医療用医薬品 詳細表示

メロペン点滴用バイアル0.25g/メロペン点滴用バイアル0.5g/メロペン点滴用キット0.5g

処方せん医薬品

添付文書番号
企業コード
作成又は改訂年月
日本標準商品分類番号
薬効分類名
承認等
一般的名称
2.禁忌(次の患者には投与しないこと)
3.組成・性状
3.1組成
3.2製剤の性状
4.効能又は効果
5.効能又は効果に関連する注意
6.用法及び用量
7.用法及び用量に関連する注意
8.重要な基本的注意
9.特定の背景を有する患者に関する注意
9.1合併症・既往歴等のある患者
9.2腎機能障害患者
9.3肝機能障害患者
9.5妊婦
9.6授乳婦
9.7小児等
9.8高齢者
10.相互作用
10.1併用禁忌(併用しないこと)
11.副作用
11.1重大な副作用
11.2その他の副作用
12.臨床検査結果に及ぼす影響
13.過量投与
14.適用上の注意
15.その他の注意
15.1臨床使用に基づく情報
15.2非臨床試験に基づく情報
16.薬物動態
16.1血中濃度
16.3分布
16.5排泄
16.6特定の背景を有する患者
17.臨床成績
17.1有効性及び安全性に関する試験
18.薬効薬理
18.1作用機序
18.2抗菌作用
19.有効成分に関する理化学的知見
20.取扱い上の注意
22.包装
23.主要文献
24.文献請求先及び問い合わせ先
26.製造販売業者等

メロペン点滴用バイアル0.25g/メロペン点滴用バイアル0.5g/メロペン点滴用キット0.5g

添付文書番号

6139400D1033_2_18

企業コード

400093

作成又は改訂年月

**2025年9月改訂(第3版)
2025年5月改訂(第2版)

日本標準商品分類番号

876139

薬効分類名

カルバペネム系抗生物質製剤

承認等

メロペン点滴用バイアル0.25g

販売名コード

YJコード

6139400D1033

販売名英語表記

Meropen For I.V. Infusion

承認番号等

承認番号

21900AMX01780

販売開始年月

1995年9月

貯法・有効期間

貯法

室温保存

有効期間

3年

基準名

日本薬局方

注射用メロペネム

メロペン点滴用バイアル0.5g

販売名コード

YJコード

6139400D2030

販売名英語表記

Meropen For I.V. Infusion

承認番号等

承認番号

21900AMX01781

販売開始年月

1995年9月

貯法・有効期間

貯法

室温保存

有効期間

3年

基準名

日本薬局方

注射用メロペネム

メロペン点滴用キット0.5g

販売名コード

YJコード

6139400G1030

販売名英語表記

Meropen For I.V. Infusion

承認番号等

承認番号

21900AMX01782

販売開始年月

2001年6月

貯法・有効期間

貯法

室温保存

有効期間

2年

基準名

日本薬局方

注射用メロペネム

一般的名称

メロペネム水和物

2. 禁忌(次の患者には投与しないこと)

  1. 2.1 本剤の成分に対し過敏症の既往歴のある患者
  2. 2.2 バルプロ酸ナトリウム投与中の患者

3. 組成・性状

3.1 組成

メロペン点滴用バイアル0.25g

有効成分1バイアル中日局メロペネム水和物   0.25g(力価)

メロペン点滴用バイアル0.5g

有効成分1バイアル中日局メロペネム水和物   0.5g(力価)

メロペン点滴用キット0.5g

上室
有効成分1キット中日局メロペネム水和物   0.5g(力価)
下室
溶解液日局生理食塩液  100mL
(100mL中塩化ナトリウム0.9g含有)

3.2 製剤の性状

メロペン点滴用バイアル0.25g

剤形バイアル
性状白色~淡黄色の結晶性の粉末
生理食塩液に溶解後のpH及び浸透圧比は次のとおりである。
pH6.7~8.7
(0.25g(力価)/100mL)
(0.5g (力価)/100mL)
(1g (力価)/100mL)
(2g (力価)/100mL)
浸透圧比約1
(0.25g(力価)/100mL)
(0.5g (力価)/100mL)
(1g (力価)/100mL)
(2g (力価)/100mL)
※生理食塩液に対する比

メロペン点滴用バイアル0.5g

剤形バイアル
性状白色~淡黄色の結晶性の粉末
生理食塩液に溶解後のpH及び浸透圧比は次のとおりである。
pH6.7~8.7
(0.25g(力価)/100mL)
(0.5g (力価)/100mL)
(1g (力価)/100mL)
(2g (力価)/100mL)
浸透圧比約1
(0.25g(力価)/100mL)
(0.5g (力価)/100mL)
(1g (力価)/100mL)
(2g (力価)/100mL)
※生理食塩液に対する比

