医療用医薬品 詳細表示

プロカテロール塩酸塩DS0.01%「タカタ」

処方せん医薬品以外の医薬品

添付文書番号
企業コード
作成又は改訂年月
日本標準商品分類番号
薬効分類名
承認等
一般的名称
2.禁忌(次の患者には投与しないこと)
3.組成・性状
3.1組成
3.2製剤の性状
4.効能又は効果
5.効能又は効果に関連する注意
6.用法及び用量
7.用法及び用量に関連する注意
8.重要な基本的注意
9.特定の背景を有する患者に関する注意
9.1合併症・既往歴等のある患者
9.5妊婦
9.6授乳婦
9.7小児等
9.8高齢者
10.相互作用
10.2併用注意(併用に注意すること)
11.副作用
11.1重大な副作用
11.2その他の副作用
12.臨床検査結果に及ぼす影響
13.過量投与
14.適用上の注意
15.その他の注意
15.2非臨床試験に基づく情報
16.薬物動態
16.1血中濃度
18.薬効薬理
18.1作用機序
19.有効成分に関する理化学的知見
20.取扱い上の注意
22.包装
23.主要文献
24.文献請求先及び問い合わせ先
26.製造販売業者等

プロカテロール塩酸塩DS0.01%「タカタ」

添付文書番号

2259004R1036_1_04

企業コード

400186

作成又は改訂年月

2023年10月改訂(第1版)

日本標準商品分類番号

872259

薬効分類名

気管支拡張剤

承認等

プロカテロール塩酸塩DS0.01%「タカタ」

販売名コード

YJコード

2259004R1036

販売名英語表記

Procaterol Hydrochloride Dry Syrup “TAKATA”

販売名ひらがな

ぷろかてろーるえんさんえんDS0.01%「たかた」

承認番号等

承認番号

23100AMX00027

販売開始年月

2001年7月

貯法・有効期間

貯法

室温保存

有効期間

3年

一般的名称

プロカテロール塩酸塩水和物

2. 禁忌(次の患者には投与しないこと)

本剤の成分に対し過敏症の既往歴のある患者

3. 組成・性状

3.1 組成

プロカテロール塩酸塩DS0.01%「タカタ」

有効成分1g中
日局プロカテロール塩酸塩水和物   0.10mg
添加剤精製白糖、D-マンニトール、無水クエン酸

3.2 製剤の性状

プロカテロール塩酸塩DS0.01%「タカタ」

性状白色の微粒又は粉末で、味は甘い。

4. 効能又は効果

下記疾患の気道閉塞性障害に基づく呼吸困難など諸症状の緩解

  • 気管支喘息、慢性気管支炎、肺気腫、急性気管支炎、喘息様気管支炎

5. 効能又は効果に関連する注意

  • 〈気管支喘息〉

    気管支喘息治療における長期管理の基本は、吸入ステロイド剤等の抗炎症剤の使用であり、吸入ステロイド剤等により症状の改善が得られない場合、あるいは患者の重症度から吸入ステロイド剤等との併用による治療が適切と判断された場合にのみ、本剤と吸入ステロイド剤等を併用して使用すること。

6. 用法及び用量

通常、成人にはプロカテロール塩酸塩水和物として1回50μg(ドライシロップとして0.5 g)を1日1回就寝前ないしは1日2回、朝及び就寝前に用時溶解して経口投与する。

  • 6歳以上の小児にはプロカテロール塩酸塩水和物として1回25μg(ドライシロップとして0.25g)を1日1回就寝前ないしは1日2回、朝及び就寝前に用時溶解して経口投与する。
    6歳未満の乳幼児にはプロカテロール塩酸塩水和物として1回1.25μg/kg(ドライシロップとして0.0125g/kg)を1日2回、朝及び就寝前ないしは1日3回、朝、昼及び就寝前に用時溶解して経口投与する。

