総コレステロール上昇、トリグリセリド上昇、総蛋白低下、アルブミン低下

    皮膚

    そう痒感

    蕁麻疹、皮疹

    肝臓

    ALT上昇、γ-GTP上昇、LDH上昇

    AST上昇

    腎臓

    尿pH上昇、尿沈渣異常

    BUN上昇、尿蛋白異常、尿潜血

    関節周囲又は皮下の石灰化、骨痛、関節痛

    その他

    肩こり、女性化乳房、顔面紅潮

    14. 適用上の注意

    14.1 薬剤交付時の注意

    PTP包装の薬剤はPTPシートから取り出して服用するよう指導すること。PTPシートの誤飲により、硬い鋭角部が食道粘膜へ刺入し、更には穿孔をおこして縦隔洞炎等の重篤な合併症を併発することがある。

    15. その他の注意

    15.2 非臨床試験に基づく情報

    1. 15.2.1 ラットの生殖試験において黄体数の減少が見られた。
    2. 15.2.2 ラット(F344系)に5~20ng/kgを104週間経口投与したがん原性試験において、雌の高用量(20ng/kg)で良性の副腎髄質褐色細胞腫が6/55例に見られた(対照群:2/55例)。

    16. 薬物動態

    16.1 血中濃度

    1. 16.1.1 単回投与

      健康成人6例に0.3μgを単回経口投与した時、血清中濃度は投与後4時間にCmax 4.98pg/mLに達した後、半減期52.7時間で消失する4)

      健康成人に単回経口投与した時のパラメーター

      Cmax
      (pg/mL)

      Tmax
      (hr)

      t1/2
      (hr)

      AUC0~∞
      (pg・hr/mL)

      4.98±1.09

      4.0±1.8

      52.7

      248.5±32.0

      平均値±標準偏差

    2. 16.1.2 反復投与

      健康成人6例に1日1回0.3μgを14日間反復経口投与した時、最終投与日のCmaxの平均値は単回投与時の2.3倍に上昇し、11日で定常状態に達する4)

      健康成人に反復経口投与した時のパラメーター

      Cmax
      (pg/mL)

      Tmax
      (hr)

      t1/2
      (hr)

      AUC0~24
      (pg・hr/mL)

      11.67±1.44

      5.7±2.0

      62.2

      235.8±28.0

      平均値±標準偏差

    16.2 吸収

    1. 16.2.1 食事の影響

      血清中濃度には食事の影響は認められない。

    16.3 分布

    3H]ファレカルシトリオールを1、10ng/mLの濃度でヒト血清に添加した時、蛋白結合率は98.6%、99.8%であった5)in vitro)。

    16.4 代謝

    ラット、イヌ及びマウスに経口投与した時、いずれの動物種においても血清中には主に未変化体として存在する。
    標的組織である副甲状腺、小腸、腎臓及び骨には未変化体と薬理活性を有する23位水酸化体が存在し、持続的な推移を示す。
    ラット及びイヌに経口投与した時、本剤は側鎖の酸化及びグルクロン酸抱合などにより代謝される6),7),8),9)

    16.5 排泄

    ラット、イヌ及びマウスに経口投与した時、本剤は主として胆汁を介して糞中から排泄される6),8),9)

    16.6 特定の背景を有する患者

    1. 16.6.1 腎機能障害患者

      慢性腎不全のため血液透析を受けている患者に1日1回0.3μgを15日間反復経口投与した時、最終投与日のCmaxの平均値は単回投与時の3.3倍に上昇し、10日で定常状態に達する。透析による除去は認められない10)

      血液透析患者に単回及び反復経口投与した時のパラメーター

      Cmax
      (pg/mL)

      Tmax
      (hr)

      t1/2
      (hr)

      AUC
      (pg・hr/mL)

      単回(n=5)

      3.84±0.90

      5.2±1.8

      61.1

      237.1±40.3

      反復(n=5)

      12.70±2.37

      6.0±2.3

      87.5

      236.6±40.8

      平均値±標準偏差
      AUC:単回投与時 AUC0~∞
      反復投与時 AUC0~24

    17. 臨床成績

    17.1 有効性及び安全性に関する試験

    1. 17.1.1 国内臨床試験

      国内204施設において実施された二重盲検比較試験を含む臨床試験の評価対象総計481例における有効性は次のとおりである。

      疾患名

      有効率(%)(有効以上)

      維持透析下の二次性副甲状腺機能亢進症11),12),13),14),15)

      51.4%(167/325)

      副甲状腺機能低下症16),17),18)

      90.9%(90/99)

      クル病・骨軟化症19),20)

      71.9%(41/57)

    18. 薬効薬理

    18.1 作用機序

    本剤は、活性型ビタミンD3の誘導体であり、小腸、副甲状腺及び骨等の標的組織に分布する受容体への結合により作用を発揮する。

    18.2 カルシウム代謝調節作用

    1. 18.2.1 ビタミンD欠乏ラットにおいて、ファレカルシトリオールの静脈内投与によって、小腸カルシウム吸収及び骨吸収(骨カルシウム動員)の促進作用が認められた21)
    2. 18.2.2 ファレカルシトリオールはマウス頭頂骨器官培養系において、骨吸収促進作用を示した22)in vitro)。