メロペン点滴用キット0.5g

剤形キット
剤形上室日局注射用メロペネム
(用時溶解・粉末)
下室日局生理食塩液
(溶解液)
性状上室白色~淡黄色の結晶性の粉末
下室無色澄明の液
生理食塩液に溶解後のpH及び浸透圧比は次のとおりである。
pH6.7~8.7
(0.25g(力価)/100mL)
(0.5g (力価)/100mL)
(1g (力価)/100mL)
(2g (力価)/100mL)
浸透圧比約1
(0.25g(力価)/100mL)
(0.5g (力価)/100mL)
(1g (力価)/100mL)
(2g (力価)/100mL)
※生理食塩液に対する比

4. 効能又は効果

  • 一般感染症
    • 〈適応菌種〉

      メロペネムに感性のブドウ球菌属、レンサ球菌属、肺炎球菌、腸球菌属、髄膜炎菌、モラクセラ(ブランハメラ)・カタラーリス、大腸菌、シトロバクター属、クレブシエラ属、エンテロバクター属、セラチア属、プロテウス属、プロビデンシア属、インフルエンザ菌、シュードモナス属、緑膿菌、バークホルデリア・セパシア、バクテロイデス属、プレボテラ属

    • 〈適応症〉

      敗血症、深在性皮膚感染症、リンパ管・リンパ節炎、外傷・熱傷及び手術創等の二次感染、肛門周囲膿瘍、骨髄炎、関節炎、扁桃炎(扁桃周囲膿瘍を含む)、肺炎、肺膿瘍、膿胸、慢性呼吸器病変の二次感染、複雑性膀胱炎、腎盂腎炎、腹膜炎、胆嚢炎、胆管炎、肝膿瘍、子宮内感染、子宮付属器炎、子宮旁結合織炎、化膿性髄膜炎、眼内炎(全眼球炎を含む)、中耳炎、副鼻腔炎、顎骨周辺の蜂巣炎、顎炎

  • 発熱性好中球減少症

5. 効能又は効果に関連する注意

  • 〈効能共通〉
    1. 5.1 本剤投与前に感受性の確認が行えなかった場合、本剤投与開始後3日を目安として本剤に対する感受性を確認し、本剤投与が適正であるか判断すること。なお、本剤に感受性が認められない場合、速やかに他の薬剤に変更すること。
  • 〈扁桃炎(扁桃周囲膿瘍を含む)、中耳炎、副鼻腔炎〉
    1. 5.2 「抗微生物薬適正使用の手引き」1)を参照し、抗菌薬投与の必要性を判断した上で、本剤の投与が適切と判断される場合に投与すること。
  • 〈発熱性好中球減少症〉
    1. 5.3 本剤は、以下の2条件を満たす症例に投与すること。
      • 1回の検温で38℃以上の発熱、又は1時間以上持続する37.5℃以上の発熱
      • 好中球数が500/mm3未満の場合、又は1000/mm3未満で500/mm3未満に減少することが予測される場合
    2. 5.4 国内外のガイドライン等を参照し、本疾患の治療に十分な経験を持つ医師のもとで、本剤の使用が適切と判断される症例についてのみ実施すること。
    3. 5.5 本剤投与前に血液培養等の検査を実施すること。起炎菌が判明した際には、本剤投与継続の必要性を検討すること。
    4. 5.6 本剤投与の開始時期の指標である好中球数が緊急時等で確認できない場合には、白血球数の半数を好中球数として推定すること。
    5. 5.7 好中球数、発熱の回復が認められた場合には、本剤の投与中止を考慮すること。
    6. 5.8 腫瘍熱・薬剤熱等の非感染性の発熱であることが確認された場合には、速やかに本剤の投与を中止すること。

6. 用法及び用量

  • 〈効能共通〉

    本剤の使用に際しては、投与開始後3日を目安としてさらに継続投与が必要か判定し、投与中止又はより適切な他剤に切り替えるべきか検討を行うこと。

  • 〈一般感染症〉
  • 化膿性髄膜炎以外の一般感染症

    通常、成人にはメロペネムとして、1日0.5~1g(力価)を2~3回に分割し、30分以上かけて点滴静注する。なお、年齢・症状に応じて適宜増減するが、重症・難治性感染症には、1回1g(力価)を上限として、1日3g(力価)まで増量することができる。
    通常、小児にはメロペネムとして、1日30~60mg(力価)/kgを3回に分割し、30分以上かけて点滴静注する。なお、年齢・症状に応じて適宜増減するが、重症・難治性感染症には、1日120mg(力価)/kgまで増量することができる。ただし、成人における1日最大用量3g(力価)を超えないこととする。

  • 化膿性髄膜炎

    通常、成人にはメロペネムとして、1日6g(力価)を3回に分割し、30分以上かけて点滴静注する。なお、年齢・症状に応じて適宜減量する。
    通常、小児にはメロペネムとして、1日120mg(力価)/kgを3回に分割し、30分以上かけて点滴静注する。なお、年齢・症状に応じて適宜減量する。ただし、成人における1日用量6g(力価)を超えないこととする。

  • 〈発熱性好中球減少症〉

    通常、成人にはメロペネムとして、1日3g(力価)を3回に分割し、30分以上かけて点滴静注する。
    通常、小児にはメロペネムとして、1日120mg(力価)/kgを3回に分割し、30分以上かけて点滴静注する。ただし、成人における1日用量3g(力価)を超えないこととする。

