医療用医薬品 詳細表示

クラリスロマイシン錠200mg「タカタ」

処方せん医薬品

添付文書番号
企業コード
作成又は改訂年月
日本標準商品分類番号
薬効分類名
承認等
一般的名称
2.禁忌(次の患者には投与しないこと)
3.組成・性状
3.1組成
3.2製剤の性状
4.効能又は効果
5.効能又は効果に関連する注意
6.用法及び用量
7.用法及び用量に関連する注意
8.重要な基本的注意
9.特定の背景を有する患者に関する注意
9.1合併症・既往歴等のある患者
9.2腎機能障害患者
9.3肝機能障害患者
9.5妊婦
9.6授乳婦
9.7小児等
9.8高齢者
10.相互作用
10.1併用禁忌(併用しないこと)
10.2併用注意(併用に注意すること)
11.副作用
11.1重大な副作用
11.2その他の副作用
12.臨床検査結果に及ぼす影響
14.適用上の注意
15.その他の注意
15.2非臨床試験に基づく情報
16.薬物動態
16.1血中濃度
16.2吸収
16.3分布
16.4代謝
16.5排泄
16.6特定の背景を有する患者
16.7薬物相互作用
17.臨床成績
17.1有効性及び安全性に関する試験
18.薬効薬理
18.1作用機序
18.2薬理作用
19.有効成分に関する理化学的知見
22.包装
23.主要文献
24.文献請求先及び問い合わせ先
26.製造販売業者等

クラリスロマイシン錠200mg「タカタ」

添付文書番号

6149003F2135_1_25

企業コード

400186

作成又は改訂年月

**2026年3月改訂(第3版)
2025年10月改訂(第2版)

日本標準商品分類番号

876149

薬効分類名

マクロライド系抗生物質製剤

承認等

クラリスロマイシン錠200mg「タカタ」

販売名コード

YJコード

6149003F2135

販売名英語表記

Clarithromycin Tablets “TAKATA”

販売名ひらがな

くらりすろまいしんじょう200mg「たかた」

承認番号等

承認番号

21800AMZ10288

販売開始年月

2006年7月

貯法・有効期間

貯法

室温保存

有効期間

3年

基準名

日本薬局方

クラリスロマイシン錠

一般的名称

クラリスロマイシン

2. 禁忌(次の患者には投与しないこと)

  1. 2.1 本剤に対して過敏症の既往歴のある患者
  2. 2.2 **,*ピモジド、エルゴタミン酒石酸塩・無水カフェイン・イソプロピルアンチピリン、ジヒドロエルゴタミンメシル酸塩、スボレキサント、ダリドレキサント塩酸塩、ボルノレキサント水和物、ロミタピドメシル酸塩、タダラフィル〔アドシルカ〕、マシテンタン・タダラフィル、チカグレロル、イブルチニブ、イバブラジン塩酸塩、ベネトクラクス(慢性リンパ性白血病(小リンパ球性リンパ腫を含む)、再発又は難治性のマントル細胞リンパ腫の用量漸増期)、ルラシドン塩酸塩、アナモレリン塩酸塩、フィネレノン、イサブコナゾニウム硫酸塩、ボクロスポリン、マバカムテン、アゼルニジピン、オルメサルタン メドキソミル・アゼルニジピン、ロナファルニブを投与中の患者
  3. 2.3 肝臓又は腎臓に障害のある患者でコルヒチンを投与中の患者,,

3. 組成・性状

3.1 組成

クラリスロマイシン錠200mg「タカタ」

有効成分1錠中
日局 クラリスロマイシン   200mg(力価)
添加剤乳糖水和物、クロスポビドン、ステアリン酸マグネシウム、ポビドン、軽質無水ケイ酸、ヒプロメロース、ポリビニルアルコール(部分けん化物)、酸化チタン、ショ糖脂肪酸エステル、ポリソルベート80、カルナウバロウ、パラフィン

3.2 製剤の性状

クラリスロマイシン錠200mg「タカタ」

性状白色のフィルムコーティング錠
外形表面
直径

約8.6mm
裏面
重さ

約0.25g
側面
厚さ

約5.1mm

4. 効能又は効果

  • 一般感染症
    • 〈適応菌種〉

      本剤に感性のブドウ球菌属、レンサ球菌属、肺炎球菌、モラクセラ(ブランハメラ)・カタラーリス、インフルエンザ菌、レジオネラ属、カンピロバクター属、ペプトストレプトコッカス属、クラミジア属、マイコプラズマ属

    • 〈適応症〉

      表在性皮膚感染症、深在性皮膚感染症、リンパ管・リンパ節炎、慢性膿皮症、外傷・熱傷及び手術創等の二次感染、肛門周囲膿瘍、咽頭・喉頭炎、扁桃炎、急性気管支炎、肺炎、肺膿瘍、慢性呼吸器病変の二次感染、尿道炎、子宮頸管炎、感染性腸炎、中耳炎、副鼻腔炎、歯周組織炎、歯冠周囲炎、顎炎

  • 非結核性抗酸菌症
    • 〈適応菌種〉

      本剤に感性のマイコバクテリウム属

    • 〈適応症〉

      マイコバクテリウム・アビウムコンプレックス(MAC)症を含む非結核性抗酸菌症

  • ヘリコバクター・ピロリ感染症
    • 〈適応菌種〉

      本剤に感性のヘリコバクター・ピロリ

    • *〈適応症〉

      胃潰瘍・十二指腸潰瘍、胃MALTリンパ腫、免疫性血小板減少症、早期胃癌に対する内視鏡的治療後胃におけるヘリコバクター・ピロリ感染症、ヘリコバクター・ピロリ感染胃炎

5. 効能又は効果に関連する注意

  • 〈一般感染症:咽頭・喉頭炎、扁桃炎、急性気管支炎、感染性腸炎、中耳炎、副鼻腔炎〉
  1. 5.1 「抗微生物薬適正使用の手引き」1)を参照し、抗菌薬投与の必要性を判断した上で、本剤の投与が適切と判断される場合に投与すること。
  • 〈ヘリコバクター・ピロリ感染症〉
  1. 5.2 進行期胃MALTリンパ腫に対するヘリコバクター・ピロリ除菌治療の有効性は確立していない。
  2. 5.3 *免疫性血小板減少症に対しては、ガイドライン等を参照し、ヘリコバクター・ピロリ除菌治療が適切と判断される症例にのみ除菌治療を行うこと。
  3. 5.4 早期胃癌に対する内視鏡的治療後胃以外には、ヘリコバクター・ピロリ除菌治療による胃癌の発症抑制に対する有効性は確立していない。
  4. 5.5 ヘリコバクター・ピロリ感染胃炎に用いる際には、ヘリコバクター・ピロリが陽性であること及び内視鏡検査によりヘリコバクター・ピロリ感染胃炎であることを確認すること。

6. 用法及び用量

  • 〈一般感染症〉

    通常、成人にはクラリスロマイシンとして1日400mg(力価)を2回に分けて経口投与する。
    なお、年齢、症状により適宜増減する。

  • 〈非結核性抗酸菌症〉

    通常、成人にはクラリスロマイシンとして1日800mg(力価)を2回に分けて経口投与する。
    なお、年齢、症状により適宜増減する。

  • 〈ヘリコバクター・ピロリ感染症〉

    通常、成人にはクラリスロマイシンとして1回200mg(力価)、アモキシシリン水和物として1回750mg(力価)及びプロトンポンプインヒビターの3剤を同時に1日2回、7日間経口投与する。
    なお、クラリスロマイシンは、必要に応じて適宜増量することができる。ただし、1回400mg(力価)1日2回を上限とする。