なお、年齢、症状により適宜増減する。

7. 用法及び用量に関連する注意

6歳未満の乳幼児における体重当たりの1回投与量は以下のとおりである。

体重

1回投与量

体重

1回投与量

体重

1回投与量

4kg

0.05g

10kg

0.12g

16kg

0.20g

6kg

0.07g

12kg

0.15g

18kg

0.22g

8kg

0.10g

14kg

0.17g

20kg

0.25g

8. 重要な基本的注意

  • 〈効能共通〉
    1. 8.1 用法及び用量どおり正しく使用しても効果が認められない場合には、本剤が適当でないと考えられるので投与を中止すること。
    2. 8.2 過度に使用を続けた場合、不整脈、場合によっては心停止を起こすおそれがあるので、使用が過度にならないように注意すること。
  • 〈気管支喘息、慢性気管支炎、肺気腫〉
    1. 8.3 本剤の投与期間中に発現する急性の発作に対しては、短時間作動型吸入β2刺激剤等の他の適切な薬剤を使用するよう患者、保護者又はそれに代わり得る適切な者に注意を与えること。
      また、その薬剤の使用量が増加したり、あるいは効果が十分でなくなってきた場合には、疾患の管理が十分でないことが考えられるので、可及的速やかに医療機関を受診し治療を受けるよう患者、保護者又はそれに代わり得る適切な者に注意を与えること。
  • 〈気管支喘息〉
    1. 8.4 本剤は吸入ステロイド剤等の抗炎症剤の代替薬ではないため、患者が本剤の使用により症状改善を感じた場合であっても、医師の指示なく吸入ステロイド剤等を減量又は中止し、本剤を単独で用いることのないよう、患者、保護者又はそれに代わり得る適切な者に注意を与えること。
    2. 8.5 本剤の投与期間中に発現する急性の発作に対して、短時間作動型吸入β2刺激剤等の薬剤の使用量が増加したり、あるいは効果が十分でなくなってきた場合には、患者の生命が脅かされる可能性があるので、患者の症状に応じて吸入ステロイド剤等の増量等の抗炎症療法の強化を行うこと。

9. 特定の背景を有する患者に関する注意

9.1 合併症・既往歴等のある患者

  1. 9.1.1 甲状腺機能亢進症の患者

    甲状腺機能亢進症が増悪することがある。

  2. 9.1.2 高血圧の患者

    血圧が上昇することがある。

  3. 9.1.3 心疾患の患者

    動悸、不整脈、症状の増悪等があらわれることがある。

  4. 9.1.4 糖尿病の患者

    糖尿病が増悪することがある。

  5. 9.1.5 低酸素血症の患者

    血清カリウム値をモニターすることが望ましい。低酸素血症は血清カリウム値の低下が心リズムに及ぼす作用を増強することがある。

9.5 妊婦

妊婦又は妊娠している可能性のある女性には、治療上の有益性が危険性を上回ると判断される場合にのみ投与すること。動物実験(ラット)で胎児への移行が報告されている。

9.6 授乳婦

治療上の有益性及び母乳栄養の有益性を考慮し、授乳の継続又は中止を検討すること。動物実験(ラット)で乳汁中への移行が報告されている。

9.7 小児等

低出生体重児又は新生児を対象とした有効性及び安全性を指標とした臨床試験は実施していない。

9.8 高齢者

減量するなど注意すること。一般に生理機能が低下している。

10. 相互作用

    10.2 併用注意(併用に注意すること)

    薬剤名等臨床症状・措置方法機序・危険因子

    カテコールアミン製剤

    • アドレナリン
      イソプレナリン等

    不整脈、場合によっては心停止を起こすおそれがある。

    アドレナリン、イソプレナリン等のカテコールアミン製剤の併用によりアドレナリン作動性神経刺激の増大が起こる。そのため不整脈を起こすことが考えられる。

    キサンチン誘導体

    • テオフィリン
      アミノフィリン水和物
      ジプロフィリン等

    低カリウム血症、心・血管症状(頻脈、不整脈等)等のβ刺激剤の副作用症状を増強させることがある。副作用の発現に注意し、異常が認められた場合には減量又は投与を中止するなど適切な処置を行うこと。

    キサンチン誘導体はアドレナリン作動性神経刺激を増大させるため、血清カリウム値の低下、心・血管症状等を増強することが考えられる。低カリウム血症の増強についての機序は不明である。

    ステロイド剤

    • ベタメタゾン
      プレドニゾロン
      ヒドロコルチゾンコハク酸エステルナトリウム等

    利尿剤

    • フロセミド等

    血清カリウム値が低下し、低カリウム血症による不整脈を起こすおそれがある。副作用の発現に注意し、異常が認められた場合には減量又は投与を中止するなど適切な処置を行うこと。

    ステロイド剤及び利尿剤は尿細管でのカリウム排泄促進作用があるため、血清カリウム値の低下を増強することが考えられる。

    11. 副作用

    次の副作用があらわれることがあるので、観察を十分に行い、異常が認められた場合には投与を中止するなど適切な処置を行うこと。

    11.1 重大な副作用

    1. 11.1.1 ショック、アナフィラキシー(頻度不明)
    2. 11.1.2 重篤な血清カリウム値の低下(頻度不明)

      キサンチン誘導体、ステロイド剤及び利尿剤の併用により増強することがあるので、重症喘息患者では特に注意すること。,

    11.2 その他の副作用

    0.1~5%未満

    0.1%未満

    頻度不明

    循環器

    動悸、頻脈

    ほてり等

    上室性期外収縮・上室性頻拍・心室性期外収縮・心房細動等

    精神神経系

    振戦、頭痛、めまい

    不眠、手足のしびれ感等

    手指の痙縮、筋痙直、筋痙攣、神経過敏

    消化器

    嘔気、胃部不快感等

    嘔吐、口渇

    過敏症

    発疹等

    そう痒感

    肝臓

    AST、ALT、LDHの上昇等の肝機能障害

    その他

    脱力感、鼻閉、耳鳴

    全身倦怠感、血清カリウム値の低下、血糖上昇

    12. 臨床検査結果に及ぼす影響

    本剤はアレルゲンによる皮膚反応に抑制的に作用するので、皮膚テストを実施する場合には、12時間前より本剤の投与を中止することが望ましい。

    13. 過量投与

    1. 13.1 症状

      過量投与により、頻脈、頻脈性不整脈、血圧低下、神経過敏、振戦、低カリウム血症、高血糖、乳酸アシドーシス等があらわれることがある。

    2. 13.2 処置

      重篤な頻脈性不整脈発現時にはβ遮断剤(プロプラノロール塩酸塩等)が有効な場合があるが、気道抵抗を上昇させるおそれがあるので、喘息患者等への投与には十分注意すること。

