医療用医薬品 詳細表示

オプソ内服液5mg/オプソ内服液10mg

処方せん医薬品

添付文書番号
企業コード
作成又は改訂年月
日本標準商品分類番号
薬効分類名
承認等
一般的名称
2.禁忌(次の患者には投与しないこと)
3.組成・性状
3.1組成
3.2製剤の性状
4.効能又は効果
6.用法及び用量
7.用法及び用量に関連する注意
8.重要な基本的注意
9.特定の背景を有する患者に関する注意
9.1合併症・既往歴等のある患者
9.2腎機能障害患者
9.3肝機能障害患者
9.5妊婦
9.6授乳婦
9.7小児等
9.8高齢者
10.相互作用
10.1併用禁忌(併用しないこと)
10.2併用注意(併用に注意すること)
11.副作用
11.1重大な副作用
11.2その他の副作用
13.過量投与
14.適用上の注意
15.その他の注意
15.1臨床使用に基づく情報
16.薬物動態
16.1血中濃度
16.4代謝
17.臨床成績
17.1有効性及び安全性に関する試験
18.薬効薬理
18.1作用機序
18.2鎮痛作用
19.有効成分に関する理化学的知見
20.取扱い上の注意
22.包装
23.主要文献
24.文献請求先及び問い合わせ先
25.保険給付上の注意
26.製造販売業者等

オプソ内服液5mg/オプソ内服液10mg

添付文書番号

8114005S1024_1_17

企業コード

400093

作成又は改訂年月

**2026年3月改訂(第4版)
2024年11月改訂(第3版)

日本標準商品分類番号

878114

薬効分類名

がん疼痛治療用内服液剤

承認等

オプソ内服液5mg

販売名コード

YJコード

8114005S1024

販売名英語表記

OPSO Oral Solution

承認番号等

承認番号

21500AMZ00335

販売開始年月

2003年6月

貯法・有効期間

貯法

室温保存

有効期間

3年

オプソ内服液10mg

販売名コード

YJコード

8114005S2020

販売名英語表記

OPSO Oral Solution

承認番号等

承認番号

21500AMZ00336

販売開始年月

2003年6月

貯法・有効期間

貯法

室温保存

有効期間

3年

一般的名称

モルヒネ塩酸塩

2. 禁忌(次の患者には投与しないこと)

  1. 2.1 重篤な呼吸抑制のある患者[呼吸抑制を増強する。]
  2. 2.2 気管支喘息発作中の患者[気道分泌を妨げる。]
  3. 2.3 重篤な肝機能障害のある患者
  4. 2.4 慢性肺疾患に続発する心不全の患者[呼吸抑制や循環不全を増強する。]
  5. 2.5 痙攣状態(てんかん重積症、破傷風、ストリキニーネ中毒)にある患者[脊髄の刺激効果があらわれる。]
  6. 2.6 急性アルコール中毒の患者[呼吸抑制を増強する。]
  7. 2.7 本剤の成分及びアヘンアルカロイドに対し過敏症の患者
  8. 2.8 出血性大腸炎の患者[腸管出血性大腸菌(O157等)や赤痢菌等の重篤な細菌性下痢のある患者では、症状の悪化、治療期間の延長をきたすおそれがある。]
  9. 2.9 ナルメフェン塩酸塩水和物を投与中又は投与中止後1週間以内の患者

3. 組成・性状

3.1 組成

オプソ内服液5mg

有効成分1包2.5mL中日局モルヒネ塩酸塩水和物   5mg
添加剤亜硫酸水素ナトリウム、D-ソルビトール、クエン酸水和物、L-グルタミン酸ナトリウム、パラオキシ安息香酸メチル、pH調節剤

オプソ内服液10mg

有効成分1包5mL中日局モルヒネ塩酸塩水和物   10mg
添加剤亜硫酸水素ナトリウム、D-ソルビトール、クエン酸水和物、L-グルタミン酸ナトリウム、パラオキシ安息香酸メチル、pH調節剤