7. 用法及び用量に関連する注意

  • 〈一般感染症〉
  1. 7.1 免疫不全など合併症を有さない軽症ないし中等症のレジオネラ肺炎に対し、1日400mg分2投与することにより、通常2~5日で症状は改善に向う。症状が軽快しても投与は2~3週間継続することが望ましい。また、レジオネラ肺炎は再発の頻度が高い感染症であるため、特に免疫低下の状態にある患者などでは、治療終了後、更に2~3週間投与を継続し症状を観察する必要がある。なお、投与期間中に症状が悪化した場合には、速やかにレジオネラに有効な注射剤(キノロン系薬剤など)への変更が必要である。
  2. 7.2 レジオネラ肺炎の治療において単独で使用することが望ましいが、患者の症状に応じて併用が必要な場合には以下の報告を参考に併用する薬剤の特徴を考慮し選択すること。
    1. 7.2.1 中等症以上の患者にリファンピシンと併用し有効との報告がある。
    2. 7.2.2 in vitro抗菌力の検討において、本剤とレボフロキサシン又はシプロフロキサシンとの併用効果(相乗ないし相加作用)が認められたとの報告がある。
  3. 7.3 クラミジア感染症に対する本剤の投与期間は原則として14日間とし、必要に応じて更に投与期間を延長する。
  • 〈非結核性抗酸菌症〉
  1. 7.4 肺MAC症及び後天性免疫不全症候群(エイズ)に伴う播種性MAC症の治療に用いる場合、国内外の最新のガイドライン2)等を参考に併用療法を行うこと。
  2. 7.5 本剤の投与期間は、以下を参照すること。

    疾患名

    投与期間

    肺MAC症

    排菌陰性を確認した後、1年以上の投与継続と定期的な検査を行うことが望ましい。また、再発する可能性があるので治療終了後においても定期的な検査が必要である。

    後天性免疫不全症候群(エイズ)に伴う播種性MAC症

    臨床的又は細菌学的な改善が認められた後も継続投与すべきである。

  • 〈ヘリコバクター・ピロリ感染症〉
  1. 7.6 プロトンポンプインヒビターはランソプラゾールとして1回30mg、オメプラゾールとして1回20mg、ラベプラゾールナトリウムとして1回10mg、エソメプラゾールとして1回20mg又はボノプラザンとして1回20mgのいずれか1剤を選択する。

8. 重要な基本的注意

  1. 8.1 本剤の使用にあたっては、耐性菌の発現等を防ぐため、原則として感受性を確認し、疾病の治療上必要な最小限の期間の投与にとどめること。,,
  2. 8.2 血小板減少、汎血球減少、溶血性貧血、白血球減少、無顆粒球症があらわれることがあるので、定期的に検査を行うなど観察を十分に行うこと。

9. 特定の背景を有する患者に関する注意

9.1 合併症・既往歴等のある患者

  1. 9.1.1 他のマクロライド系薬剤に対して過敏症の既往歴のある患者
  2. 9.1.2 心疾患のある患者、低カリウム血症のある患者

    QT延長、心室頻拍(Torsade de pointesを含む)、心室細動をおこすことがある。

9.2 腎機能障害患者

本剤の血中濃度が上昇するおそれがある。

  1. 9.2.1 腎機能障害患者でコルヒチンを投与中の患者

    投与しないこと。コルヒチンの血中濃度上昇に伴う中毒症状が報告されている。,

9.3 肝機能障害患者

肝機能障害を悪化させることがある。

  1. 9.3.1 肝機能障害患者でコルヒチンを投与中の患者

    投与しないこと。コルヒチンの血中濃度上昇に伴う中毒症状が報告されている。,

9.5 妊婦

妊婦又は妊娠している可能性のある女性には、治療上の有益性が危険性を上回ると判断される場合にのみ投与すること。動物実験で、母動物に毒性があらわれる高用量において、胎児毒性(心血管系の異常、口蓋裂、発育遅延等)が報告されている。
なお、国外における試験で次のような報告がある。SD系ラット(15~150mg/kg/日)及びCD-1系マウス(15~1,000mg/kg/日)において、それぞれ母動物に毒性があらわれる最高用量でラット胎児に心血管系異常並びにマウス胎児に口蓋裂が認められた。また、サル(35~70mg/kg/日)において、母動物に毒性があらわれる70mg/kg/日で9例中1例に低体重の胎児がみられたが、外表、内臓、骨格には異常は認められなかった。
また、ラットにクラリスロマイシン(160mg/kg/日)、ランソプラゾール(50mg/kg/日)及びアモキシシリン水和物(500mg/kg/日)を併用投与した試験において、母動物での毒性の増強とともに胎児の発育抑制の増強が認められている。
さらに、ラットにクラリスロマイシン(50mg/kg/日以上)、ラベプラゾールナトリウム(25mg/kg/日)及びアモキシシリン水和物(400mg/kg/日以上)を4週間併用投与した試験で、雌で栄養状態の悪化が認められている。

9.6 授乳婦

治療上の有益性及び母乳栄養の有益性を考慮し、授乳の継続又は中止を検討すること。ヒト母乳中へ移行することが報告されている。
なお、動物実験(ラット)の乳汁中濃度は、血中濃度の約2.5倍で推移した。

9.7 小児等

低出生体重児及び新生児を対象とした臨床試験は実施していない。

9.8 高齢者

一般に生理機能が低下しており、高い血中濃度が持続するおそれがある。

10. 相互作用

  • 本剤は主としてCYP3Aにより代謝される。また、本剤はCYP3A、P-糖蛋白質(P-gp)を阻害する。,

10.1 併用禁忌(併用しないこと)

