医療用医薬品 詳細表示

ブチルスコポラミン臭化物注射液20mg「タカタ」

処方せん医薬品

添付文書番号
企業コード
作成又は改訂年月
日本標準商品分類番号
薬効分類名
承認等
一般的名称
2.禁忌(次の患者には投与しないこと)
3.組成・性状
3.1組成
3.2製剤の性状
4.効能又は効果
6.用法及び用量
8.重要な基本的注意
9.特定の背景を有する患者に関する注意
9.1合併症・既往歴等のある患者
9.5妊婦
9.6授乳婦
9.7小児等
9.8高齢者
10.相互作用
10.2併用注意(併用に注意すること)
11.副作用
11.1重大な副作用
11.2その他の副作用
13.過量投与
14.適用上の注意
18.薬効薬理
18.1作用機序
19.有効成分に関する理化学的知見
22.包装
23.主要文献
24.文献請求先及び問い合わせ先
26.製造販売業者等

ブチルスコポラミン臭化物注射液20mg「タカタ」

添付文書番号

1242401A1382_1_05

企業コード

400186

作成又は改訂年月

2023年11月改訂(第1版)

日本標準商品分類番号

871242

薬効分類名

鎮痙剤

承認等

ブチルスコポラミン臭化物注射液20mg「タカタ」

販売名コード

YJコード

1242401A1382

販売名英語表記

Scopolamine Butylbromide Injection 20mg “TAKATA”

販売名ひらがな

ぶちるすこぽらみんしゅうかぶつちゅうしゃえき20mg「たかた」

承認番号等

承認番号

23000AMX00127

販売開始年月

1972年4月

貯法・有効期間

貯法

室温保存

有効期間

4年

一般的名称

ブチルスコポラミン臭化物

2. 禁忌(次の患者には投与しないこと)

  1. 2.1 出血性大腸炎の患者

    [腸管出血性大腸菌(O157等)や赤痢菌等の重篤な細菌性下痢患者では、症状の悪化、治療期間の延長をきたすおそれがある。]

  2. 2.2 閉塞隅角緑内障の患者

    [抗コリン作用により眼圧が上昇し、症状を悪化させることがある。]

  3. 2.3 前立腺肥大による排尿障害のある患者

    [更に尿を出にくくすることがある。]

  4. 2.4 重篤な心疾患のある患者

    [心拍数を増加させ、症状を悪化させるおそれがある。]

  5. 2.5 麻痺性イレウスの患者

    [消化管運動を抑制し、症状を悪化させるおそれがある。]

  6. 2.6 本剤に対し過敏症の既往歴のある患者

3. 組成・性状

3.1 組成

ブチルスコポラミン臭化物注射液20mg「タカタ」

有効成分1アンプル(1mL)中
日局 ブチルスコポラミン臭化物   20mg
添加剤生理食塩液

3.2 製剤の性状

ブチルスコポラミン臭化物注射液20mg「タカタ」

pH3.7~5.0
性状無色~ほとんど無色澄明の液
浸透圧比(生理食塩液に対する比)約1

4. 効能又は効果

  • 下記疾患における痙攣並びに運動機能亢進
    • 胃・十二指腸潰瘍、食道痙攣、幽門痙攣、胃炎、腸炎、腸疝痛、痙攣性便秘、機能性下痢、胆のう・胆管炎、胆石症、胆道ジスキネジー、胃・胆のう切除後の後遺症、尿路結石症、膀胱炎、器具挿入による尿道・膀胱痙攣、月経困難症、分娩時の子宮下部痙攣
  • 消化管のX線及び内視鏡検査の前処置

6. 用法及び用量

ブチルスコポラミン臭化物として、通常成人1回10~20mgを静脈内又は皮下、筋肉内注射する。
なお、年齢、症状により適宜増減する。

8. 重要な基本的注意

  1. 8.1 まれにショックを起こすことがあるので、本剤の使用に際しては、救急処置の準備を行うこと。
  2. 8.2 投与に際し、ショック発現を完全に防止する方法はないが、出来る限り回避するために次の事項に注意すること。
    • 患者の体調について、十分に問診を行うこと。
    • 注射後は、患者の状態を観察し、異常があれば直ちに救急処置を行うこと。
  3. 8.3 眼の調節障害、眠気、めまい等を起こすことがあるので、本剤投与中の患者には自動車の運転等危険を伴う機械の操作に従事させないように注意すること。

9. 特定の背景を有する患者に関する注意

9.1 合併症・既往歴等のある患者

  1. 9.1.1 細菌性下痢患者

    治療上やむを得ないと判断される場合を除き、投与しないこと。治療期間の延長をきたすおそれがある。

  2. 9.1.2 前立腺肥大のある患者(排尿障害のある患者を除く)