3.2 製剤の性状

オプソ内服液5mg

pH2.3~2.7
色・剤形無色澄明の液を充てんした分包品

オプソ内服液10mg

pH2.3~2.7
色・剤形無色澄明の液を充てんした分包品

4. 効能又は効果

中等度から高度の疼痛を伴う各種癌における鎮痛

6. 用法及び用量

通常、成人にはモルヒネ塩酸塩水和物として1日30~120mgを1日6回に分割し経口投与する。
なお、年齢、症状により適宜増減する。

7. 用法及び用量に関連する注意

  1. 7.1 臨時追加投与(レスキュー・ドーズ)として使用する場合

    本剤の1回量は定時投与中のモルヒネ経口製剤の1日量の1/6量を目安として投与すること。

  2. 7.2 定時投与時
    1. 7.2.1 初めてモルヒネ製剤として本剤を使用する場合

      1回5~10mgから開始し、鎮痛効果及び副作用の発現状況を観察しながら、用量調節を行うこと。

    2. 7.2.2 定時投与時の投与間隔

      1日量を6分割して使用する場合には、4時間ごとの定時に経口投与すること。
      ただし、深夜の睡眠を妨げないように就寝前の投与は2回分を合わせて投与することもできる。

    3. 7.2.3 他のオピオイド製剤から本剤へ変更する場合には、前投与薬剤の投与量及び鎮痛効果の持続時間を考慮して、副作用の発現に注意しながら、適宜用量を調節すること。
    4. 7.2.4 経皮フェンタニル貼付剤から本剤へ変更する場合には、経皮フェンタニル貼付剤剥離後にフェンタニルの血中濃度が50%に減少するまで17時間以上かかることから、剥離直後の本剤の使用は避け、本剤の使用を開始するまでに、フェンタニルの血中濃度が適切な濃度に低下するまでの時間をあけるとともに、本剤の低用量から投与することを考慮すること。
    5. 7.2.5 減量

      連用中における急激な減量は、退薬症候があらわれることがあるので行わないこと。副作用等により減量する場合は、患者の状態を観察しながら慎重に行うこと。

    6. 7.2.6 投与の中止

      本剤の投与を必要としなくなった場合には、退薬症候の発現を防ぐために徐々に減量すること。

8. 重要な基本的注意

  1. 8.1 連用により薬物依存を生じることがあるので、観察を十分に行い、慎重に投与すること。
  2. 8.2 眠気、めまいが起こることがあるので、本剤投与中の患者には自動車の運転等危険を伴う機械の操作に従事させないよう注意すること。
  3. 8.3 本剤を投与する場合には、便秘に対する対策として緩下剤、嘔気・嘔吐に対する対策として制吐剤の併用を、また、鎮痛効果が得られている患者で通常とは異なる強い眠気がある場合には、過量投与の可能性を念頭において本剤の減量を考慮するなど、本剤投与時の副作用に十分注意すること。
  4. 8.4 本剤を増量する場合には、副作用に十分注意すること。
  5. 8.5 本剤の医療目的外使用を防止するため、適切な処方を行い、保管に留意するとともに、患者等に対して適切な指導を行うこと。,

9. 特定の背景を有する患者に関する注意

9.1 合併症・既往歴等のある患者

  1. 9.1.1 細菌性下痢のある患者

    治療上やむを得ないと判断される場合を除き、投与しないこと。治療期間の延長をきたすおそれがある。

  2. 9.1.2 心機能障害のある患者

    循環不全を増強するおそれがある。

  3. 9.1.3 呼吸機能障害のある患者

    呼吸抑制を増強するおそれがある。

  4. 9.1.4 脳に器質的障害のある患者

    呼吸抑制や頭蓋内圧の上昇を起こすおそれがある。

  5. 9.1.5 ショック状態にある患者

    循環不全や呼吸抑制を増強するおそれがある。

  6. 9.1.6 代謝性アシドーシスのある患者

    呼吸抑制を起こすおそれがある。

  7. 9.1.7 甲状腺機能低下症(粘液水腫等)の患者

    呼吸抑制や昏睡を起こすおそれがある。

  8. 9.1.8 副腎皮質機能低下症(アジソン病等)の患者

    呼吸抑制作用に対し、感受性が高くなっている。

  9. 9.1.9 薬物依存の既往歴のある患者

    依存性を生じやすい。

  10. 9.1.10 衰弱者

    呼吸抑制作用に対し、感受性が高くなっている。

  11. 9.1.11 前立腺肥大による排尿障害、尿道狭窄、尿路手術術後の患者

    排尿障害を増悪することがある。

  12. 9.1.12 器質的幽門狭窄、麻痺性イレウス又は最近消化管手術を行った患者

    消化管運動を抑制する。

  13. 9.1.13 痙攣の既往歴のある患者

    痙攣を誘発するおそれがある。

  14. 9.1.14 胆嚢障害及び胆石のある患者

    胆道痙攣を起こすことがある。

  15. 9.1.15 重篤な炎症性腸疾患のある患者

    連用した場合、巨大結腸症を起こすおそれがある。

9.2 腎機能障害患者

排泄が遅延し、副作用があらわれるおそれがある。

9.3 肝機能障害患者

  1. 9.3.1 重篤な肝機能障害のある患者

    投与しないこと。昏睡に陥ることがある。

  2. 9.3.2 肝機能障害患者(重篤な肝機能障害のある患者を除く)

