医療用医薬品 詳細表示

グラニセトロン点滴静注バッグ3mg/50mL「NK」/グラニセトロン点滴静注バッグ3mg/100mL「NK」

処方せん医薬品

添付文書番号
企業コード
作成又は改訂年月
日本標準商品分類番号
薬効分類名
承認等
一般的名称
2.禁忌(次の患者には投与しないこと)
3.組成・性状
3.1組成
3.2製剤の性状
4.効能又は効果
5.効能又は効果に関連する注意
6.用法及び用量
7.用法及び用量に関連する注意
9.特定の背景を有する患者に関する注意
9.1合併症・既往歴等のある患者
9.2腎機能障害患者
9.5妊婦
9.6授乳婦
9.7小児等
9.8高齢者
10.相互作用
10.2併用注意(併用に注意すること)
11.副作用
11.1重大な副作用
11.2その他の副作用
14.適用上の注意
15.その他の注意
15.2非臨床試験に基づく情報
16.薬物動態
16.1血中濃度
16.4代謝
16.5排泄
17.臨床成績
17.1有効性及び安全性に関する試験
18.薬効薬理
18.1作用機序
18.2抗悪性腫瘍剤誘発嘔吐の抑制
18.3放射線照射誘発嘔吐の抑制
19.有効成分に関する理化学的知見
20.取扱い上の注意
22.包装
23.主要文献
24.文献請求先及び問い合わせ先
26.製造販売業者等

グラニセトロン点滴静注バッグ3mg/50mL「NK」/グラニセトロン点滴静注バッグ3mg/100mL「NK」

添付文書番号

2391400G1164_2_02

企業コード

400186

作成又は改訂年月

2024年1月改訂(第1版)

日本標準商品分類番号

872391

薬効分類名

5-HT3受容体拮抗型制吐剤

承認等

グラニセトロン点滴静注バッグ3mg/50mL「NK」

販売名コード

YJコード

2391400G4058

販売名英語表記

Granisetron for I.V. Infusion Bag 3mg/50mL 「NK」

販売名ひらがな

ぐらにせとろんてんてきじょうちゅうばっぐ3mg/50mL「NK」

承認番号等

承認番号

22400AMX00437

販売開始年月

2012年7月

貯法・有効期間

貯法

室温保存

有効期間

3年

グラニセトロン点滴静注バッグ3mg/100mL「NK」

販売名コード

YJコード

2391400G1164

販売名英語表記

Granisetron for I.V. Infusion Bag 3mg/100mL 「NK」

販売名ひらがな

ぐらにせとろんてんてきじょうちゅうばっぐ3mg/100mL「NK」

承認番号等

承認番号

22400AMX00049

販売開始年月

2008年7月

貯法・有効期間

貯法

室温保存

有効期間

3年

一般的名称

グラニセトロン塩酸塩

2. 禁忌(次の患者には投与しないこと)

本剤の成分に対し過敏症の既往歴のある患者

3. 組成・性状

3.1 組成

グラニセトロン点滴静注バッグ3mg/50mL「NK」

有効成分1袋(50mL)中
グラニセトロン塩酸塩   3.35mg
(グラニセトロンとして   3.00mg )
添加剤塩化ナトリウム  450mg
クエン酸水和物  6mg
pH調節剤(水酸化ナトリウム、塩酸)

グラニセトロン点滴静注バッグ3mg/100mL「NK」

有効成分1袋(100mL)中
グラニセトロン塩酸塩   3.35mg
(グラニセトロンとして   3.00mg )
添加剤塩化ナトリウム  900mg
クエン酸水和物  6mg
pH調節剤(水酸化ナトリウム、塩酸)

3.2 製剤の性状

グラニセトロン点滴静注バッグ3mg/50mL「NK」

pH5.0~7.0
性状無色澄明の液
浸透圧比
(生理食塩液に対する比)
0.9~1.1

グラニセトロン点滴静注バッグ3mg/100mL「NK」

pH5.0~7.0
性状無色澄明の液
浸透圧比
(生理食塩液に対する比)
0.9~1.1

4. 効能又は効果

抗悪性腫瘍剤(シスプラチン等)投与及び放射線照射に伴う消化器症状(悪心、嘔吐)