    14. 適用上の注意

    14.1 薬剤調製時の注意

    溶解後はできるだけ速やかに使用すること。

    15. その他の注意

    15.2 非臨床試験に基づく情報

    1. 15.2.1 ラットを用いた14週間反復投与毒性試験で30mg/kg、26週間反復投与毒性試験で10mg/kg以上の用量で心筋障害が認められた1),2)。この心筋障害はイヌにおいても認められたが、他のβ刺激薬でもラット及びイヌにおいて認められた。
    2. 15.2.2 ラットを用いた104週間混餌投与試験において、薬物投与により、卵巣間膜腫が出現した。この腫瘍はラットに特異的なものであると考えられており、また、各種β刺激薬を長期間反復投与することにより発現することが報告されている3)

    16. 薬物動態

    16.1 血中濃度

    1. 16.1.1 生物学的同等性試験

      プロカテロール塩酸塩DS0.01%「タカタ」とメプチンシロップ5μg/mLをクロスオーバー法により、健康成人男子6名にそれぞれプロカテロール塩酸塩水和物として0.1mgを空腹時に単回経口投与し、投与前、投与後0.5、1、1.5、2、2.5、3、4、6、8、12及び24時間に前腕静脈から採血した。LC/MS/MSにより測定したプロカテロール塩酸塩水和物の血漿中濃度の推移及びパラメータは次のとおりであり、統計解析にて90%信頼区間を求めた結果、判定パラメータの対数値の平均値の差はlog(0.8)~log(1.25)の範囲にあり、両剤の生物学的同等性が確認された4)

      図16-1 血漿中濃度
      表16-1 薬物動態パラメータ

      判定パラメータ

      参考パラメータ

      AUCt(pg・hr/mL)

      Cmax(pg/mL)

      tmax(hr)

      t1/2(hr)

      プロカテロール塩酸塩DS0.01%「タカタ」

      1426.64±303.15

      227.91±68.45

      1.8±0.9

      3.7±0.4

      メプチンシロップ5μg/mL

      1409.01±328.56

      241.93±96.59

      1.7±1.1

      3.9±0.7

      (Mean±S.D.,n=6)

      血漿中濃度並びにAUC、Cmax等のパラメータは、被験者の選択、体液の採取回数・時間等の試験条件によって異なる可能性がある。

    18. 薬効薬理

    18.1 作用機序

    プロカテロール塩酸塩水和物は気管支平滑筋のβ2受容体を選択的に刺激し、気管支拡張作用を発現する5),6)

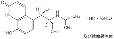
    19. 有効成分に関する理化学的知見

    一般的名称

    プロカテロール塩酸塩水和物
    (Procaterol Hydrochloride Hydrate)

    化学名

    8-Hydroxy-5-{(1RS,2SR)-1-hydroxy-2-[(1-methylethyl)amino]butyl}quinolin-2
    (1H)-one monohydrochloride hemihydrate

    分子式

    C16H22N2O3・HCl・½H2O

    分子量

    335.83

    性状

    白色~微黄白色の結晶又は結晶性の粉末である。
    水、ギ酸又はメタノールにやや溶けやすく、エタノール(95)に溶けにくく、ジエチルエーテルにほとんど溶けない。
    1.0gを水100mLに溶かした液のpHは4.0~5.0である。
    光によって徐々に着色する。
    水溶液(1→20)は旋光性を示さない。
    融点 約195℃(分解)

    化学構造式

    20. 取扱い上の注意

    1. 20.1 本品は湿気により凝集及び着色するおそれがあるので、使用の都度密栓すること。
    2. 20.2 小分け後は湿気を避けて遮光保存すること。

    22. 包装

    100g[プラスチック瓶、バラ、乾燥剤入り]

    24. 文献請求先及び問い合わせ先

    高田製薬株式会社 文献請求窓口

    〒336-8666 さいたま市南区沼影1丁目11番1号

    電話 0120-989-813
    FAX 048-838-2121

    26. 製造販売業者等

    26.1 製造販売元

    高田製薬株式会社

    さいたま市西区宮前町203番地1

    〒100-0013 東京都千代田区霞が関3-3-2 新霞が関ビル

    画面を閉じる

    Copyright © Pharmaceuticals and Medical Devices Agency, All Rights reserved.