7. 用法及び用量に関連する注意

  1. 7.1 腎機能障害のある患者では、次表を目安に本剤の投与量及び投与間隔を調節するなど、患者の状態を観察しながら慎重に投与すること。,
    Ccrが50mL/min以下の腎機能障害患者(成人)の投与量、投与間隔の目安

    Ccr(mL/min)

    投与量、投与間隔

    26~50

    1回あたりの投与量を減量せず
    12時間ごとに投与

    10~25

    1回あたりの投与量を1/2に減量し
    12時間ごとに投与

    <10

    1回あたりの投与量を1/2に減量し
    24時間ごとに投与

    ※クレアチニンクリアランス

  2. 7.2 血液透析日には、透析終了後に投与すること。

8. 重要な基本的注意

  1. 8.1 本剤によるショック、アナフィラキシーの発生を確実に予知できる方法がないので、次の措置をとること。
    • 事前に既往歴等について十分な問診を行うこと。なお、抗生物質等によるアレルギー歴は必ず確認すること。
    • 投与に際しては、必ずショック等に対する救急処置のとれる準備をしておくこと。
    • 投与開始から投与終了後まで、患者を安静の状態に保たせ、十分な観察を行うこと。特に、投与開始直後は注意深く観察すること。
  2. 8.2 投与後3~5日目までは発疹等の副作用の発現には特に注意し、症状が発現したときには、他剤に切り替えるなど適切な処置を講じること。なお、継続使用にあたっても、引き続き副作用症状に注意すること。
  3. 8.3 本剤の使用にあたっては、耐性菌の発現等を防ぐため、原則として感受性を確認し、疾病の治療上必要な最小限の期間の投与にとどめること。
  4. 8.4 患者の状態から判断して、やむを得ず原因菌不明のまま本剤を使用した場合、数日間以内に改善の徴候が認められないときには、他剤に切り替えるなど適切な処置を講じること。なお、継続使用にあたっても、引き続き症状の改善等から判断し、漫然と長期の投与を行わないこと。
  5. 8.5 患者の状態等から判断して、7日以上にわたって本剤を投与する場合には、その理由を常時明確にし、発疹の出現や肝機能異常等の副作用に留意し、漫然とした継続投与は行わないこと。
  6. 8.6 AST、ALTの上昇があらわれることがあるので、1週間以上の使用に際しては、必ず肝機能検査を実施すること。
  7. 8.7 急性腎障害等の重篤な腎機能障害、劇症肝炎、肝機能障害、黄疸、汎血球減少、無顆粒球症、溶血性貧血、白血球減少、血小板減少があらわれることがあるので、定期的に臨床検査(腎機能検査、肝機能検査、血液検査等)を行うこと。,,

9. 特定の背景を有する患者に関する注意

9.1 合併症・既往歴等のある患者

  • 〈製剤共通〉
    1. 9.1.1 カルバペネム系、ペニシリン系又はセフェム系抗生物質に対し過敏症の既往歴のある患者(ただし、本剤に対し過敏症の既往歴のある患者には投与しないこと)

      ,

    2. 9.1.2 本人又は両親、兄弟に気管支喘息、発疹、じん麻疹等のアレルギー症状を起こしやすい体質を有する患者
    3. 9.1.3 経口摂取の不良な患者又は非経口栄養の患者、全身状態の悪い患者

      ビタミンK欠乏症状があらわれることがある。

    4. 9.1.4 てんかんの既往歴あるいは中枢神経障害を有する患者

      痙攣、意識障害等の中枢神経症状が起こりやすい。

  • 〈キット〉(生理食塩液に関する注意)
    1. 9.1.5 心臓、循環器系機能障害のある患者

      循環血液量を増すことから心臓に負担をかけ、症状が悪化するおそれがある。

9.2 腎機能障害患者

  • 〈製剤共通〉

    痙攣、意識障害等の中枢神経症状が起こりやすい。,,

  • 〈キット〉(生理食塩液に関する注意)

    水分、塩化ナトリウムの過剰投与に陥りやすく、症状が悪化するおそれがある。,

9.3 肝機能障害患者

  1. 9.3.1 高度の肝機能障害のある患者

    肝機能障害が悪化するおそれがある。

9.5 妊婦

妊婦又は妊娠している可能性のある女性には治療上の有益性が危険性を上回ると判断される場合にのみ投与すること。

9.6 授乳婦

治療上の有益性及び母乳栄養の有益性を考慮し、授乳の継続又は中止を検討すること。ヒト母乳中へ移行することが報告されている2)

9.7 小児等

低出生体重児、新生児を対象とした臨床試験は実施していない。国内の小児臨床試験では、軽度のAST、ALT上昇が多く報告されている。

9.8 高齢者

次の点に注意し、用量並びに投与間隔に留意するなど患者の状態を観察しながら慎重に投与すること。

  • 生理機能が低下していることが多く副作用が発現しやすい。
  • ビタミンK欠乏による出血傾向があらわれることがある。

10. 相互作用

    10.1 併用禁忌(併用しないこと)