5. 効能又は効果に関連する注意

  1. 5.1 本剤を抗悪性腫瘍剤の投与に伴う消化器症状(悪心、嘔吐)に対して使用する場合は、強い悪心、嘔吐が生じる抗悪性腫瘍剤(シスプラチン等)の投与に限り使用すること。
  2. 5.2 本剤を放射線照射に伴う消化器症状(悪心、嘔吐)に対して使用する場合は、強い悪心、嘔吐が生じる全身照射や上腹部照射等に限り使用すること。

6. 用法及び用量

  • 〈抗悪性腫瘍剤(シスプラチン等)投与に伴う消化器症状(悪心、嘔吐)〉

    成人:通常、成人にはグラニセトロンとして40μg/kgを1日1回点滴静注する。なお、年齢、症状により適宜増減するが、症状が改善されない場合には、40μg/kgを1回追加投与できる。
    小児:通常、小児にはグラニセトロンとして40μg/kgを1日1回点滴静注する。なお、年齢、症状により適宜増減するが、症状が改善されない場合には、40μg/kgを1回追加投与できる。

  • 〈放射線照射に伴う消化器症状(悪心、嘔吐)〉

    通常、成人にはグラニセトロンとして1回40μg/kgを点滴静注する。なお、年齢、症状により適宜増減する。ただし、1日2回投与までとする。

7. 用法及び用量に関連する注意

放射線照射に伴う消化器症状に対して使用する場合は、放射線照射前に点滴静注する。なお、造血幹細胞移植前処置時の放射線全身照射(TBI:Total Body Irradiation)に伴う消化器症状に対して使用する場合は、投与期間は4日間を目安とする。

9. 特定の背景を有する患者に関する注意

9.1 合併症・既往歴等のある患者

  1. 9.1.1 心臓、循環器系機能障害のある患者
    • (生理食塩液に関する注意)

      循環血液量を増すことから心臓に負担をかけ、症状が悪化するおそれがある。

  2. 9.1.2 消化管通過障害の症状のある患者

    本剤投与後観察を十分に行うこと。本剤の投与により消化管運動の低下があらわれることがある。

9.2 腎機能障害患者

  • (生理食塩液に関する注意)

    水分、塩化ナトリウムの過剰投与に陥りやすく、症状が悪化するおそれがある。

9.5 妊婦

治療上の有益性が危険性を上回ると判断される場合にのみ投与すること。妊娠前及び妊娠初期投与(ラット、0.1~6.0mg/kg皮下)、胎児の器官形成期投与(ラット、0.3~9.0mg/kg静注、ウサギ、0.3~3.0mg/kg静注)、周産期及び授乳期投与(ラット、0.1~6.0mg/kg皮下)の各試験において、雌雄の生殖能、次世代児の発育・生殖能に影響はなく、催奇性もみられなかった。1),2)

9.6 授乳婦

治療上の有益性及び母乳栄養の有益性を考慮し、授乳の継続又は中止を検討すること。授乳中のラットに14C標識グラニセトロン塩酸塩3mg/kgを静脈内投与し、乳児に哺乳させた際の乳児の胃(乳汁を含む内容物)中の放射能を測定したところ、投与量の0.5%以下であった。3)

9.7 小児等

  • 〈抗悪性腫瘍剤(シスプラチン等)投与に伴う消化器症状(悪心、嘔吐)〉
    1. 9.7.1 低出生体重児、新生児、乳児を対象とした臨床試験は実施していない。
  • 〈放射線照射に伴う消化器症状(悪心、嘔吐)〉
    1. 9.7.2 小児等を対象とした臨床試験は実施していない。

9.8 高齢者

副作用の発現に注意し、慎重に投与すること。

10. 相互作用

    10.2 併用注意(併用に注意すること)

    薬剤名等臨床症状・措置方法機序・危険因子

    セロトニン作用薬

    • 選択的セロトニン再取り込み阻害剤(SSRI)
      セロトニン・ノルアドレナリン再取り込み阻害剤(SNRI)
      MAO阻害剤 等

    セロトニン症候群(不安、焦燥、興奮、錯乱、発熱、発汗、頻脈、振戦、ミオクローヌス等)があらわれるおそれがある。

    セロトニン作用が増強するおそれがある。

    11. 副作用

    次の副作用があらわれることがあるので、観察を十分に行い、異常が認められた場合には投与を中止するなど適切な処置を行うこと。

    11.1 重大な副作用

    1. 11.1.1 ショック、アナフィラキシー(いずれも頻度不明)

