医療用医薬品 詳細表示

ラベプラゾールナトリウム錠5mg「TCK」/ラベプラゾールナトリウム錠10mg「TCK」

処方せん医薬品以外の医薬品

添付文書番号
企業コード
作成又は改訂年月
日本標準商品分類番号
薬効分類名
承認等
一般的名称
2.禁忌(次の患者には投与しないこと)
3.組成・性状
3.1組成
3.2製剤の性状
4.効能又は効果
5.効能又は効果に関連する注意
6.用法及び用量
7.用法及び用量に関連する注意
8.重要な基本的注意
9.特定の背景を有する患者に関する注意
9.1合併症・既往歴等のある患者
9.3肝機能障害患者
9.5妊婦
9.6授乳婦
9.7小児等
9.8高齢者
10.相互作用
10.1併用禁忌(併用しないこと)
10.2併用注意(併用に注意すること)
11.副作用
11.1重大な副作用
11.2その他の副作用
12.臨床検査結果に及ぼす影響
14.適用上の注意
15.その他の注意
15.1臨床使用に基づく情報
15.2非臨床試験に基づく情報
16.薬物動態
16.1血中濃度
16.2吸収
16.4代謝
16.5排泄
16.7薬物相互作用
17.臨床成績
17.1有効性及び安全性に関する試験
18.薬効薬理
18.1作用機序
18.2胃酸分泌抑制作用
18.3胃内pH上昇作用
18.4H+、K+-ATPase阻害作用
18.5抗潰瘍作用
18.6作用機序
18.7除菌効果
19.有効成分に関する理化学的知見
20.取扱い上の注意
22.包装
23.主要文献
24.文献請求先及び問い合わせ先
26.製造販売業者等

ラベプラゾールナトリウム錠5mg「TCK」/ラベプラゾールナトリウム錠10mg「TCK」

添付文書番号

2329028F1198_1_18

企業コード

400278

作成又は改訂年月

**2025年7月改訂(第3版)
2025年3月改訂

日本標準商品分類番号

872329

薬効分類名

プロトンポンプ阻害剤

承認等

ラベプラゾールナトリウム錠5mg「TCK」

販売名コード

YJコード

2329028F3158

販売名英語表記

RABEPRAZOLE SODIUM Tablets「TCK」

販売名ひらがな

らべぷらぞーるなとりうむじょう

承認番号等

承認番号

30200AMX00257000

販売開始年月

2020年6月

貯法・有効期間

貯法

室温保存

有効期間

3年

ラベプラゾールナトリウム錠10mg「TCK」

販売名コード

YJコード

2329028F1198

販売名英語表記

RABEPRAZOLE SODIUM Tablets「TCK」

販売名ひらがな

らべぷらぞーるなとりうむじょう

承認番号等

承認番号

22200AMX00784000

販売開始年月

2010年11月

貯法・有効期間

貯法

室温保存

有効期間

3年

一般的名称

ラベプラゾールナトリウム錠

2. 禁忌(次の患者には投与しないこと)

  1. 2.1 本剤の成分に対し過敏症の既往歴のある患者
  2. 2.2 *リルピビリン塩酸塩を投与中の患者

3. 組成・性状

3.1 組成

ラベプラゾールナトリウム錠5mg「TCK」

有効成分ラベプラゾールナトリウム   5mg
添加剤D-マンニトール、酸化マグネシウム、結晶セルロース、ヒドロキシプロピルセルロース、カルメロースカルシウム、低置換度ヒドロキシプロピルセルロース、ステアリン酸マグネシウム、エチルセルロース、ヒプロメロースフタル酸エステル、グリセリン脂肪酸エステル、酸化チタン、黄色三二酸化鉄、カルナウバロウ

ラベプラゾールナトリウム錠10mg「TCK」

有効成分ラベプラゾールナトリウム   10mg
添加剤D-マンニトール、酸化マグネシウム、結晶セルロース、ヒドロキシプロピルセルロース、カルメロースカルシウム、低置換度ヒドロキシプロピルセルロース、ステアリン酸マグネシウム、エチルセルロース、ヒプロメロースフタル酸エステル、グリセリン脂肪酸エステル、酸化チタン、黄色三二酸化鉄、カルナウバロウ