    尿を出にくくすることがある。

  3. 9.1.3 うっ血性心不全のある患者

    心拍数を増加させ、症状を悪化させるおそれがある。

  4. 9.1.4 不整脈のある患者

    心拍数を増加させ、症状を悪化させるおそれがある。

  5. 9.1.5 潰瘍性大腸炎の患者

    中毒性巨大結腸を起こすおそれがある。

  6. 9.1.6 甲状腺機能亢進症の患者

    心拍数を増加させ、症状を悪化させるおそれがある。

  7. 9.1.7 高温環境にある患者

    汗腺分泌を抑制し、体温調節を障害するおそれがある。

  8. 9.1.8 開放隅角緑内障の患者

    抗コリン作用により眼圧が上昇し、症状を悪化させることがある。

9.5 妊婦

妊婦又は妊娠している可能性のある女性には、治療上の有益性が危険性を上回ると判断される場合にのみ投与すること。

9.6 授乳婦

治療上の有益性及び母乳栄養の有益性を考慮し、授乳の継続又は中止を検討すること。

9.7 小児等

小児等を対象とした臨床試験は実施していない。

9.8 高齢者

慎重に投与すること。前立腺肥大を伴っている場合が多い。

10. 相互作用

    10.2 併用注意(併用に注意すること)

    薬剤名等臨床症状・措置方法機序・危険因子
    • 抗コリン作用を有する薬剤
      • 三環系抗うつ剤
      • フェノチアジン系薬剤
      • モノアミン酸化酵素阻害剤
      • 抗ヒスタミン剤等

    抗コリン作用(口渇、眼の調節障害、心悸亢進等)が増強することがある。

    併用により本剤の作用が増強されることがある。

    • ドパミン拮抗剤
      • メトクロプラミド等

    相互に消化管における作用を減弱するおそれがある。

    本剤は消化管運動を抑制するため、ドパミン拮抗剤の消化管運動亢進作用と拮抗する。

    11. 副作用

    次の副作用があらわれることがあるので、観察を十分に行い、異常が認められた場合には投与を中止するなど適切な処置を行うこと。

    11.1 重大な副作用

    1. 11.1.1 ショック、アナフィラキシー(いずれも頻度不明)

      悪心・嘔吐、悪寒、皮膚蒼白、血圧低下、呼吸困難、気管支攣縮、浮腫、血管浮腫等があらわれることがある。,

    11.2 その他の副作用

    5%以上

    0.1~5%未満

    0.1%未満

    頻度不明

    調節障害

    散瞳、閉塞隅角緑内障

    消化器

    口渇

    悪心・嘔吐

    泌尿器

    排尿障害

    精神神経系

    頭痛、頭重感、眠気、めまい

    循環器

    心悸亢進

    過敏症

    発疹

    蕁麻疹、紅斑、そう痒症

    その他

    顔面紅潮

    13. 過量投与

    1. 13.1 症状

      口渇、眼の調節障害、せん妄、心悸亢進、血圧上昇等を引き起こす可能性がある。

    2. 13.2 処置

      必要に応じ、副交感神経興奮薬の投与を行うこと。

    14. 適用上の注意

    14.1 薬剤投与時の注意

    • 〈静脈内投与〉
      1. 14.1.1 静脈内注射にあたっては患者の状態を観察しながらゆっくり注射すること。
    • 〈皮下・筋肉内投与〉
      1. 14.1.2 動物実験で充血、出血、変性等の局所障害が認められるので皮下、筋肉内注射にあたっては、組織・神経等への影響を避けるため、下記の点に留意すること。
        • 神経走行部位を避けるよう注意して注射すること。
        • 繰り返し注射する場合には、例えば左右交互に注射するなど、注射部位を変えて行うこと。
          なお、乳幼小児には連用しないことが望ましい。
        • 注射針を刺入したとき、激痛を訴えたり、血液の逆流をみた場合には、直ちに針を抜き、部位を変えて注射すること。

    18. 薬効薬理

    18.1 作用機序

    ブチルスコポラミン臭化物はムスカリン受容体遮断薬で、アトロピンと同様に副交感神経興奮による反応を抑制することにより様々な作用を現す。これらの作用のうち、ブチルスコポラミンはその内臓平滑筋弛緩作用が臨床的に利用され、主として鎮痙薬として用いられる1)

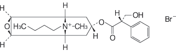
    19. 有効成分に関する理化学的知見

    一般的名称

    ブチルスコポラミン臭化物
    (Scopolamine Butylbromide)

    化学名

    (1R,2R,4S,5S,7s,9r)-9-Butyl-7-[(2S)-3-hydroxy-2-phenylpropanoyloxy]-9-methyl-3-oxa-9-azoniatricyclo[3.3.1.02,4]nonane bromide

    分子式

    C21H30BrNO4

    分子量

    440.37

    性状

    白色の結晶又は結晶性の粉末である。
    水に極めて溶けやすく、酢酸(100)に溶けやすく、エタノール(95)にやや溶けやすく、メタノールにやや溶けにくく、無水酢酸に溶けにくく、ジエチルエーテルにほとんど溶けない。
    融点:約140℃(分解)

    化学構造式

    旋光度

    〔α〕20D:−18.0~−20.0°(乾燥後、1g、水、10mL、100mm)

    pH

    1.0gを水10mLに溶かした液のpHは5.5~6.5である。

    22. 包装

    1mL×50アンプル[ガラスアンプル]

    24. 文献請求先及び問い合わせ先

    高田製薬株式会社 文献請求窓口

    〒336-8666 さいたま市南区沼影1丁目11番1号

    電話 0120-989-813
    FAX 048-816-4183

    26. 製造販売業者等

    26.1 製造販売元

    高田製薬株式会社

    さいたま市西区宮前町203番地1

    〒100-0013 東京都千代田区霞が関3-3-2 新霞が関ビル

    画面を閉じる

    Copyright © Pharmaceuticals and Medical Devices Agency, All Rights reserved.