      ショック、アナフィラキシー(そう痒感、発赤、胸部苦悶感、呼吸困難、血圧低下等)があらわれるとの報告がある。

    11.2 その他の副作用

    0.1~2%未満

    頻度不明

    過敏症

    発疹

    発赤

    精神神経系

    不眠

    めまい、頭痛

    循環器

    頻脈

    消化器

    便秘、胃もたれ感

    下痢、腹痛

    肝臓

    AST、ALT上昇等の肝機能検査値異常

    その他

    発熱、全身倦怠感

    顔面潮紅

    14. 適用上の注意

    14.1 薬剤調製時の注意

    1. 14.1.1 次の場合には使用しないこと。
      • 外袋が破損しているときや内側に液滴が認められるとき。
      • 内容液が着色又は混濁しているとき。
    2. 14.1.2 残液は使用しないこと。
    3. 14.1.3 容器の液目盛りはおよその目安として使用すること。

    14.2 薬剤投与時の注意

    患者の体重による適正な用量を遵守すること。

    15. その他の注意

    15.2 非臨床試験に基づく情報

    1. 15.2.1 がん原性

      マウス及びラットに1、5、50mg/kgを2年間経口投与し対照群と比較した。マウスでは50mg/kg群の雄で肝細胞がん、50mg/kg群の雌で肝細胞腺腫の増加がみられた。また、ラットでは5mg/kg以上群の雄及び50mg/kg群の雌で肝細胞腫瘍の増加がみられた。しかし、1mg/kg群(臨床用量の25倍に相当する)では、マウス及びラットとも肝細胞腫瘍の増加は認められなかった。

    16. 薬物動態

    16.1 血中濃度

    1. 16.1.1 日本人における成績
      1. (1) 単回静脈内点滴投与4),5)

        健康成人男子6例にグラニセトロンとして40μg/kgを30分かけて静脈内点滴投与した。血漿中濃度は点滴終了時に最高値を示し、以後2相性に消失した。

        表16-1 単回静脈内点滴投与後の薬物動態学的定数

        投与量
        (μg/kg)

        Cmax
        (ng/mL)

        t1/2β
        (hr)

        AUC
        (ng・hr/mL)

        Vd
        (L/kg)

        40

        19.48±6.05

        3.14±1.20

        63.06±36.54

        3.30±1.22

        mean±SD

      2. (2) 単回静脈内投与6)

        健康成人男子11例にグラニセトロンとして40μg/kgを2分間かけて静脈内投与した。血漿中濃度は投与後5分で最高値に達し、以後2相性に消失した。

        表16-2 単回静脈内投与後の薬物動態学的定数

        投与量
        (μg/kg)

        Cmax
        (ng/mL)

        t1/2
        (hr)

        AUC
        (ng・hr/mL)

        40

        42.77±22.33

        3.18±1.57

        64.99±39.60

        mean±SD

    2. 16.1.2 外国人における成績7)(参考)

      欧米人小児癌患者(2~16歳、36例)にグラニセトロンとして40μg/kgを30分かけて静脈内点滴投与した。血漿中濃度は点滴終了時に最高値を示した(各患者の採血時間が異なるため、薬物動態学的パラメータは中央値と最小-最大で示した)。

      表16-3 欧米人小児患者にグラニセトロン40μg/kgを30分点滴静注した時の薬物動態学的パラメータ

      投与量
      (μg/kg)

      Cmax
      (ng/mL)

      t1/2
      (hr)

      AUC
      (ng・hr/mL)

      Vd
      (L/kg)

      40

      43.1
      (14.3-276)
      n=36

      5.63
      (0.9-21.1)
      n=27

      185
      (43.7-781)
      n=22

      1.34
      (0.541-2.71)
      n=22

      中央値(最小-最大)

    16.4 代謝

    1. 16.4.1 代謝部位8)

      肝臓

    2. 16.4.2 代謝経路8)

      グラニセトロンは水酸化及び脱メチル化の代謝を受け、主な代謝は芳香環7位の水酸化である。
      ヒト肝ミクロゾームを用いて行なったin vitro試験の結果では、グラニセトロンの芳香環7位の水酸化及びN-脱メチル化の代謝にはP450(CYP3A)の関与が報告されている。

    3. 16.4.3 尿中代謝物9)

      尿中代謝物は、7-hydroxyの遊離型及び抱合型が主であり、N9’-desmethyl及びN1-desmethylも認められた。

    16.5 排泄

    1. 16.5.1 排泄部位9)