薬剤名等臨床症状・措置方法機序・危険因子

*ピモジド3)
,

QT延長、心室性不整脈(Torsade de pointesを含む)等の心血管系副作用が報告されている。

本剤のCYP3Aに対する阻害作用により、左記薬剤の代謝が阻害され、それらの血中濃度が上昇する可能性がある。

エルゴタミン酒石酸塩・無水カフェイン・イソプロピルアンチピリン
〔クリアミン〕
ジヒドロエルゴタミンメシル酸塩
,

血管攣縮等の重篤な副作用をおこすおそれがある。

本剤のCYP3Aに対する阻害作用により、左記薬剤の代謝が阻害され、それらの血中濃度が上昇する可能性がある。

*スボレキサント
〔ベルソムラ〕
ダリドレキサント塩酸塩
〔クービビック〕
ボルノレキサント水和物
〔ボルズィ〕
,

左記薬剤の血漿中濃度が顕著に上昇し、その作用が著しく増強するおそれがある。

本剤のCYP3Aに対する阻害作用により、左記薬剤の代謝が阻害され、それらの血中濃度が上昇する可能性がある。

ロミタピドメシル酸塩
〔ジャクスタピッド〕
,

ロミタピドの血中濃度が著しく上昇するおそれがある。

本剤のCYP3Aに対する阻害作用により、左記薬剤の代謝が阻害され、それらの血中濃度が上昇する可能性がある。

**タダラフィル
〔アドシルカ〕
マシテンタン・タダラフィル
〔ユバンシ〕
,

左記薬剤のクリアランスが高度に減少し、その作用が増強するおそれがある。

本剤のCYP3Aに対する阻害作用により、左記薬剤の代謝が阻害され、それらの血中濃度が上昇する可能性がある。

チカグレロル
〔ブリリンタ〕
,

チカグレロルの血漿中濃度が著しく上昇するおそれがある。

本剤のCYP3Aに対する阻害作用により、左記薬剤の代謝が阻害され、それらの血中濃度が上昇する可能性がある。

イブルチニブ
〔イムブルビカ〕
,

イブルチニブの作用が増強するおそれがある。

本剤のCYP3Aに対する阻害作用により、左記薬剤の代謝が阻害され、それらの血中濃度が上昇する可能性がある。

イバブラジン塩酸塩
〔コララン〕
,

過度の徐脈があらわれることがある。

本剤のCYP3Aに対する阻害作用により、左記薬剤の代謝が阻害され、それらの血中濃度が上昇する可能性がある。

**,*ベネトクラクス(慢性リンパ性白血病(小リンパ球性リンパ腫を含む)、再発又は難治性のマントル細胞リンパ腫の用量漸増期)
〔ベネクレクスタ〕
,

腫瘍崩壊症候群の発現が増強するおそれがある。

本剤のCYP3Aに対する阻害作用により、左記薬剤の代謝が阻害され、それらの血中濃度が上昇する可能性がある。

ルラシドン塩酸塩
〔ラツーダ〕
,

ルラシドンの血中濃度が上昇し、作用が増強するおそれがある。

本剤のCYP3Aに対する阻害作用により、左記薬剤の代謝が阻害され、それらの血中濃度が上昇する可能性がある。

アナモレリン塩酸塩
〔エドルミズ〕
,

アナモレリンの血中濃度が上昇し、副作用の発現が増強するおそれがある。

本剤のCYP3Aに対する阻害作用により、左記薬剤の代謝が阻害され、それらの血中濃度が上昇する可能性がある。

フィネレノン
〔ケレンディア〕
,

フィネレノンの血中濃度が著しく上昇するおそれがある。

本剤のCYP3Aに対する阻害作用により、左記薬剤の代謝が阻害され、それらの血中濃度が上昇する可能性がある。

イサブコナゾニウム硫酸塩
〔クレセンバ〕
,

イサブコナゾールの血中濃度が上昇し作用が増強するおそれがある。

本剤のCYP3Aに対する阻害作用により、左記薬剤の代謝が阻害され、それらの血中濃度が上昇する可能性がある。

*ボクロスポリン
〔ルプキネス〕
,

ボクロスポリンの血中濃度が上昇し、その作用が増強するおそれがある。

本剤のCYP3Aに対する阻害作用により、左記薬剤の代謝が阻害され、それらの血中濃度が上昇する可能性がある。

*マバカムテン
〔カムザイオス〕
,

マバカムテンの血中濃度が上昇し、副作用が増強され、収縮機能障害による心不全のリスクが高まるおそれがある。

本剤のCYP3Aに対する阻害作用により、左記薬剤の代謝が阻害され、それらの血中濃度が上昇する可能性がある。

**アゼルニジピン
〔カルブロック〕
オルメサルタン メドキソミル・アゼルニジピン
〔レザルタス〕
,

アゼルニジピンの血中濃度が上昇し作用が増強するおそれがある。

本剤のCYP3Aに対する阻害作用により、左記薬剤の代謝が阻害され、それらの血中濃度が上昇する可能性がある。

**ロナファルニブ
〔ゾキンヴィ〕
,

ロナファルニブの血中濃度が著しく上昇し、副作用が増強するおそれがある。

本剤のCYP3Aに対する阻害作用により、左記薬剤の代謝が阻害され、それらの血中濃度が上昇する可能性がある。

10.2 併用注意(併用に注意すること)

薬剤名等臨床症状・措置方法機序・危険因子

ジゴキシン

嘔気、嘔吐、不整脈等が報告されているので、ジゴキシンの血中濃度の推移、自覚症状、心電図等に注意し、異常が認められた場合には、投与量を調節する等の適切な処置を行うこと。

本剤の腸内細菌叢に対する影響により、ジゴキシンの不活化が抑制されるか、もしくはP-gpを介したジゴキシンの輸送が阻害されることにより、その血中濃度が上昇する。

スルホニル尿素系血糖降下剤

  • グリベンクラミド
  • グリクラジド
  • グリメピリド 等

低血糖(意識障害に至ることがある)が報告されているので、異常が認められた場合には、投与を中止し、ブドウ糖の投与等の適切な処置を行うこと。

機序は不明である。左記薬剤の血中濃度が上昇する可能性がある。

カルバマゼピン
テオフィリン4),5)
アミノフィリン水和物
シクロスポリン
タクロリムス水和物
エベロリムス
,

左記薬剤の血中濃度上昇に伴う作用の増強等の可能性があるので、左記薬剤の血中濃度の推移等に注意し、異常が認められた場合には、投与量の調節や中止等の適切な処置を行うこと。

本剤のCYP3Aに対する阻害作用により、左記薬剤の代謝が阻害される。

アトルバスタチンカルシウム水和物6)
シンバスタチン6)
ロバスタチン(国内未承認)

左記薬剤の血中濃度上昇に伴う横紋筋融解症が報告されているので、異常が認められた場合には、投与量の調節や中止等の適切な処置を行うこと。
腎機能障害のある患者には特に注意すること。

本剤のCYP3Aに対する阻害作用により、左記薬剤の代謝が阻害される。

コルヒチン
,,,

コルヒチンの血中濃度上昇に伴う中毒症状(汎血球減少、肝機能障害、筋肉痛、腹痛、嘔吐、下痢、発熱等)が報告されているので、異常が認められた場合には、投与量の調節や中止等の適切な処置を行うこと。

本剤のCYP3Aに対する阻害作用により、左記薬剤の代謝が阻害される。

**ベンゾジアゼピン系薬剤
(CYP3Aで代謝される薬剤)

  • 〔トリアゾラム7)
  • ミダゾラム8) 等〕

非定型抗精神病薬
(CYP3Aで代謝される薬剤)

  • 〔クエチアピンフマル酸塩
  • アリピプラゾール
  • ブロナンセリン 等〕

ジソピラミド

トルバプタン

エプレレノン

エレトリプタン臭化水素酸塩

カルシウム拮抗剤
(アゼルニジピンを除くCYP3Aで代謝される薬剤)

  • 〔ニフェジピン
  • ベラパミル塩酸塩 等〕

リオシグアト

ジエノゲスト

ホスホジエステラーゼ5阻害剤

  • 〔シルデナフィルクエン酸塩9)
  • タダラフィル
    〔シアリス、ザルティア〕等〕

クマリン系抗凝血剤

  • ワルファリンカリウム

ドセタキセル水和物

アベマシクリブ10)

オキシコドン塩酸塩水和物11)

フェンタニル/フェンタニルクエン酸塩

左記薬剤の血中濃度上昇に伴う作用の増強等の可能性があるので、異常が認められた場合には、投与量の調節や中止等の適切な処置を行うこと。
なお、トルバプタンにおいては、本剤との併用は避けることが望ましいとされており、やむを得ず併用する場合においては、トルバプタンの用量調節を特に考慮すること。

本剤のCYP3Aに対する阻害作用により、左記薬剤の代謝が阻害される。

**,*ベネトクラクス(慢性リンパ性白血病(小リンパ球性リンパ腫を含む)の維持投与期、再発又は難治性のマントル細胞リンパ腫の維持投与期、急性骨髄性白血病)

ベネトクラクスの副作用が増強するおそれがあるので、ベネトクラクスを減量するとともに、患者の状態を慎重に観察すること。

本剤のCYP3Aに対する阻害作用により、左記薬剤の代謝が阻害される。

抗凝固剤
(CYP3Aで代謝され、P-gpで排出される薬剤)

