医療用医薬品 詳細表示

ネオファーゲンC配合錠

処方せん医薬品以外の医薬品

添付文書番号
企業コード
作成又は改訂年月
日本標準商品分類番号
薬効分類名
承認等
一般的名称
2.禁忌(次の患者には投与しないこと)
3.組成・性状
3.1組成
3.2製剤の性状
4.効能又は効果
6.用法及び用量
8.重要な基本的注意
9.特定の背景を有する患者に関する注意
9.5妊婦
9.6授乳婦
9.8高齢者
10.相互作用
10.2併用注意(併用に注意すること)
11.副作用
11.1重大な副作用
11.2その他の副作用
14.適用上の注意
16.薬物動態
16.8その他
18.薬効薬理
18.1作用機序
19.有効成分に関する理化学的知見
22.包装
23.主要文献
24.文献請求先及び問い合わせ先
26.製造販売業者等

ネオファーゲンC配合錠

添付文書番号

3919100F1177_1_05

企業コード

400107

作成又は改訂年月

2023年11月改訂(第1版)

日本標準商品分類番号

873919
87449

薬効分類名

抗アレルギー・肝臓疾患用剤

承認等

ネオファーゲンC配合錠

販売名コード

YJコード

3919100F1177

販売名英語表記

Neophagen C combination tablets

販売名ひらがな

ねおふぁーげんしーはいごうじょう

承認番号等

承認番号

22100AMX00780000

販売開始年月

1991年12月

貯法・有効期間

貯法

室温保存

有効期間

3年

一般的名称

グリチルリチン酸一アンモニウム
グリシン
DL-メチオニン

2. 禁忌(次の患者には投与しないこと)

  1. 2.1 血清アンモニウム値の上昇傾向にある末期肝硬変症の患者[本剤に含まれるDL-メチオニンの代謝物が尿素合成を抑制し、アンモニア処理能を低下させるおそれがある。]
  2. 2.2 アルドステロン症、ミオパシー、低カリウム血症の患者[低カリウム血症、高血圧症等を悪化させるおそれがある。]

3. 組成・性状

3.1 組成

ネオファーゲンC配合錠

有効成分1錠中
グリチルリチン酸一アンモニウム   32mg
(グリチルリチン酸として   25mg )
グリシン   25mg
DL-メチオニン   25mg
添加剤沈降炭酸カルシウム、低置換度ヒドロキシプロピルセルロース、ヒプロメロース、結晶セルロース、カルメロースナトリウム、ステアリン酸マグネシウム、酸化チタン、マクロゴール6000

3.2 製剤の性状

ネオファーゲンC配合錠

性状光沢のある白色~わずかに黄みを帯びた白色の扁平球状のフィルムコーティング錠である。
外形表面
裏面
側面
大きさ・質量直径(mm)7.2
厚み(mm)3.6
質量(mg)163.5
識別コードTC326

4. 効能又は効果

  • 湿疹・皮膚炎、小児ストロフルス、円形脱毛症、口内炎
  • 慢性肝疾患における肝機能異常の改善

6. 用法及び用量

通常、成人には1回2~3錠、小児には1錠を1日3回食後経口投与する。
なお、年齢、症状により適宜増減する。

8. 重要な基本的注意

甘草を含有する製剤との併用は本剤に含まれるグリチルリチン酸が重複し、偽アルドステロン症があらわれやすくなるので注意すること。

9. 特定の背景を有する患者に関する注意

9.5 妊婦

妊婦又は妊娠している可能性のある女性には治療上の有益性が危険性を上回ると判断される場合にのみ投与すること。グリチルリチン酸一アンモニウムを大量投与したときの動物実験(ラット)において腎奇形等が認められている1)

9.6 授乳婦

治療上の有益性及び母乳栄養の有益性を考慮し、授乳の継続又は中止を検討すること。グリチルリチン酸一アンモニウムを投与した時の動物実験(ラット)において乳汁移行が認められている。

9.8 高齢者

患者の状態を観察しながら慎重に投与すること。臨床での使用経験において、高齢者に低カリウム血症等の副作用の発現率が高い傾向が認められる。

10. 相互作用

    10.2 併用注意(併用に注意すること)

    薬剤名等臨床症状・措置方法機序・危険因子

    ループ利尿剤

    • エタクリン酸
      フロセミド等

    低カリウム血症(脱力感、筋力低下等)があらわれるおそれがあるので、観察(血清カリウム値の測定等)を行うなど十分に注意すること。

    これらの利尿作用が本剤に含まれるグリチルリチン酸のカリウム排泄作用を増強し、血清カリウム値の低下があらわれやすくなる。

    チアジド系及びその類似降圧利尿剤

    • トリクロルメチアジド
      クロルタリドン等

    低カリウム血症(脱力感、筋力低下等)があらわれるおそれがあるので、観察(血清カリウム値の測定等)を行うなど十分に注意すること。

    これらの利尿作用が本剤に含まれるグリチルリチン酸のカリウム排泄作用を増強し、血清カリウム値の低下があらわれやすくなる。

    モキシフロキサシン塩酸塩

    心室性頻拍(Torsade de pointesを含む)、QT延長を起こすおそれがある。

    本剤が有するカリウム排泄作用により血清カリウム濃度が低下すると、モキシフロキサシン塩酸塩による心室性頻拍(Torsade de pointesを含む)、QT延長が発現するおそれがある。