    代謝が遅延し、副作用があらわれるおそれがある。

9.5 妊婦

  1. 9.5.1 妊婦又は妊娠している可能性のある女性には、治療上の有益性が危険性を上回ると判断される場合にのみ投与すること。動物実験(マウス、ラット)で催奇形作用(マウスでは脳脱、軸骨格癒合)が報告されている。
  2. 9.5.2 分娩前に投与した場合、出産後新生児に退薬症候(多動、神経過敏、不眠、振戦等)があらわれることがある。
  3. 9.5.3 分娩時の投与により、新生児に呼吸抑制があらわれることがある。

9.6 授乳婦

本剤投与中は授乳を避けさせること。ヒト母乳中へ移行することがある。

9.7 小児等

新生児、乳児では低用量から投与を開始するなど患者の状態を観察しながら、慎重に投与すること。新生児、乳児では、呼吸抑制の感受性が高い。

9.8 高齢者

低用量から投与を開始するなど患者の状態を観察しながら、慎重に投与すること。一般に生理機能が低下しており、特に呼吸抑制の感受性が高い。

10. 相互作用

    10.1 併用禁忌(併用しないこと)

    薬剤名等臨床症状・措置方法機序・危険因子

    ナルメフェン塩酸塩水和物

    • セリンクロ

    本剤の離脱症状があらわれるおそれがある。また、本剤の効果が減弱するおそれがある。緊急の手術等によりやむを得ず本剤を投与する場合、患者毎に用量を漸増し、呼吸抑制等の中枢神経抑制症状を注意深く観察すること。また、手術等において本剤を投与することが事前にわかる場合には、少なくとも1週間前にはナルメフェン塩酸塩水和物の投与を中断すること。

    μオピオイド受容体拮抗作用により、本剤の作用が競合的に阻害される。

    10.2 併用注意(併用に注意すること)

    薬剤名等臨床症状・措置方法機序・危険因子

    中枢神経抑制剤

    • フェノチアジン系薬剤
      バルビツール酸系薬剤 等

    吸入麻酔剤
    モノアミン酸化酵素阻害剤
    三環系抗うつ剤
    β-遮断剤
    アルコール

    呼吸抑制、低血圧及び顕著な鎮静又は昏睡が起こることがある。

    相加的に中枢神経抑制作用が増強される。

    クマリン系抗凝血剤

    • ワルファリン

    クマリン系抗凝血剤の作用が増強されることがある。

    機序は不明である。

    抗コリン作動性薬剤

    麻痺性イレウスに至る重篤な便秘又は尿貯留が起こるおそれがある。

    相加的に抗コリン作用が増強される。

    ジドブジン(アジドチミジン)

    ジドブジンの副作用(骨髄抑制等)を増強させるおそれがある。

    ジドブジンのグルクロン酸抱合が競合的に阻害され、ジドブジンの代謝が阻害される。

    ブプレノルフィン

    ブプレノルフィンの高用量(8mg連続皮下投与)において、本剤の作用に拮抗するとの報告がある。

    μオピオイド受容体拮抗作用により、本剤の作用が競合的に阻害される。

    *クロピドグレル

    *チカグレロル

    *プラスグレル

    これらの薬剤の血漿中濃度が低下するとの報告がある。

    本剤の消化管運動抑制により、これらの薬剤の吸収が遅延する可能性が考えられる。

    11. 副作用

    次の副作用があらわれることがあるので、観察を十分に行い、異常が認められた場合には投与を中止するなど適切な処置を行うこと。

    11.1 重大な副作用

    1. 11.1.1 依存性(頻度不明)

      連用により生じることがある。また、連用中における投与量の急激な減少ないし投与の中止により、あくび、くしゃみ、流涙、発汗、悪心、嘔吐、下痢、腹痛、散瞳、頭痛、不眠、不安、せん妄、振戦、全身の筋肉・関節痛、呼吸促迫等の退薬症候があらわれることがあるので、投与を中止する場合には、1日用量を徐々に減量するなど、患者の状態を観察しながら行うこと。

    2. 11.1.2 呼吸抑制(1.2%)

      息切れ、呼吸緩慢、不規則な呼吸、呼吸異常等があらわれた場合には、投与を中止するなど適切な処置を行うこと。なお、本剤による呼吸抑制には、麻薬拮抗剤(ナロキソン、レバロルファン等)が拮抗する。