  • 〔アピキサバン
    リバーロキサバン〕

左記薬剤の血中濃度上昇に伴う作用の増強等の可能性があるので、異常が認められた場合には、投与量の調節や中止等の適切な処置を行うこと。

本剤のCYP3A及びP-gpに対する阻害作用により、左記薬剤の代謝及び排出が阻害される。

抗凝固剤
(P-gpで排出される薬剤)

  • 〔ダビガトランエテキシラート
  • エドキサバントシル酸塩水和物〕

左記薬剤の血中濃度上昇に伴う作用の増強等の可能性があるので、異常が認められた場合には、投与量の調節や中止等の適切な処置を行うこと。

本剤のP-gpに対する阻害作用により、左記薬剤の排出が阻害される。

イトラコナゾール12)

HIVプロテアーゼ阻害剤

  • 〔リトナビル13)
  • ロピナビル・リトナビル
  • ダルナビル エタノール付加物 等〕

,

本剤の未変化体の血中濃度上昇による作用の増強等の可能性がある。
また、イトラコナゾールの併用においては、イトラコナゾールの血中濃度上昇に伴う作用の増強等の可能性がある。
異常が認められた場合には、投与量の調節や中止等の適切な処置を行うこと。

本剤と左記薬剤のCYP3Aに対する阻害作用により、相互に代謝が阻害される。

リファブチン14)
エトラビリン15)
,

左記薬剤の血中濃度上昇に伴う作用の増強等の可能性がある。
また、本剤の未変化体の血中濃度が低下し、活性代謝物の血中濃度が上昇し、本剤の作用が減弱する可能性がある。
異常が認められた場合には、投与量の調節や中止等の適切な処置を行うこと。

本剤のCYP3Aに対する阻害作用により、左記薬剤の代謝が阻害される。
また、左記薬剤のCYP3A4に対する誘導作用により、本剤の代謝が促進される。

リファンピシン16)
エファビレンツ
ネビラピン
,

本剤の未変化体の血中濃度が低下し、活性代謝物の血中濃度が上昇する可能性がある。本剤の作用が減弱する可能性があるので、投与量の調節や中止等の適切な処置を行うこと。

左記薬剤のCYP3A4に対する誘導作用により、本剤の代謝が促進される。

天然ケイ酸アルミニウム17)

本剤の吸収が低下するとの報告がある。

左記薬剤の吸着作用によるものと考えられる。

11. 副作用

次の副作用があらわれることがあるので、観察を十分に行い、異常が認められた場合には投与を中止するなど適切な処置を行うこと。

11.1 重大な副作用

  1. 11.1.1 ショック、アナフィラキシー(いずれも頻度不明)

    呼吸困難、痙攣、発赤等があらわれることがある。

  2. 11.1.2 QT延長、心室頻拍(Torsade de pointesを含む)、心室細動(いずれも頻度不明)

    QT延長等の心疾患のある患者、低カリウム血症のある患者においては特に注意すること。

  3. 11.1.3 劇症肝炎、肝機能障害、黄疸、肝不全(いずれも頻度不明)

    劇症肝炎、AST、ALT、γ-GTP、LDH、Al-Pの上昇等を伴う肝機能障害、黄疸、肝不全があらわれることがある。

  4. 11.1.4 血小板減少、汎血球減少、溶血性貧血、白血球減少、無顆粒球症(いずれも頻度不明)

  5. 11.1.5 中毒性表皮壊死融解症(Toxic Epidermal Necrolysis:TEN)、皮膚粘膜眼症候群(Stevens-Johnson症候群)、多形紅斑(いずれも頻度不明)

    異常が認められた場合には、投与を中止し、副腎皮質ホルモン剤の投与等の適切な処置を行うこと。

  6. 11.1.6 PIE症候群・間質性肺炎(いずれも頻度不明)

    発熱、咳嗽、呼吸困難、胸部X線異常、好酸球増多等があらわれることがある。このような症状があらわれた場合には、投与を中止し、副腎皮質ホルモン剤の投与等の適切な処置を行うこと。

  7. 11.1.7 偽膜性大腸炎、出血性大腸炎(いずれも頻度不明)

    偽膜性大腸炎、出血性大腸炎等の重篤な大腸炎があらわれることがある。腹痛、頻回の下痢があらわれた場合には、投与を中止し、適切な処置を行うこと。

  8. 11.1.8 横紋筋融解症(頻度不明)

    筋肉痛、脱力感、CK上昇、血中及び尿中ミオグロビン上昇があらわれることがある。横紋筋融解症による急性腎障害の発症に注意すること。

  9. 11.1.9 痙攣(頻度不明)

    痙攣(強直間代性、ミオクロヌス、意識消失発作等)があらわれることがある。

  10. 11.1.10 急性腎障害、尿細管間質性腎炎(いずれも頻度不明)

    乏尿等の症状や血中クレアチニン値上昇等の腎機能低下所見が認められた場合には、投与を中止し、適切な処置を行うこと。

  11. 11.1.11 IgA血管炎(頻度不明)
  12. 11.1.12 薬剤性過敏症症候群18)(頻度不明)

    初期症状として発疹、発熱がみられ、さらに肝機能障害、リンパ節腫脹、白血球増加、好酸球増多、異型リンパ球出現等を伴う遅発性の重篤な過敏症状があらわれることがある。投与中止後も発疹、発熱、肝機能障害等の症状が再燃あるいは遷延化することがあるので注意すること。

11.2 その他の副作用

  • 〈一般感染症〉

0.1~5%未満

0.1%未満

頻度不明

過敏症

発疹

そう痒感

精神神経系

めまい
頭痛

幻覚
失見当識
意識障害
せん妄
躁病
眠気
振戦
しびれ(感)
錯感覚
不眠

感覚器

味覚異常(にがみ等)

耳鳴
聴力低下
嗅覚異常

消化器

悪心
嘔吐
胃部不快感
腹部膨満感
腹痛
下痢

食欲不振
軟便
口内炎
舌炎
口渇

口腔内びらん
胸やけ
歯牙変色
舌変色

血液

好酸球増多

肝臓

AST上昇
ALT上昇
γ-GTP上昇
LDH上昇
Al-P上昇

筋・骨格

筋肉痛

その他

倦怠感
浮腫
カンジダ症
発熱

動悸
CK上昇
脱毛
頻尿
低血糖

  • 〈非結核性抗酸菌症〉

5~10%未満

1~5%未満

頻度不明

精神神経系

不眠症

頭痛
めまい
激越
神経過敏症
感覚異常
痙攣
妄想
幻覚
運動過多
躁病反応
偏執反応
末梢神経炎
精神病

感覚器

味覚減退

味覚倒錯
難聴
耳鳴
味覚喪失
結膜炎

皮膚

発疹

そう痒感
斑状丘疹状皮疹
ざ瘡
帯状疱疹
紫斑皮疹
光線過敏性反応
発汗

消化器

下痢

悪心
食欲不振
腹痛
嘔吐
逆流性食道炎

鼓腸放屁
消化不良
便秘
おくび
口渇
舌炎
舌変色

血液

白血球減少
貧血
再生不良性貧血
好中球減少
骨髄機能不全

肝臓

肝機能異常

γ-GTP上昇
Al-P上昇

AST上昇
ALT上昇
胆汁うっ滞性黄疸
肝炎
ビリルビン上昇

腎臓

急性腎障害

BUN上昇
クレアチニン上昇

生殖器

子宮頸部上皮異形成

腟カンジダ症

筋・骨格

筋肉痛
関節痛

その他

高脂血症
トリグリセリド上昇
高尿酸血症
低カリウム血症
徐脈

無力症
アミラーゼ上昇
カンジダ症
疼痛
しゃっくり
発熱
胸痛
さむけ
酵素上昇

後天性免疫不全症候群(エイズ)に伴う播種性MAC症を対象とした試験で認められた副作用である。
頻度は承認時の国内臨床試験及び製造販売後の使用成績調査の合算に基づいている。
  • 〈ヘリコバクター・ピロリ感染症〉