      主な排泄経路は腎臓。

    2. 16.5.2 排泄率
      1. (1) 単回静脈内点滴投与4)

        健康成人男子6例に、グラニセトロンとして40μg/kgを30分かけて静脈内点滴投与した際の尿中排泄を検討した。その結果、グラニセトロンの平均排泄率は以下のとおりであった。

        表16-4 単回静脈内点滴投与後の尿中排泄率

        時間(hr)

        0~2

        2~4

        4~6

        6~12

        12~24

        24~48

        排泄率

        7.6%

        2.1%

        1.9%

        2.1%

        1.8%

        1.0%

      2. (2) 単回静脈内投与6)

        健康成人男子11例にグラニセトロンとして40μg/kgを約2分間かけて静脈内投与した際の48時間後までの尿中グラニセトロン排泄率は11.04%であった。

    17. 臨床成績

    17.1 有効性及び安全性に関する試験

    1. 17.1.1 抗悪性腫瘍剤誘発嘔吐の抑制
      1. (1) 成人の成績

        二重盲検比較試験10)及び一般臨床試験11),12)の概要は次のとおりである。
        抗悪性腫瘍剤(主としてシスプラチン)投与により発現した悪心、嘔吐に対しグラニセトロンとして40μg/kgを点滴静注したところ、有効率(有効以上)は86.6%(71/82例)であった。また、抗悪性腫瘍剤(主としてシスプラチン)投与30分前にグラニセトロンとして40μg/kgを点滴静注した場合の有効率(有効以上)は83.3%(100/120例)であった。

      2. (2) 小児の成績

        一般臨床試験13)の概要は次のとおりである。
        抗悪性腫瘍剤(主としてシスプラチン)投与30分前にグラニセトロンとして40μg/kgを点滴静注したところ、著効率(嘔吐なし)は73.0%(119/163例)であり、また、有効率(嘔吐2回以内)は85.3%(139/163例)であった。副作用は、GOT上昇3件、GPT上昇2件、肝機能異常、ビリルビン値上昇、発疹及び便秘が各1件であった。

    2. 17.1.2 放射線照射誘発嘔吐の抑制

      一般臨床試験14)の概要は次のとおりである。
      放射線全身照射30分前にグラニセトロンとして40μg/kgを点滴静注したところ、著効率(嘔吐なし)は54.4%(37/68例)であり、また、有効率(嘔吐2回以内)は77.9%(53/68例)であった。副作用は、血中ナトリウム低下、好酸球増多、リンパ球減少、単球減少、GOT上昇、GPT上昇及びビリルビン値上昇が各1件であった。

    18. 薬効薬理

    18.1 作用機序

    1. 18.1.1 各種受容体に対する親和性15)

      ラット又はモルモット脳標本を用いて、各種受容体に対するグラニセトロン塩酸塩の親和性を検討したところ、グラニセトロンは5-HT3受容体に対しては極めて高い親和性を示したが(Ki値=0.26nM)、5-HT1(5-HT1A、5-HT1B/C、5-HT1C)、5-HT2、ドパミンD2、アドレナリンα1、α2及びβ、ベンゾジアゼピン、ピクロトキシン並びにヒスタミンH1、オピオイドμ、κ及びδの各受容体に対する親和性はほとんど認められなかった(Ki値>1000nM)。

    2. 18.1.2 5-HT誘発徐脈に対する作用16)

      5-HTによる5-HT3受容体を介した一過性の徐脈(von Bezold-Jarisch reflex)に対する作用を麻酔ラットで検討したところ、グラニセトロン塩酸塩はこの反射を用量依存的に抑制した。

    18.2 抗悪性腫瘍剤誘発嘔吐の抑制

    1. 18.2.1 シスプラチン誘発嘔吐の抑制17),18)

      フェレットにグラニセトロン塩酸塩を静注し、15分後にシスプラチン10mg/kgを静注したところ、グラニセトロン塩酸塩0.5mg/kg以上で嘔吐回数の有意な減少及び嘔吐潜伏時間の有意な延長が認められた。

    2. 18.2.2 シスプラチン誘発嘔吐に対する制吐作用17)

      フェレットにシスプラチン10mg/kgを静注し、嘔吐を生じさせて、グラニセトロン塩酸塩0.5mg/kgを静注したところ、嘔吐は投与後30秒以内に抑制された。

    3. 18.2.3 ドキソルビシンとシクロホスファミド併用による誘発嘔吐に対する作用17)