    薬剤名等臨床症状・措置方法機序・危険因子

    *バルプロ酸ナトリウム

    • デパケン
    • セレニカ

    本剤との併用により、バルプロ酸の血中濃度が低下し、てんかんの発作が再発することがある。

    機序は解明されていない。

    11. 副作用

    次の副作用があらわれることがあるので、観察を十分に行い、異常が認められた場合には投与を中止するなど適切な処置を行うこと。

    11.1 重大な副作用

    1. 11.1.1 ショック、アナフィラキシー(いずれも0.1%未満)

      呼吸困難、不快感、口内異常感、喘鳴、眩暈、便意、耳鳴、発汗、全身潮紅、血管浮腫、じん麻疹等の症状があらわれた場合には投与を中止し、適切な処置を行うこと。

    2. 11.1.2 急性腎障害等の重篤な腎機能障害(0.1%未満)

    3. 11.1.3 劇症肝炎(頻度不明)、肝機能障害(0.1~5%未満)、黄疸(0.1%未満)

      ,

    4. 11.1.4 偽膜性大腸炎等の血便を伴う重篤な大腸炎(0.1%未満)

      腹痛、頻回の下痢があらわれた場合には直ちに投与を中止するなど適切な処置を行うこと。

    5. 11.1.5 間質性肺炎、PIE症候群(いずれも0.1%未満)

      発熱、咳嗽、呼吸困難、胸部X線異常、好酸球増多等があらわれた場合には投与を中止し、副腎皮質ホルモン剤の投与等の適切な処置を行うこと。

    6. 11.1.6 痙攣、意識障害等の中枢神経症状(0.1%未満)

      ,

    7. 11.1.7 **中毒性表皮壊死融解症(Toxic Epidermal Necrolysis:TEN)(0.1%未満)、皮膚粘膜眼症候群(Stevens-Johnson症候群)(頻度不明)、急性汎発性発疹性膿疱症(頻度不明)

    8. 11.1.8 汎血球減少、無顆粒球症、溶血性貧血(いずれも頻度不明)、白血球減少、血小板減少(いずれも0.1%未満)

    9. 11.1.9 血栓性静脈炎(頻度不明)

    11.2 その他の副作用

    0.1~5%未満

    0.1%未満

    頻度不明

    過敏症

    発疹、発熱

    じん麻疹、紅斑、そう痒、発赤

    熱感

    血液

    顆粒球減少、好酸球増多、血小板減少又は増多、赤血球減少、ヘモグロビンの減少

    好塩基球増多、リンパ球増多、好中球増多、単球増多、ヘマトクリットの減少、異型リンパ球出現

    肝臓

    AST、ALT、LDH、ALP、LAP、γ-GTP、ビリルビン、尿ウロビリノーゲンの上昇

    黄疸、コリンエステラーゼ低下

    腎臓

    BUN、クレアチニンの上昇

    尿中β2-マイクログロブリンの上昇、尿蛋白陽性

    消化器

    下痢

    嘔気、嘔吐、腹痛

    食欲不振

    菌交代症

    口内炎、カンジダ症

    ビタミン欠乏症

    ビタミンK欠乏症状(低プロトロンビン血症、出血傾向等)、ビタミンB群欠乏症状(舌炎、口内炎、食欲不振、神経炎等)

    その他

    血清カリウム上昇

    頭痛、倦怠感、不穏、血清ナトリウム低下、血清カリウム低下、CK上昇、トリグリセリド増加、胸部不快感、血中尿酸減少又は増加、注射部位反応(炎症、疼痛、硬結等)

    ミオクローヌス、せん妄

    発現頻度は承認時までの臨床試験及び市販後の調査の結果に基づく。

    12. 臨床検査結果に及ぼす影響

    1. 12.1 テステープ反応を除くベネディクト試薬、フェーリング試薬による尿糖検査では偽陽性を呈することがあるので注意すること。
    2. 12.2 直接クームス試験陽性を呈することがあるので注意すること。
    3. 12.3 ウロビリノーゲン検査では偽陽性を呈することがあるので注意すること。

    13. 過量投与

    1. 13.1 処置

      本剤は血液透析又は血液ろ過により除去される。

    14. 適用上の注意

    14.1 薬剤調製時の注意

    • 〈製剤共通〉
      1. 14.1.1 本剤溶解時、溶液は無色から微黄色澄明を呈するが、色の濃淡は本剤の効力には影響しない。
      2. 14.1.2 溶解後は速やかに使用すること。なお、やむを得ず保存を必要とする場合でも、日局生理食塩液に溶解した場合、室温保存では6時間以内に、5℃保存では24時間以内に使用すること。
    • 〈バイアル〉
      1. 14.1.3 通常0.25g~2.0g(力価)当たり100mL以上の日局生理食塩液等に溶解する。ただし、注射用水は等張にならないので使用しないこと。
      2. 14.1.4 主な輸液との配合変化