3.2 製剤の性状

ラベプラゾールナトリウム錠5mg「TCK」

剤形腸溶フィルムコーティング錠
色調淡黄色
外形表面
裏面
側面
大きさ直径5.7mm
厚さ2.7mm
重量67mg

ラベプラゾールナトリウム錠10mg「TCK」

剤形腸溶フィルムコーティング錠
色調淡黄色
外形表面
裏面
側面
大きさ直径6.7mm
厚さ3.7mm
重量132mg

4. 効能又は効果

  • 胃潰瘍、十二指腸潰瘍、吻合部潰瘍、逆流性食道炎、Zollinger-Ellison症候群、非びらん性胃食道逆流症、低用量アスピリン投与時における胃潰瘍又は十二指腸潰瘍の再発抑制
  • 下記におけるヘリコバクター・ピロリの除菌の補助

    **胃潰瘍、十二指腸潰瘍、胃MALTリンパ腫、免疫性血小板減少症、早期胃癌に対する内視鏡的治療後胃、ヘリコバクター・ピロリ感染胃炎

5. 効能又は効果に関連する注意

  • 〈効能共通〉
    1. 5.1 本剤の投与が胃癌による症状を隠蔽することがあるので、悪性でないことを確認のうえ投与すること(胃MALTリンパ腫、早期胃癌に対する内視鏡的治療後胃におけるヘリコバクター・ピロリの除菌の補助を除く)。
  • 〈非びらん性胃食道逆流症〉
    1. 5.2 投与開始2週後を目安として効果を確認し、症状の改善傾向が認められない場合には、酸逆流以外の原因が考えられるため他の適切な治療への変更を検討すること。
  • 〈低用量アスピリン投与時における胃潰瘍又は十二指腸潰瘍の再発抑制〉
    1. 5.3 血栓・塞栓の形成抑制のために低用量アスピリンを継続投与している患者を投与対象とし、投与開始に際しては、胃潰瘍又は十二指腸潰瘍の既往を確認すること。
  • 〈ヘリコバクター・ピロリの除菌の補助〉
    1. 5.4 進行期胃MALTリンパ腫に対するヘリコバクター・ピロリ除菌治療の有効性は確立していない。
    2. 5.5 **免疫性血小板減少症に対しては、ガイドライン等を参照し、ヘリコバクター・ピロリ除菌治療が適切と判断される症例にのみ除菌治療を行うこと。
    3. 5.6 早期胃癌に対する内視鏡的治療後胃以外には、ヘリコバクター・ピロリ除菌治療による胃癌の発症抑制に対する有効性は確立していない。
    4. 5.7 ヘリコバクター・ピロリ感染胃炎に用いる際には、ヘリコバクター・ピロリが陽性であること及び内視鏡検査によりヘリコバクター・ピロリ感染胃炎であることを確認すること。

6. 用法及び用量

  • 〈胃潰瘍、十二指腸潰瘍、吻合部潰瘍、Zollinger-Ellison症候群〉

    通常、成人にはラベプラゾールナトリウムとして1回10mgを1日1回経口投与するが、病状により1回20mgを1日1回経口投与することができる。なお、通常、胃潰瘍、吻合部潰瘍では8週間まで、十二指腸潰瘍では6週間までの投与とする。

  • 〈逆流性食道炎〉
    • 治療

      逆流性食道炎の治療においては、通常、成人にはラベプラゾールナトリウムとして1回10mgを1日1回経口投与するが、病状により1回20mgを1日1回経口投与することができる。なお、通常、8週間までの投与とする。また、プロトンポンプインヒビターによる治療で効果不十分な場合、1回10mg又は1回20mgを1日2回、さらに8週間経口投与することができる。ただし、1回20mg1日2回投与は重度の粘膜傷害を有する場合に限る。

    • 維持療法

      再発・再燃を繰り返す逆流性食道炎の維持療法においては、通常、成人にはラベプラゾールナトリウムとして1回10mgを1日1回経口投与する。また、プロトンポンプインヒビターによる治療で効果不十分な逆流性食道炎の維持療法においては、1回10mgを1日2回経口投与することができる。