    3. 11.1.3 錯乱(頻度不明)、せん妄(頻度不明)
    4. 11.1.4 無気肺(頻度不明)、気管支痙攣(頻度不明)、喉頭浮腫(頻度不明)
    5. 11.1.5 麻痺性イレウス(頻度不明)、中毒性巨大結腸(頻度不明)

      炎症性腸疾患の患者に投与した場合、中毒性巨大結腸があらわれるとの報告がある。

    11.2 その他の副作用

    5%以上

    1~5%未満

    頻度不明

    循環器

    低血圧

    不整脈、血圧変動、顔面潮紅

    呼吸器

    呼吸抑制、一過性無呼吸、低酸素血症

    精神神経系

    眠気(29.4%)

    意識障害、一過性失見当識、ふらつき、頭重感

    めまい、不安、不穏、興奮、視調節障害、発汗、痛覚過敏・異痛症(アロディニア)

    消化器

    便秘(52.9%)、嘔気(25.9%)、嘔吐(14.1%)

    食欲不振、腹部不快感

    口渇

    過敏症

    そう痒感

    発疹

    肝臓

    ALTの上昇、ALPの上昇

    ASTの上昇

    その他

    排尿障害、全身倦怠感

    頭蓋内圧の亢進

    13. 過量投与

    1. 13.1 症状

      呼吸抑制、意識不明、痙攣、錯乱、血圧低下、重篤な脱力感、重篤なめまい、嗜眠、心拍数の減少、神経過敏、不安、縮瞳、皮膚冷感等を起こすことがある。

    2. 13.2 処置

      麻薬拮抗剤投与を行い、患者に退薬症候又は麻薬拮抗剤の副作用が発現しないよう慎重に投与する。なお、麻薬拮抗剤の作用持続時間はモルヒネのそれより短いので、患者のモニタリングを行うか又は患者の反応に応じて、初回投与後は注入速度を調節しながら持続静注する。

    14. 適用上の注意

    14.1 薬剤交付時の注意

    1. 14.1.1 具体的な服用方法、服用時の注意点、保管方法等を十分に説明し、本剤の目的以外への使用あるいは他人への譲渡をしないよう指導するとともに、本剤を子供の手の届かないところに保管するよう指導すること。
    2. 14.1.2 本剤が不要となった場合には、病院又は薬局へ返却するなどの処置について適切に指導すること。

    15. その他の注意

    15.1 臨床使用に基づく情報

    **本剤は添加剤として亜硫酸塩を含有している。喘息患者では非喘息患者よりも亜硫酸塩に対する過敏症が多く認められるとの報告がある。

    16. 薬物動態

    16.1 血中濃度

    本剤を用いた薬物動態試験は実施されていない。
    なお、院内製剤として調剤されたモルヒネ水溶液の癌患者における薬物動態は以下のように報告されている。

    1. 16.1.1 単回投与
      (手術前癌患者5例(t1/2及びAUC0~∞は4例)、モルヒネ塩酸塩水和物として10mgを1回経口投与後のモルヒネ血漿中濃度の薬物速度論的パラメータ)1)

      Tmax
      (h)

      Cmax
      (ng/mL)

      t1/2
      (h)

      AUC0~∞
      (ng・h/mL)

      0.9±0.1

      16.6±3.3

      2.2±0.3

      39.6±6.2

      平均値±標準誤差

    2. 16.1.2 反復投与
      (癌患者5例、モルヒネ塩酸塩として1回10mgを1日6回1) (60mg/日)反復経口投与後のモルヒネ血漿中濃度の薬物速度論的パラメータ(定常状態))2)

      Tmax
      (h)

      Cmax
      (ng/mL)

      t1/2
      (h)

      AUC0~4
      (ng・h/mL)

      0.5±0.2

      19.5±8.1

      2.9±1.1

      53.6±14.7

      平均値±標準偏差

      1) 就寝前の投与を2回分合わせて投与する方法も含む。

    16.4 代謝

    1. 16.4.1 主な代謝産物及び代謝経路

      モルヒネは肝臓で3位又は6位の水酸基がグルクロン酸抱合を受け、モルヒネ-3-グルクロニド(活性なし)又はモルヒネ-6-グルクロニド(活性あり)になる。

    17. 臨床成績

    17.1 有効性及び安全性に関する試験

    1. 17.1.1 国内第Ⅲ相試験

      癌患者を対象に、本剤1日30~90mgを中心として経口投与したオープン試験の結果は次のとおりである。

      試験

      有効率

      定時投与2)

      新規例3)

      97.0%(32/33例)

      切替例4)

      100%(9/9例)

