医療用医薬品 詳細表示

ゲンタシン軟膏0.1%/ゲンタシンクリーム0.1%

添付文書番号

2634710M1077_2_05

企業コード

400186

作成又は改訂年月

2023年3月改訂(第1版)

日本標準商品分類番号

872634

薬効分類名

アミノグリコシド系抗生物質製剤

承認等

ゲンタシン軟膏0.1%

販売名コード

YJコード

2634710M1077

販売名英語表記

GENTACIN Ointment

販売名ひらがな

げんたしんなんこう0.1%

承認番号等

承認番号

22000AMX02070

販売開始年月

1970年6月

貯法・有効期間

貯法

室温保存

有効期間

3年

基準名

日本薬局方

ゲンタマイシン硫酸塩軟膏

ゲンタシンクリーム0.1%

販売名コード

YJコード

2634710N1030

販売名英語表記

GENTACIN Cream

販売名ひらがな

げんたしんくりーむ0.1%

承認番号等

承認番号

22000AMX02071

販売開始年月

1970年6月

貯法・有効期間

貯法

室温保存

有効期間

3年

一般的名称

ゲンタマイシン硫酸塩軟膏
ゲンタマイシン硫酸塩クリーム

2. 禁忌(次の患者には投与しないこと)

本剤並びに他のアミノグリコシド系抗生物質及びバシトラシンに対し過敏症の既往歴のある患者

3. 組成・性状

3.1 組成

ゲンタシン軟膏0.1%

有効成分日局 ゲンタマイシン硫酸塩   1mg(力価)
添加剤パラオキシ安息香酸メチル、パラオキシ安息香酸プロピル、流動パラフィン、白色ワセリン(抗酸化剤としてジブチルヒドロキシトルエンを含む)
1g中の含有量

ゲンタシンクリーム0.1%

有効成分日局 ゲンタマイシン硫酸塩   1mg(力価)
添加剤白色ワセリン(抗酸化剤としてジブチルヒドロキシトルエンを含む)、流動パラフィン、セタノール、ポリオキシエチレンステアリルエーテル、パラオキシ安息香酸ブチル、パラオキシ安息香酸メチル、リン酸二水素ナトリウム水和物、リン酸、水酸化ナトリウム
1g中の含有量

3.2 製剤の性状

ゲンタシン軟膏0.1%

剤形・性状白色~微黄色の半透明のなめらかな半固体であり、においはほとんどない。

ゲンタシンクリーム0.1%

剤形・性状白色でなめらかな半固体である。

4. 効能又は効果

  • 〈適応菌種〉

    ゲンタマイシンに感性のブドウ球菌属、レンサ球菌属(肺炎球菌を除く)、大腸菌、クレブシエラ属、エンテロバクター属、プロテウス属、モルガネラ・モルガニー、プロビデンシア属、緑膿菌

  • 〈適応症〉

    表在性皮膚感染症、慢性膿皮症、びらん・潰瘍の二次感染

6. 用法及び用量

1日1〜数回患部に塗布するか、あるいはガーゼなどにのばしたものを患部に貼付する。

8. 重要な基本的注意

  1. 8.1 本剤の使用にあたっては、耐性菌の発現等を防ぐため、原則として感受性を確認し、疾病の治療上必要な最小限の期間の投与にとどめること。
  2. 8.2 感作されるおそれがあるので、観察を十分に行い感作されたことを示す兆候(そう痒、発赤、腫脹、丘疹、小水疱等)があらわれた場合には使用を中止すること。
  3. 8.3 長期間連用しないこと。

11. 副作用

次の副作用があらわれることがあるので、観察を十分に行い、異常が認められた場合には投与を中止するなど適切な処置を行うこと。

11.2 その他の副作用

0.1%未満

頻度不明

過敏症

発疹

その他

腎障害、難聴

14. 適用上の注意

14.1 薬剤使用時の注意

眼科用に使用しないこと。

17. 臨床成績

17.1 有効性及び安全性に関する試験

  1. 17.1.1 国内一般臨床試験

    237例においてゲンタシン軟膏及びクリームは表在性皮膚感染症には82.8%(106/128)、湿疹及び類症の二次感染には69.8%(37/53)、慢性膿皮症の二次感染には64.9%(24/37)、びらん・潰瘍の二次感染には57.9%(11/19)の有効率を示した。

18. 薬効薬理

18.1 作用機序

本剤は、細菌の蛋白合成を阻害する。

18.2 抗菌作用

本剤の抗菌作用は殺菌的であり、臨床分離株の緑膿菌、プロテウス属、モルガネラ・モルガニー、プロビデンシア属、ブドウ球菌属、大腸菌、クレブシエラ属、エンテロバクター属、レンサ球菌属(肺炎球菌を除く)に抗菌作用を示す1),2),3)in vitro)。

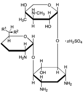
19. 有効成分に関する理化学的知見

一般的名称

ゲンタマイシン硫酸塩(Gentamicin Sulfate)

化学名

  • ゲンタマイシンC1硫酸塩:

    (6R)-2-Amino-2,3,4,6-tetradeoxy-6-methylamino-6-methyl-α-D-erythro-hexopyranosyl-(1→4)-[3-deoxy-4-C-methyl-3-methylamino-β-L-arabinopyranosyl-(1→6)]-2-deoxy-D-streptamine sulfate

  • ゲンタマイシンC2硫酸塩:

    (6R)-2,6-Diamino-2,3,4,6-tetradeoxy-6-methyl-α-D-erythro-hexopyranosyl-(1→4)-[3-deoxy-4-C-methyl-3-methylamino-β-L-arabinopyranosyl-(1→6)]-2-deoxy-D-streptamine sulfate

  • ゲンタマイシンC1a硫酸塩:

    2,6-Diamino-2,3,4,6-tetradeoxy-α-D-erythro-hexopyranosyl-(1→4)-[3-deoxy-4-C-methyl-3-methylamino-β-L-arabinopyranosyl-(1→6)]-2-deoxy-D-streptamine sulfate

性状

白色〜淡黄白色の粉末である。
水に極めて溶けやすく、エタノール(99.5)にほとんど溶けない。吸湿性である。

化学構造式

ゲンタマイシンC1硫酸塩:R1=CH3 R2=NHCH3
ゲンタマイシンC2硫酸塩:R1=CH3 R2=NH2
ゲンタマイシンC1a硫酸塩:R1=H R2=NH2
本品の力価は、ゲンタマイシンC1(C21H43N5O7:477.60)としての量を質量(力価)で示す。

略号

GM

旋光度

〔α〕25D:+107〜+121°(乾燥物に換算したもの0.25g、水、25mL、100mm)

pH

0.20gを水5mLに溶かした液のpHは3.5〜5.5である。

22. 包装

  • 〈ゲンタシン軟膏0.1%〉

    10g×10本

  • 〈ゲンタシンクリーム0.1%〉

    10g×10本

24. 文献請求先及び問い合わせ先

高田製薬株式会社 文献請求窓口

〒336-8666 さいたま市南区沼影1丁目11番1号

電話 0120-989-813
FAX 048-838-2121

26. 製造販売業者等

26.1 製造販売元

高田製薬株式会社

さいたま市西区宮前町203番地1

〒100-0013 東京都千代田区霞が関3-3-2 新霞が関ビル

画面を閉じる

Copyright © Pharmaceuticals and Medical Devices Agency, All Rights reserved.