        0.5gバイアル製剤を、25±2℃で主な輸液に溶解したとき、本剤の残存力価が90%以上を示した時間は下表のとおりである。

        輸   液

        残存力価90%以上を示した時間
        (hr)

        名 称

        容量
        (mL)

        生理食塩液

        10
        100

        6
        24

        5%ブドウ糖注射液

        10
        100

        1
        3

        キリット注5%

        500

        3

        果糖注射液5%

        500

        3

        アクチット注

        200

        6

        10%EL-3号輸液

        500

        6

        KN3号輸液

        200
        500

        3
        6

        ソリタ-T3号輸液

        200・500

        3

        ソリタ-T3号G輸液

        200
        500

        1
        3

        フィジオゾール3号輸液

        500

        6

        フルクトラクト注

        200
        500

        3
        6

        ヴィーンD注

        500

        6

        ハルトマン液

        500

        3

        ポタコールR輸液

        500

        6

        ラクテック注

        250・500

        6

        ラクテックG輸液

        500

        3

    • 〈キット〉
      1. 14.1.5 *溶解液部分を手のひらで押して隔壁を開通させ、さらに溶解液部分を繰り返し押して薬剤を完全に溶解する。

    14.2 薬剤投与時の注意

    • 〈キット〉
      1. 14.2.1 容器の液目盛りはおよその目安として使用すること。

    15. その他の注意

    15.1 臨床使用に基づく情報

    1. 15.1.1 化膿性髄膜炎の患者では、疾患の自然経過によるもののほか、薬物が中枢に移行しやすくなることから、痙攣等の中枢神経症状が起きやすいことが知られている。

    15.2 非臨床試験に基づく情報

    1. 15.2.1 動物の腎毒性試験において、ラットの14日間静脈内投与試験では、500mg/kg及び1000mg/kgともに腎毒性を示唆する所見は認められなかった。カニクイザルの7日間静脈内投与試験では、180mg/kg及び500mg/kgで投与初期に一過性の尿中酵素活性値(ALP、γ-GTP、NAG)の増加が認められ、また500mg/kgでは尿細管障害像が認められた。
    2. 15.2.2 ラットの3ヵ月静脈内亜急性毒性試験において、AST活性の上昇が雌の120mg/kg以上の投与で認められた。また、6ヵ月慢性毒性試験ではAST及びALT上昇が雌の240mg/kg以上の投与で認められた。

    16. 薬物動態

    16.1 血中濃度

    1. 16.1.1 単回投与

      健康成人に30分点滴静注した場合の薬物動態パラメータは次表のとおりであり、血漿中濃度は投与量に依存して推移した3),4)

      健康成人における薬物動態パラメータ

      投与量
      (例数)

      Cmax
      (μg/mL)

      T1/2
      (hr)

      AUC
      (μg・hr/mL)

      CLt1)
      (L/hr)

      CLr2)
      (L/hr)

      0.25g(6例)3)

      15.8

      0.98

      16.3

      16.27

      9.60

      0.5g (6例)3)

      26.9

      1.03

      33.9

      14.88

      9.44

      1g (6例)3)

      53.1

      1.02

      58.0

      17.46

      10.50

      2g (6例)4)

      131

      0.92

      170

      12.01

      測定せず

      1) 血漿クリアランス
      2) 腎クリアランス

      メロペン単回点滴静注時の血漿中濃度(健康成人)3),4)
    2. 16.1.2 反復投与

      健康成人において反復投与時の体内動態は単回投与時とほとんど同等であり、蓄積性は認められなかった3),4),5)

    16.3 分布

    喀痰6)、肺組織7)、胆汁8)、胆のう8)、腹腔内滲出液9)、髄液10),11)等に良好な移行を示した。

    16.5 排泄

    主として腎より排泄され、健康成人及び小児一般感染症患者に30分点滴静注後8時間までの尿中排泄率は、健康成人では投与量にかかわらず60~65%3)であり、小児一般感染症患者では平均61%10)であった。

    16.6 特定の背景を有する患者

    1. 16.6.1 腎機能障害患者

      腎機能障害のある患者に0.5gを30分点滴静注した場合の薬物動態パラメータは次表のとおりであり、腎機能の低下に伴い尿中への排泄速度が低下した12)。また、海外においても同様の結果が得られている13),14),15)。従って、本剤を腎機能障害のある患者に投与する場合には、投与量、投与間隔の適切な調節が必要である。,

      腎機能障害のある患者における薬物動態パラメータ12)

      Ccr3)
      (mL/min)

      T1/2
      (hr)

      AUC
      (μg・hr/mL)

      CLt4)
      (L/hr)

      CLr5)
      (L/hr)

      ≧50 (4例)

      1.54

      36.6

      14.64

      7.61

      30~50(4例)

      3.36

      74.6

      7.67

      2.78

      ≦30 (5例)

      5.00

      186.8

      2.99

      0.92

      3) クレアチニンクリアランス
      4) 血漿クリアランス
      5) 腎クリアランス

      健康成人及び腎機能障害のある患者における薬物動態パラメータ(外国人データ)15)

      Ccr6)
      (mL/min)