    11. 副作用

    次の副作用があらわれることがあるので、観察を十分に行い、異常が認められた場合には投与を中止するなど適切な処置を行うこと。

    11.1 重大な副作用

    1. 11.1.1 偽アルドステロン症(頻度不明)

      低カリウム血症、血圧上昇、ナトリウム・体液の貯留、浮腫、尿量減少、体重増加等があらわれることがある2),3),4),5),6),7),8),9),10)

    2. 11.1.2 横紋筋融解症(頻度不明)

      脱力感、筋力低下、筋肉痛、四肢痙攣・麻痺等の症状があらわれることがあるので、CK上昇、血中及び尿中のミオグロビン上昇が認められた場合には投与を中止し、適切な処置を行うこと。

    11.2 その他の副作用

    0.1~5%未満1)

    頻度不明

    体液・電解質

    血清カリウム値の低下

    循環器

    血圧上昇

    その他

    腹痛

    頭痛

    1) 使用成績調査における発現頻度

    14. 適用上の注意

    14.1 薬剤交付時の注意

    PTP包装の薬剤はPTPシートから取り出して服用するよう指導すること。PTPシートの誤飲により、硬い鋭角部が食道粘膜へ刺入し、更には穿孔をおこして縦隔洞炎等の重篤な合併症を併発することがある。

    16. 薬物動態

    16.8 その他

    ネオファーゲンC配合錠は、日本薬局方外医薬品規格第3部に定められたグリチルリチン酸一アンモニウム・グリシン・DL-メチオニン錠の溶出規格に適合していることが確認されている11)

    18. 薬効薬理

    18.1 作用機序

    グリチルリチン酸は古くから薬用として用いられてきた生薬である甘草の甘味成分であり、また、主成分でもあり、解毒作用、抗アレルギー作用、抗炎症作用、肝障害回復作用等を有する12),13)
    グリシンは生理的に重要なクレアチン、グルタチオン、ポルフィリン、プリン等の物質の生合成に関与し、解毒作用を有する12),14)
    メチオニンは必須アミノ酸で、蛋白質の構成成分であり、生体内でATPにより活性化され、生体内で重要な役割を果たす薬物及び生体成分のメチル化に関与するとともに、SH基供与体としてシステインやシスチンを生合成し、解毒作用を発揮する12),14)

    19. 有効成分に関する理化学的知見

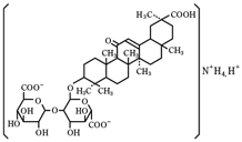
    19.1 グリチルリチン酸一アンモニウム

    一般的名称

    グリチルリチン酸一アンモニウム(Monoammonium Glycyrrhizinate)

    化学名

    Monoammonium of 20β-carboxy-11-oxo-30-norolean-12-en-3β-yl-2-O-β-D-glucopyranuronosyl-α-D-glucopyranosiduronic acid

    分子式

    C42H61O16NH4

    分子量

    839.96

    性状

    白色~微黄色の結晶性の粉末である。水及びエタノール(99.5)に溶けにくい。

    化学構造式

    19.2 グリシン(アミノ酢酸)

    一般的名称

    グリシン(Glycine)

    化学名

    Aminoacetic acid

    分子式

    C2H5NO2

    分子量

    75.07

    性状

    白色の結晶又は結晶性の粉末で、味は甘い。水又はギ酸に溶けやすく、エタノール(95)にほとんど溶けない。結晶多形が認められる。

    化学構造式

    19.3 DL-メチオニン

    一般的名称

    DL-メチオニン(DL-Methionine)

    化学名

    (2RS)-2-Amino-4-(methylsulfanyl)butanoic acid

    分子式

    C5H11NO2S

    分子量

    149.21

    性状

    白色の結晶又は結晶性の粉末である。ギ酸に溶けやすく、水にやや溶けやすく、エタノール(99.5)に極めて溶けにくい。希塩酸に溶ける。6mol/L塩酸試液溶液(1→50)は旋光性を示さない。

    化学構造式

    22. 包装

    PTP包装:1000錠(10錠×100)
    バラ包装:2000錠(プラスチックボトル、乾燥剤入り)

    24. 文献請求先及び問い合わせ先

    大鵬薬品工業株式会社 医薬品情報課

    〒101-8444 東京都千代田区神田錦町1-27

    TEL 0120-20-4527

    26. 製造販売業者等

    26.1 製造販売元

    大鵬薬品工業株式会社

    東京都千代田区神田錦町1-27

    〒100-0013 東京都千代田区霞が関3-3-2 新霞が関ビル

    画面を閉じる

    Copyright © Pharmaceuticals and Medical Devices Agency, All Rights reserved.