5%以上

1~5%未満

1%未満

過敏症

発疹

そう痒

精神神経系

頭痛
しびれ感
めまい
眠気
不眠
うつ状態

消化器

下痢(15.5%)
軟便(13.5%)
味覚異常

腹痛
腹部膨満感
口内炎
便秘
食道炎

口渇
悪心
舌炎
胃食道逆流
胸やけ
十二指腸炎
嘔吐
痔核
食欲不振

血液

好中球減少
好酸球増多

貧血
白血球増多
血小板減少

肝臓

AST上昇
ALT上昇
LDH上昇
γ-GTP上昇

Al-P上昇
ビリルビン上昇

その他

尿蛋白陽性
トリグリセリド上昇
総コレステロール上昇・減少

尿糖陽性
尿酸上昇
倦怠感
熱感
動悸
発熱
QT延長
カンジダ症
浮腫
血圧上昇
霧視

表中の副作用は胃潰瘍・十二指腸潰瘍における除菌療法(3剤併用:プロトンポンプインヒビターがランソプラゾール、オメプラゾール、ラベプラゾールナトリウムの場合)の承認時の国内臨床試験成績(アモキシシリン水和物及びオメプラゾールとの併用の場合の用法・用量変更時の製造販売後臨床試験を含む)に基づいている。

12. 臨床検査結果に及ぼす影響

  • 〈ヘリコバクター・ピロリ感染症〉

    ランソプラゾール等のプロトンポンプインヒビターやアモキシシリン水和物、クラリスロマイシン等の抗生物質の服用中や投与終了直後では、13C-尿素呼気試験の判定結果が偽陰性になる可能性があるため、13C-尿素呼気試験による除菌判定を行う場合には、これらの薬剤の投与終了後4週以降の時点で実施することが望ましい。

14. 適用上の注意

14.1 薬剤交付時の注意

PTP包装の薬剤はPTPシートから取り出して服用するよう指導すること。PTPシートの誤飲により、硬い鋭角部が食道粘膜へ刺入し、更には穿孔をおこして縦隔洞炎等の重篤な合併症を併発することがある。

15. その他の注意

15.2 非臨床試験に基づく情報

ラットにアモキシシリン水和物(2,000mg/kg/日)とランソプラゾール(15mg/kg/日以上)の4週間併用経口投与した試験、及びイヌにアモキシシリン水和物(500mg/kg/日)、ランソプラゾール(100mg/kg/日)、クラリスロマイシン(25mg/kg/日)の4週間併用経口投与した試験で、アモキシシリン水和物を単独あるいは併用投与した動物に結晶尿が認められているが、結晶はアモキシシリン水和物が排尿後に析出したものであり、体内で析出したものではないことが確認されている。

16. 薬物動態

16.1 血中濃度

  1. 16.1.1 単回投与

    健康成人に200mg、400mg(力価)を空腹時単回経口投与したときの薬物動態の各パラメータの値は以下のようであった19)。なお、個体間のバラツキは少なかった。

    表16-1 薬物動態パラメータ

    測定法

    Cmax
    (μg/mL)

    Tmax
    (hr)

    T1/2
    (hr)

    AUC
    (μg・hr/mL)

    成人(n=8)200mg

    Bioassay

    1.16

    1.9

    4.04

    8.98

    成人(n=8)400mg

    Bioassay

    2.24

    2.7

    4.36

    20.30

    健康成人に200mg(力価)を空腹時に単回経口投与し、高速液体クロマトグラフ(HPLC)法で測定したところ、血清中には未変化体及び活性代謝物の14位水酸化体がほぼ同量存在し、その合算値はBioassayで測定した濃度とほぼ一致した20)

  2. 16.1.2 反復投与
    • 〈ヘリコバクター・ピロリ感染症〉

      健康成人にアモキシシリン水和物、プロトンポンプインヒビターと併用して400mg(力価)を1日2回7日間反復経口投与したときの平均血中濃度及び各パラメータの値は以下のようであった21),22),23),24),25)

      表16-2 平均血中濃度及び各パラメータ

      測定法

      Cmax
      (μg/mL)

      Tmax
      (hr)

      T1/2
      (hr)

      AUC0-12
      (μg・hr/mL)

      成人(n=7)400mg、アモキシシリン水和物1,000mg、ランソプラゾール30mg併用時1)

      HPLC
      未変化体

      2.42

      2.7

      4.4

      18.45

      HPLC
      代謝物

      0.97

      2.6

      8.5

      8.87

      成人(n=11)400mg、アモキシシリン水和物1,000mg、オメプラゾール20mg併用時1)

      HPLC
      未変化体

      3.5

      2.5

      4.6

      27.83)

      成人400mg、アモキシシリン水和物750mg、ラベプラゾールナトリウム20mg併用時1)

      EM2)
      (n=15)

      HPLC
      未変化体

      2.33

      6.43

      17.50

      HPLC
      代謝物

      0.82

      9.71

      7.65

      PM2)
      (n=4)

      HPLC
      未変化体

      1.99

      4.49

      14.03

      HPLC
      代謝物

      0.95

      7.51

      8.46

      成人(n=11)400mg、アモキシシリン水和物750mg、ボノプラザン20mg併用時1)

      LC/MS/MS
      未変化体

      2.92

      4.62

      18.26

      LC/MS/MS
      代謝物

      0.88

      7.96

      7.49

      1) ヘリコバクター・ピロリ感染症に対する承認用法・用量では、クラリスロマイシンは1回200mg(必要に応じて上限400mgまで適宜増量することができる)、アモキシシリン水和物は1回750mg、プロトンポンプインヒビターのラベプラゾールナトリウムは1回10mgである。
      2) 肝代謝酵素チトクロームP450 2C19遺伝子型
      EM;extensive metabolizer
      PM;poor metabolizer
      3) AUC0-∞(μg・hr/mL)
      4) 中央値

  3. 16.1.3 生物学的同等性試験

    クラリスロマイシン錠200mg「タカタ」とクラリス錠200をクロスオーバー法により、健康成人男子24名にそれぞれ1錠[クラリスロマイシンとして200mg(力価)]を空腹時に単回経口投与し、投与前、投与後0.5、1、1.5、2、2.5、3、4、6、8、12及び24時間に前腕静脈から採血した。LC/MS/MSにより測定したクラリスロマイシンの血漿中濃度の推移及びパラメータは次のとおりであり、統計解析にて90%信頼区間を求めた結果、判定パラメータの対数値の平均値の差はlog0.8~log1.25の範囲にあり、両剤の生物学的同等性が確認された26)

    図16-1 血漿中濃度推移
    表16-3 薬物動態パラメータ

    判定パラメータ

    参考パラメータ

    AUCt(ng・hr/mL)

    Cmax(ng/mL)

    tmax(hr)

    t1/2(hr)

    クラリスロマイシン錠200mg「タカタ」

    3714.45±1452.73

    590.21±230.37

    2.1±1.2

    3.7±2.6

    クラリス錠200

    3506.02±1640.20

    584.06±311.23

    1.9±1.4

    3.4±1.5

    (Mean±S.D.,n=24)