      T1/2
      (hr)

      AUC
      (μg・hr/mL)

      CLt7)
      (L/hr)

      CLr8)
      (L/hr)

      >80 ( 6例)

      1.05

      36

      15.30

      11.58

      30~80(10例)

      1.93

      88

      6.50

      4.37

      2~30(10例)

      5.22

      179

      3.39

      1.24

      <2 ( 6例)

      9.73

      360

      1.52

      測定せず

      6) クレアチニンクリアランス
      7) 血漿クリアランス
      8) 腎クリアランス

    2. 16.6.2 小児

      小児一般感染症患者に30分点滴静注した場合の血漿中濃度を用いて、ポピュレーションPK解析により得られたモデルは次表のとおりであった16)

      小児一般感染症患者におけるポピュレーションPKモデル

      パラメータ

      推定値±標準誤差

      CV%

      クリアランス (L/hr/kg)

      0.428 ±0.0151

      中心コンパートメントの分布容積 (L/kg)

      0.287 ±0.0181

      コンパートメント間クリアランス (L/hr/kg)

      0.0452±0.0203

      末梢コンパートメントの分布容積 (L/kg)

      0.0537±0.0127

      クリアランスの個体間変動

      0.0229±0.00812

      15.2

      個体内変動

      0.0975±0.0214

      32.0

      また、上記のモデルを用いて推定した、小児一般感染症患者の薬物動態パラメータは次表のとおりであった。

      ポピュレーションPKモデルから推定した、小児一般感染症患者の薬物動態パラメータ(投与条件:30分点滴静注)

      投与量(例数)

      薬物動態パラメータ

      Cmax
      (μg/mL)

      T1/2β
      (hr)

      AUC0-∞
      (μg・hr/mL)

      10mg/kg( 6例)

      23.34±0.96

      0.97±0.03

      21.91± 2.42

      20mg/kg(36例)

      47.65±1.70

      0.99±0.04

      46.83± 6.04

      40mg/kg( 8例)

      97.33±5.22

      1.01±0.04

      101.55±14.29

      平均値±標準偏差

      メロペン点滴静注時の血漿中濃度(小児一般感染症患者)

    17. 臨床成績

    17.1 有効性及び安全性に関する試験

    • 〈一般感染症〉
      1. 17.1.1 国内臨床試験(成人)

        二重盲検比較試験を含む臨床試験のうち承認適応症例を対象とした臨床試験成績の概要は次表のとおりであり、その総有効率は、82.7%(1501/1816例)であった。

        疾患別臨床効果

        疾患名

        有効率(有効以上)

        例数 (%)

        敗血症

        78/118 (66.1)

        浅在性化膿性疾患

        深在性皮膚感染症、リンパ管・リンパ節炎
        肛門周囲膿瘍

        31/32 (96.9)
        13/13 (100)

        外科・整形外科領域感染症

        骨髄炎
        関節炎
        外傷・熱傷及び手術創等の二次感染

        25/33 (75.8)
        11/14 (78.6)
        51/62 (82.3)

        呼吸器感染症

        扁桃炎(扁桃周囲膿瘍を含む)
        慢性呼吸器病変の二次感染
        肺炎
        肺膿瘍
        膿胸

        21/23 (91.3)
        169/205 (82.4)
        412/471 (87.5)
        17/20 (85.0)
        5/8 (62.5)

        尿路感染症

        腎盂腎炎
        複雑性膀胱炎

        122/158 (77.2)
        222/278 (79.9)

        肝・胆道感染症

        胆嚢炎
        胆管炎
        肝膿瘍

        19/20 (95.0)
        34/38 (89.5)
        5/9 (55.6)

        腹膜炎

        89/113 (78.8)

        婦人科領域感染症

        子宮付属器炎
        子宮内感染
        子宮旁結合織炎

        19/20 (95.0)
        44/44 (100)
        10/12 (83.3)

        眼科領域感染症

        眼内炎(全眼球炎を含む)

        2/3 (66.7)

        耳鼻科領域感染症

        中耳炎
        副鼻腔炎

        36/46 (78.3)
        27/29 (93.1)

        歯科・口腔外科領域感染症

        顎炎
        顎骨周辺の蜂巣炎

        25/25 (100)
        14/22 (63.6)

        合計

        1501/1816(82.7)

      2. 17.1.2 国内第Ⅲ相試験(成人)

        化膿性髄膜炎患者(成人5例)を対象として本剤1回2gを1日3回原則14日以内(最長28日)点滴静脈内投与した臨床試験成績の概要は次表のとおりであった。また、細菌学的効果は、投与終了時及び投与終了8日目のいずれも「消失」であった11)

        化膿性髄膜炎の臨床効果

        有効例数9)

        投与終了時

        投与終了8日目

        臨床効果

        5/5

        5/5

        9) 投与開始時から化膿性髄膜炎に伴う症状や所見の改善が認められ、髄液糖濃度(又は髄液糖/血糖比)の上昇及び髄液細胞数の減少が認められた場合を「有効」と判定した。投与終了後から投与終了8日目までの間に他の抗菌薬を使用した場合も評価対象とした。
        5例中3例はバンコマイシンが併用され、5例中5例は副腎皮質ステロイドが併用された。