    18.3 慢性腎不全における二次性副甲状腺機能亢進症に対する作用

    腎不全病態モデルである5/6腎摘除ラットにおいて、ファレカルシトリオールの経口投与によって、血中副甲状腺ホルモン(PTH)の上昇及び副甲状腺におけるPTHのメッセンジャーRNA発現の亢進が抑制された。また、類骨の増加、線維性骨炎及び石灰化異常等の骨病変の改善が認められた23)

    18.4 副甲状腺機能低下症に対する作用

    副甲状腺機能低下症の病態モデルである副甲状腺摘出ラットにおいて、ファレカルシトリオールの経口投与によって、低下した血中カルシウム濃度の上昇が認められた21)

    18.5 抗クル病作用

    1. 18.5.1 ファレカルシトリオールの経口投与によって、ビタミンD欠乏性クル病ラットの骨灰分減少が改善され、またその発症が抑制された24)
    2. 18.5.2 家族性低リン血症性ビタミンD抵抗性クル病のモデルと考えられるHypophosphatemicマウスにおいて、ファレカルシトリオールの皮下投与によって、低下したリン濃度の上昇が認められた24)

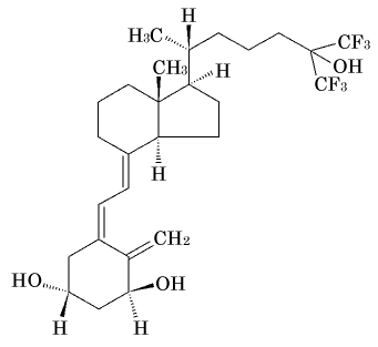
    19. 有効成分に関する理化学的知見

    一般的名称

    ファレカルシトリオール(JAN)(falecalcitriol)(JAN、INN)

    化学名

    (+)-(5Z,7E)-26,26,26,27,27,27-hexafluoro-9,10-secocholesta-5,7,10(19)-triene-1α,3β,25-triol

    分子式

    C27H38F6O3

    分子量

    524.58

    性状

    本品は白色の結晶又は結晶性の粉末で、テトラヒドロフランに極めて溶けやすく、アセトニトリル又はエタノール(99.5)に溶けやすく、水にほとんど溶けない。
    熱又は光によって変化する。

    化学構造式

    融点

    約143℃

    20. 取扱い上の注意

    アルミピロー包装開封後は、湿気を避けて遮光して保存すること。

    22. 包装

    • 〈フルスタン錠0.15〉

      100錠[10錠(PTP)×10]

    • 〈フルスタン錠0.3〉

      100錠[10錠(PTP)×10]

    23. 主要文献

    1) 揖場和子: 透析と腎性骨異栄養症. 中外医学社. 1994; 176-192[33532]

    2) 井上聖士ほか: 透析患者の骨病変-その見方と考え方-. 日本メディカルセンター. 1988; 249-258[33533]

    3) Velentzas C., et al.: Can. Med. Assoc. J. 1978; 118: 45-50[33534]

    4) 角尾道夫: 臨床医薬. 1997; 13: 1907-1919[33425]

    5) 赤尾恭子ほか: 基礎と臨床. 1996; 30: 2945-2953[33449]

    6) 小室勢津子ほか: 薬物動態. 1996; 11: 505-517[33448]

    7) 小室勢津子ほか: 薬物動態. 1996; 11: 530-540[33447]

    8) 小室勢津子ほか: 基礎と臨床. 1996; 30: 2915-2932[33451]

    9) 小室勢津子ほか: 薬物動態. 1996; 11: 518-529[33434]

    10) 浅野泰ほか: 臨床医薬. 1997; 13: 2559-2571[33424]

    11) 森井浩世ほか: 腎と透析. 1997; 42: 697-721[33421]

    12) 森井浩世ほか: 日本透析医学会誌. 1997; 30: 895-910[33423]

    13) 森井浩世ほか: 腎と透析. 1997; 43: 271-283[33420]

    14) 森井浩世ほか: J. Bone Miner. Metab. 1998; 16: 34-43[33418]

    15) 森井浩世ほか: J. Bone Miner. Metab. 1998; 16: 44-54[33417]

    16) 松本俊夫ほか: ホルモンと臨床. 1997; 45: 595-608[33429]

    17) 松本俊夫ほか: ホルモンと臨床. 1997; 45: 693-706[33428]

    18) 松本俊夫ほか: ホルモンと臨床. 1997; 45: 789-803[33422]

    19) 吉川靖三ほか: 診療と新薬. 1997; 34: 331-357[33431]

    20) 吉川靖三ほか: 診療と新薬. 1997; 34: 359-380[33430]

    21) 勝又隆ほか: 基礎と臨床. 1996; 30: 2955-2962[33439]

    22) Harada M., et al.: Bone Miner. 1992; 18: 41-49[33518]

    23) 津島直美ほか: 基礎と臨床. 1996; 30: 2963-2974[33438]

    24) 勝又隆ほか: 基礎と臨床. 1996; 30: 2975-2982[33437]

    24. 文献請求先及び問い合わせ先

    キッセイ薬品工業株式会社 くすり相談センター

    〒112-0002 東京都文京区小石川3丁目1番3号

    フリーダイヤル 0120-007-622

    26. 製造販売業者等

    26.1 製造販売元

    住友ファーマ株式会社

    大阪市中央区道修町2-6-8

    26.2 販売元

    キッセイ薬品工業株式会社

    松本市芳野19番48号

    〒100-0013 東京都千代田区霞が関3-3-2 新霞が関ビル

    画面を閉じる

    Copyright © Pharmaceuticals and Medical Devices Agency, All Rights reserved.