    血漿中濃度並びにAUC、Cmax等のパラメータは、被験者の選択、体液の採取回数・時間等の試験条件によって異なる可能性がある。

16.2 吸収

  1. 16.2.1 バイオアベイラビリティ

    健康成人において、クラリスロマイシン錠剤(250mg)を経口投与した場合(2回測定)とクラリスロマイシンラクトビオン酸塩を静脈内投与した場合の薬物速度論的パラメータを比較検討した。その結果、未変化体のバイオアベイラビリティは52、55%であったが、初回通過効果によって生成される活性代謝物(14位水酸化体)を含めたパラメータ解析結果から、クラリスロマイシンは経口投与後ほぼ完全に吸収されていることが示唆された27)(海外データ)。

  2. 16.2.2 食事の影響

    健康成人に200mg(力価)を単回経口投与したときの血清中濃度には、食事の影響がほとんど認められなかった19)

16.3 分布

健康成人における唾液28)、また、患者における喀痰29)、気管支分泌物30)等への移行性を測定した結果、それぞれの組織への移行は良好で、血清中濃度と同等もしくはそれ以上の濃度を示した。また、皮膚31)、扁桃32)、上顎洞粘膜32)等の組織中濃度はほとんどの例で血清中濃度を大きく上まわった。なお、ヒト血清蛋白結合率は42~50%であった33)in vitro)。

16.4 代謝

ヒトにおける主代謝物は14位水酸化体であり、血清中には未変化体とほぼ同量存在した20)
ヒト肝ミクロソームを用いたin vitro試験において、クラリスロマイシンは主としてCYP3Aで代謝されることが報告されている34),

16.5 排泄

健康成人に200mg(力価)を空腹時に単回経口投与し、Bioassayで測定したところ、投与後24時間までに投与量の38.3%が尿中へ排泄された19)。尿中には主に未変化体及び活性代謝物の14位水酸化体が認められた20)

16.6 特定の背景を有する患者

  1. 16.6.1 腎機能障害者

    腎機能正常者と種々な程度の腎機能障害者に200mg(力価)を空腹時単回経口投与し、クレアチニンクリアランス(Ccr)とその体内動態との関係を検討した結果、腎機能の低下に伴ってCmaxの上昇、T1/2の延長及びAUCの増加が認められた35)(測定法:Bioassay)。

    表16-4 クレアチニンクリアランス(Ccr)と体内動態

    クレアチニン
    クリアランス
    (mL/min)

    Cmax
    (μg/mL)

    Tmax
    (hr)

    T1/2
    (hr)

    AUC
    (μg・hr/mL)

    Ccr≒100(n=5)

    2.02

    1.24

    2.38

    8.89

    Ccr≒50(n=5)

    2.15

    1.89

    5.74

    21.69

    Ccr≒30(n=5)

    2.55

    0.96

    4.69

    18.73

    Ccr≒5(n=5)

    3.54

    1.48

    6.13

    36.89

  2. 16.6.2 高齢者

    重篤な基礎疾患のない66~82歳(平均72.2歳)の女性3名に200mg(力価)を空腹時単回経口投与し、その体内動態を検討した結果、健康成人と比べるとTmax、T1/2はほぼ同様であったが、Cmax、AUCは明らかに高かった36)(測定法:Bioassay)。

    表16-5 体内動態パラメータ

    Cmax
    (μg/mL)

    Tmax
    (hr)

    T1/2
    (hr)

    AUC
    (μg・hr/mL)

    高齢者(n=3)

    3.72

    2.3

    4.2

    19.20

16.7 薬物相互作用

  1. 16.7.1 in vitro試験成績

    CYP3A、P-gpに対する阻害作用を有する37),

  2. 16.7.2 テオフィリン

    健康成人男性にテオフィリンを400mg及びクラリスロマイシンを300mg併用した結果、併用5日目でテオフィリンの血清中濃度はCmaxで1.26倍、AUCで1.19倍上昇し、クリアランスは16.4%減少したが統計的に有意差は認められなかった4)
    また、気管支喘息患児にテオフィリンを300~600mg/dayで1日分2経口投与し、更にクラリスロマイシン600mg/dayを1日分2併用投与した結果、併用7日目においてテオフィリンの血清中濃度は有意な上昇を示した5)

17. 臨床成績

17.1 有効性及び安全性に関する試験

  • 成人を対象とした二重盲検比較試験を含む臨床試験の概要は次のとおりである。
  • 〈非結核性抗酸菌症〉
    1. 17.1.1 後天性免疫不全症候群(エイズ)に伴う播種性MAC症に対する国内臨床試験

      後天性免疫不全症候群(エイズ)に伴う播種性MAC症に対するクラリスロマイシンの有用性が認められた38)

      表17-1 後天性免疫不全症候群(エイズ)に伴う播種性MAC症に対する有効率

      疾患名

      有効率(%)【有効以上】

      後天性免疫不全症候群(エイズ)に伴う播種性MAC症 日本

      50.0(2/4)

  • 〈ヘリコバクター・ピロリ感染症〉
    1. 17.1.2 胃潰瘍・十二指腸潰瘍におけるヘリコバクター・ピロリ感染症に対する国内及び海外臨床試験

      胃潰瘍・十二指腸潰瘍におけるヘリコバクター・ピロリ感染症に対する二重盲検比較試験、オープン試験でクラリスロマイシンの有用性が認められた。

      表17-2 胃潰瘍・十二指腸潰瘍におけるヘリコバクター・ピロリ感染症に対する有効率

      疾患名

      有効率(%)【有効以上】

      胃潰瘍・十二指腸潰瘍におけるヘリコバクター・ピロリ感染症(除菌率)
      (ランソプラゾールとの併用の場合)39),40),41),42),43)
      胃潰瘍(400mg)5)

      87.5(84/96)

      胃潰瘍・十二指腸潰瘍におけるヘリコバクター・ピロリ感染症(除菌率)
      (ランソプラゾールとの併用の場合)39),40),41),42),43)
      胃潰瘍(800mg)6)

      89.2(83/93)

      胃潰瘍・十二指腸潰瘍におけるヘリコバクター・ピロリ感染症(除菌率)
      (ランソプラゾールとの併用の場合)39),40),41),42),43)
      十二指腸潰瘍(400mg)5)

      91.1(82/90)

      胃潰瘍・十二指腸潰瘍におけるヘリコバクター・ピロリ感染症(除菌率)
      (ランソプラゾールとの併用の場合)39),40),41),42),43)
      十二指腸潰瘍(800mg)6)

      83.7(82/98)

      胃潰瘍・十二指腸潰瘍におけるヘリコバクター・ピロリ感染症(除菌率)
      (ランソプラゾールとの併用の場合)39),40),41),42),43)
      十二指腸潰瘍(米国:14日間投与)7)

      87.6(197/225)

      胃潰瘍・十二指腸潰瘍におけるヘリコバクター・ピロリ感染症(除菌率)
      (ランソプラゾールとの併用の場合)39),40),41),42),43)
      十二指腸潰瘍(米国:10日間投与)7)

      83.7(103/123)

      胃潰瘍・十二指腸潰瘍におけるヘリコバクター・ピロリ感染症(除菌率)
      (ランソプラゾールとの併用の場合)39),40),41),42),43)
      十二指腸潰瘍(英国:7日間投与)8)

      90.4(103/114)

      胃潰瘍・十二指腸潰瘍におけるヘリコバクター・ピロリ感染症(除菌率)
      (オメプラゾールとの併用の場合)44),45),46),47)
      胃・十二指腸潰瘍(800mg)9)