        副作用は5例中5例に認められ、主な副作用は肝機能異常(4/5例)であった。

      3. 17.1.3 国内第Ⅲ相試験(小児)

        小児患者を対象として本剤1回10、20、又は40mg/kgを1日3回原則14日以内(最長28日)点滴静脈内投与した臨床試験成績の概要は次表のとおりであり、その総有効率は、95.9%(47/49例)であった10)

        疾患別臨床効果

        疾患名

        有効率(有効以上)

        例数 (%)

        敗血症
        敗血症(疑い)

        2/2 (―)
        4/4 (―)

        浅在性化膿性疾患

        深在性皮膚感染症、リンパ管・リンパ節炎

        4/5 (―)

        呼吸器感染症

        肺炎
        肺膿瘍

        25/25(100)
        0/1 (―)

        尿路感染症

        腎盂腎炎

        3/3 (―)

        化膿性髄膜炎

        5/5 (―)

        耳鼻科領域感染症

        中耳炎

        3/3 (―)

        歯科・口腔外科領域感染症

        顎炎

        1/1 (―)

        合計

        47/49(95.9)

        副作用発現頻度は23.1%(12/52例)、臨床検査値異常変動は30.8%(16/52例)であった。主な副作用(発現頻度が5%以上)はAST上昇17.6%(9/51例)、ALT上昇27.5%(14/51例)、血小板増加5.9%(3/51例)であった。

      4. 17.1.4 海外臨床試験(小児)

        臨床試験成績の概要は次表のとおりであり、その総有効率は、98.6%(290/294例)であった。また、化膿性髄膜炎については別試験で投与終了時の生存率で評価されており、97.3%(109/112例)であった。

        疾患別臨床効果

        疾患名

        有効率(有効以上)

        例数 (%)

        敗血症(疑い)

        37/37 (100)

        浅在性化膿性疾患

        深在性皮膚感染症、リンパ管・リンパ節炎

        37/38 (97.4)

        外科・整形外科領域感染症

        外傷・熱傷及び手術創等の二次感染

        2/2 (―)

        呼吸器感染症

        肺炎
        肺膿瘍

        95/96 (99.0)
        1/1 (―)

        尿路感染症

        腎盂腎炎

        71/72 (98.6)

        腹腔内感染症

        腹膜炎

        6/6 (100)

        化膿性髄膜炎

        41/42 (97.6)

        合計

        290/294(98.6)

    • 〈発熱性好中球減少症〉
      1. 17.1.5 国内第Ⅲ相試験(成人及び小児)

        発熱性好中球減少症患者を対象として、成人には本剤1回1g(101例)、小児には本剤1回40mg/kg(5例)又は1回1g(1例)を1日3回7日間(最長14日間)点滴静脈内投与した臨床試験成績の概要は次表のとおりであった17)

        解熱効果

        有効率10)

        投与4日目

        投与7日目

        例数 (%)

        例数 (%)

        成人

        40/100(40.0)

        42/100(42.0)

        小児

        4/6  (―)

        3/6  (―)

        10) 1日の最高体温が37.5℃未満に解熱し、かつ投与開始前から0.5℃以上解熱した場合を「有効」と判定した。

        成人の副作用発現頻度は45.5%(46/101例)であり、主な副作用(発現頻度が5%以上)は肝機能異常8.9%(9例)、ALT増加7.9%(8例)、AST増加5.0%(5例)であった。小児では副作用が6例中4例に認められ、主な副作用は下痢(3/6例)であった。

    18. 薬効薬理

    18.1 作用機序

    ペニシリン結合蛋白(PBPs)に高い親和性を示し、細菌の細胞壁合成(細胞壁ペプチドグリカンの架橋形成)を阻害する18)

    18.2 抗菌作用

    グラム陽性菌、グラム陰性菌及び嫌気性菌に対して幅広い抗菌スペクトルと強い抗菌活性を示し、その作用は殺菌的である。特に、グラム陰性菌に対する抗菌力が強く、緑膿菌を含むブドウ糖非発酵性グラム陰性菌に対しても優れた抗菌活性を示す。種々のグラム陽性・陰性菌により産生されるβ-ラクタマーゼに対しても安定である。また、従来のカルバペネム系抗生物質とは異なり、ヒトの腎デヒドロペプチダーゼ-Iに安定である18),19),20),21),22),23),24),25),26),27),28)

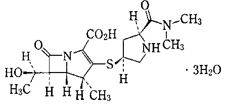
    19. 有効成分に関する理化学的知見

    一般的名称

    メロペネム水和物(Meropenem Hydrate)

    化学名

    (4R,5S,6S)-3-[(3S,5S)-5-(Dimethylcarbamoyl)pyrrolidin-3-ylsulfanyl]-6-[(1R)-1-hydroxyethyl]-4-methyl-7-oxo-1-azabicyclo[3.2.0]hept-2-ene-2-carboxylic acid trihydrate