      フェレットにドキソルビシン6mg/kgとシクロホスファミド80mg/kgを静注する30分前及び30分後の2回、グラニセトロン塩酸塩0.5mg/kgを静注したところ、嘔吐回数の減少及び嘔吐潜伏時間の延長が認められた。

    18.3 放射線照射誘発嘔吐の抑制

    1. 18.3.1 放射線全身照射誘発嘔吐に対する作用19)

      フェレットにグラニセトロン塩酸塩を静注し、15分後に放射線全身照射を行ったところ、グラニセトロン塩酸塩0.05mg/kg以上で嘔吐回数の有意な減少及び嘔吐潜伏時間の有意な延長が認められた。

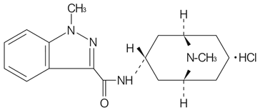
    19. 有効成分に関する理化学的知見

    一般的名称

    グラニセトロン塩酸塩
    (Granisetron Hydrochloride)

    化学名

    1-Methyl-N-(endo-9-methyl-9-azabicyclo[3.3.1]non-3-yl)-1H-indazole-3-carboxamide hydrochloride

    分子式

    C18H24N4O・HCl

    分子量

    348.87

    性状

    グラニセトロン塩酸塩は白色~微黄色の粉末又は塊のある粉末である。水に溶けやすく、メタノールにやや溶けにくい。

    化学構造式

    融点

    約291℃(分解)

    20. 取扱い上の注意

    製品の品質を保持するため、本品を包んでいる外袋は使用時まで開封しないこと。
    また、開封後は速やかに使用すること。

    22. 包装

    • 〈グラニセトロン点滴静注バッグ3mg/50mL「NK」〉

      5袋(ソフトバッグ)

    • 〈グラニセトロン点滴静注バッグ3mg/100mL「NK」〉

      5袋(ソフトバッグ)

    23. 主要文献

    1) Baldwin,J.A.et al.:基礎と臨床.1990;24:5043-5053

    2) Baldwin,J.A.et al.:基礎と臨床.1990;24:5055-5069

    3) Haddock,R.E.et al.:基礎と臨床.1990;24:6821-6843

    4) 熊倉博之他:臨床医薬.1990;6(Suppl.5):25-34

    5) 小柳純子他:臨床医薬,1990;6(Suppl.5):3-24

    6) 小柳純子他:臨床医薬,1990;6(Suppl.5):35-47

    7) 欧米人小児癌患者及び成人癌患者における薬物動態(カイトリル注射液:2000年7月3日承認、申請資料概要ヘ.2.2-1)

    8) Bloomer,J.C.et al.:Br. J. Clin. Pharmacol.1994;38(6):557-566

    9) Clarke S. E., et al.:Xenobiotica, 1994;24(11):1119-1131

    10) 古江 尚他:臨床医薬.1990;6(Suppl.5):63-86

    11) 仁井谷久暢,他:臨床医薬.1990;6(Suppl.5):87-105

    12) 町田豊平,他:臨床医薬.1990;6(Suppl.5):107-120

    13) 小児領域における抗悪性腫瘍剤投与に伴う悪心・嘔吐に対する臨床試験(カイトリル注射液:2000年7月3日承認、申請資料概要ト.1)

    14) 岡本真一郎他:今日の移植.1999;12:437-444

    15) Blower,P.R.:Eur.J.Cancer.1990;26(Suppl.1):8-11

    16) Sanger,G.J.et al.:Eur.J.Pharmacol.1989;159:113-124

    17) Bermudez,J.et al.:Br.J.Cancer.1988;58:644-650

    18) シスプラチン誘発嘔吐に対する作用(カイトリル注射液:2000年7月3日承認、申請資料概要ホ.1.1-1)

    19) 全身X線照射誘発嘔吐に対する作用(カイトリル注射液:2000年7月3日承認、申請資料概要ホ.1.1-1)

    24. 文献請求先及び問い合わせ先

    高田製薬株式会社 文献請求窓口

    〒336-8666 さいたま市南区沼影1丁目11番1号

    電話 0120-989-813
    FAX 048-816-4183

    26. 製造販売業者等

    26.1 製造販売元

    高田製薬株式会社

    さいたま市西区宮前町203番地1

    〒100-0013 東京都千代田区霞が関3-3-2 新霞が関ビル

    画面を閉じる

    Copyright © Pharmaceuticals and Medical Devices Agency, All Rights reserved.