      78.8(89/113)

      胃潰瘍・十二指腸潰瘍におけるヘリコバクター・ピロリ感染症(除菌率)
      (オメプラゾールとの併用の場合)44),45),46),47)
      胃・十二指腸潰瘍(400mg)10)

      81.1(116/143)

      胃潰瘍・十二指腸潰瘍におけるヘリコバクター・ピロリ感染症(除菌率)
      (オメプラゾールとの併用の場合)44),45),46),47)
      胃・十二指腸潰瘍(800mg)11)

      80.0(116/145)

      胃潰瘍・十二指腸潰瘍におけるヘリコバクター・ピロリ感染症(除菌率)
      (オメプラゾールとの併用の場合)44),45),46),47)
      胃・十二指腸潰瘍(海外:十二指腸潰瘍)12)

      96.4(106/110)

      胃潰瘍・十二指腸潰瘍におけるヘリコバクター・ピロリ感染症(除菌率)
      (オメプラゾールとの併用の場合)44),45),46),47)
      胃・十二指腸潰瘍(海外:胃潰瘍)12)

      79.2(38/48)

      胃潰瘍・十二指腸潰瘍におけるヘリコバクター・ピロリ感染症(除菌率)
      (ラベプラゾールナトリウムとの併用の場合)48),49),50),51)
      胃潰瘍(400mg)13)

      87.7(57/65)

      胃潰瘍・十二指腸潰瘍におけるヘリコバクター・ピロリ感染症(除菌率)
      (ラベプラゾールナトリウムとの併用の場合)48),49),50),51)
      胃潰瘍(800mg)14)

      89.7(61/68)

      胃潰瘍・十二指腸潰瘍におけるヘリコバクター・ピロリ感染症(除菌率)
      (ラベプラゾールナトリウムとの併用の場合)48),49),50),51)
      十二指腸潰瘍(400mg)13)

      83.3(45/54)

      胃潰瘍・十二指腸潰瘍におけるヘリコバクター・ピロリ感染症(除菌率)
      (ラベプラゾールナトリウムとの併用の場合)48),49),50),51)
      十二指腸潰瘍(800mg)14)

      87.8(36/41)

      胃潰瘍・十二指腸潰瘍におけるヘリコバクター・ピロリ感染症(除菌率)
      (ラベプラゾールナトリウムとの併用の場合)48),49),50),51)
      胃・十二指腸潰瘍(米国:10日間投与)15)

      86.0(147/171)

      胃潰瘍・十二指腸潰瘍におけるヘリコバクター・ピロリ感染症(除菌率)
      (ラベプラゾールナトリウムとの併用の場合)48),49),50),51)
      胃・十二指腸潰瘍(米国:7日間投与)15)

      84.3(140/166)

      胃潰瘍・十二指腸潰瘍におけるヘリコバクター・ピロリ感染症(除菌率)
      (ラベプラゾールナトリウムとの併用の場合)48),49),50),51)
      胃・十二指腸潰瘍(欧州:7日間投与)15)

      93.8(61/65)

      5) クラリスロマイシンとして1回200mg(力価)、アモキシシリン水和物として1回750mg(力価)及びランソプラゾールとして1回30mgの3剤を同時に1日2回7日間経口投与。
      6) クラリスロマイシンとして1回400mg(力価)、アモキシシリン水和物として1回750mg(力価)及びランソプラゾールとして1回30mgの3剤を同時に1日2回7日間経口投与。
      7) 十二指腸潰瘍におけるヘリコバクター・ピロリ感染症患者を対象とした臨床試験(クラリスロマイシンとして1回500mg(力価)、アモキシシリン水和物として1回1,000mg(力価)及びランソプラゾールとして1回30mgの3剤を同時に1日2回経口投与)。本剤の承認最大用量は800mgである。
      8) 十二指腸潰瘍等におけるヘリコバクター・ピロリ感染症患者を対象とした臨床試験(クラリスロマイシンとして1回250mg(力価)、アモキシシリン水和物として1回1,000mg(力価)及びランソプラゾールとして1回30mgの3剤を同時に1日2回経口投与)。本剤の承認最大用量は800mgである。
      9) クラリスロマイシンとして1回400mg(力価)、アモキシシリン水和物として1回750mg(力価)及びオメプラゾールとして1回20mgの3剤を同時に1日2回7日間経口投与。
      10) クラリスロマイシンとして1回200mg(力価)、アモキシシリン水和物として1回750mg(力価)及びオメプラゾールとして1回20mgの3剤を同時に1日2回7日間経口投与(国内の製造販売後臨床試験)。
      11) クラリスロマイシンとして1回400mg(力価)、アモキシシリン水和物として1回750mg(力価)及びオメプラゾールとして1回20mgの3剤を同時に1日2回7日間経口投与(国内の製造販売後臨床試験)。
      12) クラリスロマイシンとして1回500mg(力価)、アモキシシリン水和物として1回1,000mg(力価)及びオメプラゾールとして1回20mgの3剤を同時に1日2回経口投与。本剤の承認最大用量は800mgである。
      13) クラリスロマイシンとして1回200mg(力価)、アモキシシリン水和物として1回750mg(力価)及びラベプラゾールナトリウムとして1回10mgの3剤を同時に1日2回7日間経口投与。
      14) クラリスロマイシンとして1回400mg(力価)、アモキシシリン水和物として1回750mg(力価)及びラベプラゾールナトリウムとして1回10mgの3剤を同時に1日2回7日間経口投与。
      15) 胃・十二指腸潰瘍等におけるヘリコバクター・ピロリ感染症患者を対象とした臨床試験(クラリスロマイシンとして1回500mg(力価)、アモキシシリン水和物として1回1,000mg(力価)及びラベプラゾールナトリウムとして1回20mgの3剤を同時に1日2回経口投与)。本剤の承認最大用量は800mgである。

18. 薬効薬理

18.1 作用機序

細菌の70Sリボソームの50Sサブユニットと結合し、蛋白合成を阻害する37)

18.2 薬理作用

  1. 18.2.1 抗菌作用

    ブドウ球菌属、レンサ球菌属、肺炎球菌の好気性グラム陽性菌52),53),54),55),56)、モラクセラ(ブランハメラ)・カタラーリス、インフルエンザ菌、レジオネラ属、カンピロバクター属等の一部のグラム陰性菌52),53),54),55),56)、ペプトストレプトコッカス属57)、クラミジア属58)、マイコプラズマ属56),59)、マイコバクテリウム属60)及びヘリコバクター・ピロリ61)に抗菌作用を示し、その作用は他のマクロライド系抗生物質と同等以上である(in vitro)。

  2. 18.2.2 ヒト主代謝物14位水酸化体の抗菌力

    未変化体とほぼ同等の抗菌力を有する62)が、マイコバクテリウム・アビウムコンプレックス(MAC)63)及びヘリコバクター・ピロリ61)に対しては未変化体より弱い(in vitro)。

  3. 18.2.3 動物感染モデルに対する作用

    マウスの腹腔内感染52),53),55),56),62)、皮下感染52),55),56)、呼吸器感染症52),53),56),62)モデルにおいては、クラリスロマイシンの良好な組織移行性を反映し、優れた効果を示す。

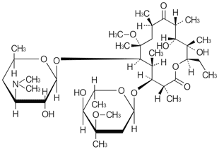
19. 有効成分に関する理化学的知見

一般的名称

クラリスロマイシン
(Clarithromycin)