    分子式

    C17H25N3O5S・3H2O

    分子量

    437.51

    性状

    白色~淡黄色の結晶性の粉末である。水にやや溶けにくく、エタノール(95)又はジエチルエーテルにほとんど溶けない。炭酸水素ナトリウム試液に溶ける。

    化学構造式

    融点

    約170℃付近から黄色に着色し始め、230℃付近で黒色となって液化(分解)した。

    分配係数

    1-オクタノール:水系において本品は1-オクタノール層にほとんど分配されない。

    略号

    MEPM

    20. 取扱い上の注意

    • 〈キット〉
      1. 20.1 製品の品質を保持するため、本品を包んでいる外袋は使用時まで開封しないこと。
      2. 20.2 次の場合には使用しないこと。
        • 外袋が破損しているときや溶解液が漏出しているとき。
        • 隔壁の開通前に抗生物質が溶解しているとき。
        • 抗生物質が変色しているときや、薬剤溶解前に溶解液が着色しているとき。

    22. 包装

    • 〈メロペン点滴用バイアル0.25g〉

      10バイアル

    • 〈メロペン点滴用バイアル0.5g〉

      10バイアル

    • 〈メロペン点滴用キット0.5g〉

      10キット

    23. 主要文献

    1) *厚生労働省健康・生活衛生局感染症対策部 感染症対策課編: 抗微生物薬適正使用の手引き

    2) Sauberan JB., et al.: Pediatr Infect Dis J. 2012; 31(8): 832-834

    3) 中島光好ほか: Chemotherapy. 1992; 40(S-1): 258-275

    4) 社内資料: 第I相6g反復投与試験(2013年12月20日承認、CTD2.7.6.1)

    5) 社内資料: 第I相3g反復投与試験(2010年1月20日承認、CTD2.7.6.1)

    6) 山崎 透ほか: Chemotherapy. 1992; 40(S-1): 432-439

    7) 本田芳宏ほか: Chemotherapy. 1992; 40(S-1): 302-311

    8) 由良二郎ほか: Chemotherapy. 1992; 40(S-1): 520-536

    9) 小野成夫ほか: Chemotherapy. 1992; 40(S-1): 500-506

    10) 豊永義清ほか: 日本化学療法学会雑誌. 2003; 51(12): 762-781

    11) 社内資料: 第Ⅲ相6g髄膜炎国内臨床試験(2013年12月20日承認、CTD2.7.6.8)

    12) Chimata M., et al.: Antimicrob. Agents Chemother. 1993; 37(2): 229-233

    13) Christensson B.A., et al.: Antimicrob. Agents Chemother. 1992; 36(7): 1532-1537

    14) Leroy A., et al.: Antimicrob. Agents Chemother. 1992; 36(12): 2794-2798

    15) Leroy A., et al.: Eur. J. Clin. Pharmacol. 1992; 42(5): 535-538

    16) Ohata Y., et al.: Drug Metab. Pharmacokinet. 2011; 26(5): 523-531

    17) 今城健二ほか: Jpn. J. Antibiotics. 2012; 65(4): 271-287

    18) 住田能弘ほか: Chemotherapy. 1992; 40(S-1): 90-102

    19) 深澤万左友ほか: Chemotherapy. 1992; 40(S-1): 74-89

    20) 出口浩一ほか: Jpn. J. Antibiotics. 1996; 49(2): 175-193

    21) 鈴木由美子ほか: Jpn. J. Antibiotics. 1999; 52(12): 695-720

    22) 鈴木由美子ほか: Jpn. J. Antibiotics. 2001; 54(4): 145-170

    23) 金澤勝則ほか: 日本化学療法学会雑誌. 2004; 52(1): 1-16

    24) 山口惠三ほか: Jpn. J. Antibiotics. 2004; 57(1): 70-104

    25) 山口惠三ほか: Jpn. J. Antibiotics. 2005; 58(6): 655-689

    26) 山口惠三ほか: Jpn. J. Antibiotics. 2007; 60(6): 344-377

    27) 山口惠三ほか: Jpn. J. Antibiotics. 2011; 64(2): 53-95

    28) 渡辺祐子ほか: 感染症学雑誌. 2007; 81(6): 669-674

    24. 文献請求先及び問い合わせ先

    住友ファーマ株式会社

    〒541-0045 大阪市中央区道修町2-6-8

    くすり情報センター
    TEL 0120-034-389

    26. 製造販売業者等

    26.1 製造販売元

    住友ファーマ株式会社

    大阪市中央区道修町2-6-8



    • (キットの溶解操作方法)

      ①使用直前に外袋を開封する。

    • ②本品を展開する。
    • ③溶解液部分を手のひらで押して隔壁を開通させ、さらに溶解液部分を繰り返し押して薬剤を完全に溶解する。
    • ④溶解を確認する。開通確認シールをはがす。

    〒100-0013 東京都千代田区霞が関3-3-2 新霞が関ビル

    画面を閉じる

    Copyright © Pharmaceuticals and Medical Devices Agency, All Rights reserved.