      臨時追加投与5)

      77.5%(31/40例)

      87.8%(72/82例)

      2) 1日用量を6回に分割した投与方法(深夜の睡眠を妨げないように就寝前の投与を2回分合わせて投与する方法も含む)。
      3) 初めてモルヒネ経口製剤を投与する際に用量調節を行った定時投与例。3~7日間投与。
      4) 既存のモルヒネ速放性経口製剤から本剤に切替えた定時投与例。3日間投与。
      5) 突出痛が生じた場合に定時投与中のモルヒネ経口製剤の1日用量の1/6量を目安として投与する方法。

      副作用発現頻度は74.1%(63/85例)で、主な副作用は便秘52.9%(45例)、眠気29.4%(25例)、嘔気25.9%(22例)及び嘔吐14.1%(12例)であった。対象別の副作用発現頻度は、新規例では85.3%(29/34例)、切替例では63.6%(7/11例)、臨時追加投与例では67.5%(27/40例)であった。臨床検査値異常発現頻度(臨時追加投与例は評価対象外)は13.9%(5/36例)で、主な臨床検査値異常はALT上昇8.6%(3例)、ALP上昇6.1%(2例)であった。対象別の臨床検査値異常発現頻度は、新規例では16.0%(4/25例)、切替例では9.1%(1/11例)であった3)

    18. 薬効薬理

    18.1 作用機序

    オピオイド受容体の主としてμ-受容体を介して、脊髄、視床など求心性痛覚伝導路を抑制するとともに、脳幹から脊髄後角に至る下行性痛覚抑制系を賦活することにより鎮痛作用を示す。そのほか、大脳辺縁系に作用して疼痛に伴う不安や恐怖といった情動反応を抑制し、また、大脳皮質における痛覚閾値を上昇させることも作用機序の一部として考えられている。

    18.2 鎮痛作用

    モルヒネ塩酸塩水和物の経口投与による鎮痛作用をラットtail pressure法及び酢酸writhing法を用いて検討した。その結果、用量依存的な鎮痛作用が認められ、それぞれの試験におけるED50値は34.3及び1.23mg/kgであった4)

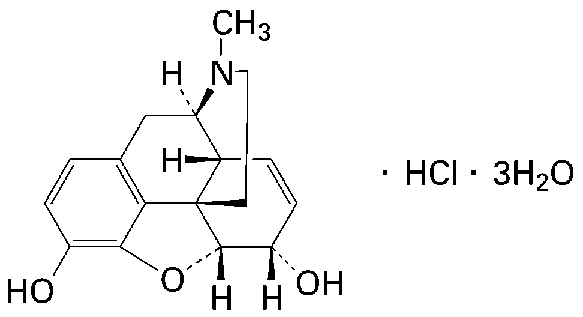
    19. 有効成分に関する理化学的知見

    一般的名称

    モルヒネ塩酸塩水和物(Morphine Hydrochloride Hydrate)

    化学名

    (5R, 6S)-4,5-Epoxy-17-methyl-7,8-didehydromorphinan-3,6-diol monohydrochloride trihydrate

    分子式

    C17H19NO3・HCl・3H2O

    分子量

    375.84

    性状

    白色の結晶又は結晶性の粉末である。ギ酸に溶けやすく、水にやや溶けやすく、メタノールにやや溶けにくく、エタノール(95)に溶けにくい。光によって徐々に黄褐色を帯びる。

    化学構造式

    20. 取扱い上の注意

    本剤は、液漏れ検査を実施しているが、外部衝撃等により、スティック包装のシール部分から液漏れが発生するおそれがあるので、万一内袋の内側又はスティック包装の表面に水滴や結晶が付着している場合は、使用しないこと。

    22. 包装

    • 〈オプソ内服液5mg〉

      20包[10包×2]

    • 〈オプソ内服液10mg〉

      20包[10包×2]

    24. 文献請求先及び問い合わせ先

    住友ファーマ株式会社

    〒541-0045 大阪市中央区道修町2-6-8

    くすり情報センター
    TEL 0120-034-389

    25. 保険給付上の注意

    1. 25.1 投薬期間制限医薬品に関する情報

      本剤は厚生労働省告示第75号(平成24年3月5日付)に基づき、投薬は1回30日分を限度とされている。

    26. 製造販売業者等

    26.1 製造販売元

    住友ファーマ株式会社

    大阪市中央区道修町2-6-8

    〒100-0013 東京都千代田区霞が関3-3-2 新霞が関ビル

    画面を閉じる

    Copyright © Pharmaceuticals and Medical Devices Agency, All Rights reserved.