化学名

(2R,3S,4S,5R,6R,8R,10R,11R,12S,13R)-5-(3,4,6-Trideoxy-3-dimethylamino-β-D-xylo-hexopyranosyloxy)-3-(2,6-dideoxy-3-C-methyl-3-O-methyl-α-L-ribo-hexopyranosyloxy)-11,12-dihydroxy-6-methoxy-2,4,6,8,10,12-hexamethyl-9-oxopentadecan-13-olide

分子式

C38H69NO13

分子量

747.95

性状

白色の結晶性の粉末で、味は苦い。
アセトン又はクロロホルムにやや溶けやすく、メタノール、エタノール(95)又はジエチルエーテルに溶けにくく、水にほとんど溶けない。

化学構造式

融点

220~227℃

略号

CAM

旋光度

〔α〕20D:-96~-106°(脱水物に換算したもの0.25g、アセトン、25mL、100mm)

22. 包装

100錠[10錠(PTP)×10]

23. 主要文献

1) 厚生労働省健康局結核感染症課編:抗微生物薬適正使用の手引き

2) Griffith DE, et al.:Am J Respir Crit Care Med. 2007;175(4):367-416

3) Desta Z, et al.:Clin Pharmacol Ther. 1999;65(1):10-20

4) 二木芳人他:Chemotherapy. 1988;36(S-3):515-520

5) 辻本善樹他:日本小児アレルギー学会誌. 1989;3(1):48-55

6) Jacobson TA.:Am J Cardiol. 2004;94(9):1140-1146

7) Greenblatt DJ, et al.:Clin Pharmacol Ther. 1998;64(3):278-285

8) Yeates RA, et al.:Int J Clin Pharmacol Ther. 1997;35(12):577-579

9) Hedaya MA, et al.:Biopharm Drug Dispos. 2006;27(2):103-110

10) Kulanthaivel P, et al.:Cancer Res. 2016;76(14 suppl):CT153

11) Liukas A, et al.:J Clin Psychopharmacol. 2011;31(3):302-308

12) Hardin TC, et al.:Pharmacotherapy. 1997;17(1):195

13) Ouellet D, et al.:Clin Pharmacol Ther. 1998;64(4):355-362

14) Hafner R, et al.:Antimicrob Agents Chemother. 1998;42(3):631-639

15) Kakuda TN, et al.:J Antimicrob Chemother. 2014;69(3):728-734

16) Wallace RJ Jr, et al.:J Infect Dis. 1995;171(3):747-750

17) 高橋賢成他:臨床薬理. 1995;26(1):149-150

18) 厚生労働省:重篤副作用疾患別対応マニュアル 薬剤性過敏症症候群

19) 諏訪俊男他:Chemotherapy. 1988;36(12):921-932

20) 諏訪俊男他:Chemotherapy. 1988;36(12):933-940

21) ヒトにおける薬物動態(クラリス/クラリシッド:2000年9月22日承認、申請資料概要へ.3.1.2)

22) ヒトにおける薬物動態(クラリス/クラリシッド:2002年4月11日承認、申請資料概要へ.3.2.3)

23) 日本人健康成人男子におけるRPZ,AMPC 及びCAM の3 剤併用投与時の薬物動態(クラリス/クラリシッド:2007年1月26日承認、申請資料概要2.7.6.1)

24) 3剤併用体内動態試験(国内)の血漿中濃度測定法(クラリス/クラリシッド:2007年1月26日承認、申請資料概要2.7.1.1)

25) Sakurai Y, et al.:Adv Ther. 2016;33(9):1519-1535

26) 社内資料:生物学的同等性試験(クラリスロマイシン錠200mg「タカタ」)

27) Chu SY, et al.:Antimicrob Agents Chemother. 1992;36(5):1147-1150

28) 佐々木次郎他:Chemotherapy. 1988;36(S-3):1058-1073

29) 古賀宏延他:Chemotherapy. 1988;36(S-3):698-714

30) 力富直人他:Chemotherapy. 1988;36(S-3):715-728

31) 塙伸太郎他:Chemotherapy. 1988;36(S-3):950-954

32) 宮崎康博他:Chemotherapy. 1988;36(S-3):926-934

33) 諏訪俊男他:Chemotherapy. 1988;36(S-3):213-226

34) Suzuki A, et al.:Drug Metab Pharmacokin. 2003;18(2):104-113

35) 瀧井昌英他:Chemotherapy. 1989;37(1):15-21

36) 足立暁他:Chemotherapy. 1988;36(S-3):660-666

37) 日本薬局方解説書編集委員会編:第十八改正 日本薬局方解説書 2021:C-1597-1605

38) 後天性免疫不全症候群(エイズ)に伴う播種性MAC症に対する国内臨床試験(クラリス/クラリシッド:2011年3月25日、再審査報告書)

39) Asaka M, et al.:Helicobacter. 2001;6(3):254-261

40) Schwartz H, et al.:Am J Gastroenterol. 1998;93(4):584-590

41) Fennerty MB, et al.:Arch Intern Med. 1998;158(15):1651-1656

42) Misiewicz JJ, et al.:Gut. 1997;41(6):735-739

43) 外国における臨床成績(クラリス/クラリシッド:2000年9月22日承認、申請資料概要ト.4)

44) Kuwayama H, et al.:Clin Drug Invest. 2005;25(5):293-305

45) Higuchi K, et al.:Clin Drug Invest. 2006;26(7):403-414

46) Lind T, et al.:Helicobacter. 1996;1(3):138-144

47) Malfertheiner P, et al.:Aliment Pharmacol Ther. 1999;13(6):703-712

48) Kuwayama H, et al.:Aliment Pharmacol Ther. 2007;25(9):1105-1113

49) 欧州第Ⅲ相試験(クラリス/クラリシッド:2007年1月26日承認、申請資料概要2.7.6.5)

50) 米国第Ⅲ相試験(クラリス/クラリシッド:2007年1月26日承認、申請資料概要2.7.6.6)

51) 国内第Ⅲ相試験(クラリス/クラリシッド:2007年1月26日承認、申請資料概要2.7.6.3)

52) 小野武夫他:Chemotherapy. 1988;36(S-3):1-34

53) 五島瑳智子他:Chemotherapy. 1988;36(S-3):35-58

54) 横田健他:Chemotherapy. 1988;36(S-3):59-70

55) 西野武志他:Chemotherapy. 1988;36(S-3):95-110

56) 長手尊俊他:Chemotherapy. 1988;36(S-3):129-155

57) 加藤直樹他:Chemotherapy. 1988;36(S-3):71-81

58) 吉沢花子他:Chemotherapy. 1988;36(S-3):117-122

59) 洲崎健他:Chemotherapy. 1988;36(S-3):111-116

60) Brown BA, et al.:Antimicrob Agents Chemother. 1992;36(9):1987-1990

61) Cederbrant G, et al.:J Antimicrob Chemother. 1994;34(6):1025-1029

62) 長手尊俊他:Chemotherapy. 1988;36(S-3):156-169

63) Cohen Y, et al.:Antimicrob Agents Chemother. 1992;36(10):2104-2107

24. 文献請求先及び問い合わせ先

高田製薬株式会社 文献請求窓口

〒336-8666 さいたま市南区沼影1丁目11番1号

電話 0120-989-813
FAX 048-838-2121

26. 製造販売業者等

26.1 製造販売元

高田製薬株式会社

さいたま市西区宮前町203番地1

〒100-0013 東京都千代田区霞が関3-3-2 新霞が関ビル

画面を閉じる

Copyright © Pharmaceuticals and Medical Devices Agency, All Rights reserved.