  • 〈非びらん性胃食道逆流症〉

    通常、成人にはラベプラゾールナトリウムとして1回10mgを1日1回経口投与する。なお、通常、4週間までの投与とする。

  • 〈低用量アスピリン投与時における胃潰瘍又は十二指腸潰瘍の再発抑制〉

    通常、成人にはラベプラゾールナトリウムとして1回5mgを1日1回経口投与するが、効果不十分の場合は1回10mgを1日1回経口投与することができる。

  • 〈ヘリコバクター・ピロリの除菌の補助〉

    通常、成人にはラベプラゾールナトリウムとして1回10mg、アモキシシリン水和物として1回750mg(力価)及びクラリスロマイシンとして1回200mg(力価)の3剤を同時に1日2回、7日間経口投与する。
    なお、クラリスロマイシンは、必要に応じて適宜増量することができる。ただし、1回400mg(力価)1日2回を上限とする。
    プロトンポンプインヒビター、アモキシシリン水和物及びクラリスロマイシンの3剤投与によるヘリコバクター・ピロリの除菌治療が不成功の場合は、これに代わる治療として、通常、成人にはラベプラゾールナトリウムとして1回10mg、アモキシシリン水和物として1回750mg(力価)及びメトロニダゾールとして1回250mgの3剤を同時に1日2回、7日間経口投与する。

7. 用法及び用量に関連する注意

  • 〈胃潰瘍、十二指腸潰瘍、吻合部潰瘍、Zollinger-Ellison症候群〉
    1. 7.1 病状が著しい場合及び再発性・難治性の場合に1回20mgを1日1回投与することができる。
  • 〈逆流性食道炎〉
    1. 7.2 病状が著しい場合及び再発性・難治性の場合に1回20mgを1日1回投与することができる(再発・再燃を繰り返す逆流性食道炎の維持療法、プロトンポンプインヒビターによる治療で効果不十分な場合は除く)。また、プロトンポンプインヒビターによる治療で効果不十分な患者に対し1回10mg又は1回20mgを1日2回、さらに8週間投与する場合は、内視鏡検査で逆流性食道炎が治癒していないことを確認すること。なお、本剤1回20mgの1日2回投与は、内視鏡検査で重度の粘膜傷害を確認した場合に限る

8. 重要な基本的注意

  • 〈効能共通〉
    1. 8.1 本剤の投与中には、血液像や肝機能に注意し、定期的に血液学的検査・血液生化学的検査を行うことが望ましい。
  • 〈胃潰瘍、十二指腸潰瘍、吻合部潰瘍、非びらん性胃食道逆流症〉
    1. 8.2 長期の使用経験が十分でないので、維持療法には用いないことが望ましい。
  • 〈逆流性食道炎の維持療法〉
    1. 8.3 再発・再燃を繰り返す患者やプロトンポンプインヒビターによる治療で効果不十分な患者に対し行うこととし、本来、維持療法の必要のない患者に行うことのないよう留意すること。また、食事制限、アルコール摂取制限等の生活習慣の改善が図られ、寛解状態が長期にわたり継続する場合には休薬又は減量を考慮すること。なお、維持療法中は定期的に内視鏡検査を実施するなど観察を十分に行うことが望ましい。
  • 〈非びらん性胃食道逆流症〉
    1. 8.4 問診により胸やけ、呑酸等の酸逆流症状が繰り返しみられること(1週間あたり2日以上)を確認のうえ投与すること。なお、本剤の投与が胃癌、食道癌等の悪性腫瘍及び他の消化器疾患による症状を隠蔽することがあるので、内視鏡検査等によりこれらの疾患でないことを確認すること。

9. 特定の背景を有する患者に関する注意

9.1 合併症・既往歴等のある患者

  1. 9.1.1 薬物過敏症の既往歴のある患者

9.3 肝機能障害患者

肝硬変患者で肝性脳症の報告がある。

9.5 妊婦

妊婦又は妊娠している可能性のある女性には治療上の有益性が危険性を上回ると判断される場合にのみ投与すること。動物実験(ラット経口400mg/kg、ウサギ静注30mg/kg)で胎児毒性(ラットで化骨遅延、ウサギで体重の低下、化骨遅延)が報告されている。また、ラットにラベプラゾールナトリウム(25mg/kg/日)、アモキシシリン水和物(400mg/kg/日以上)及びクラリスロマイシン(50mg/kg/日以上)を4週間併用投与した試験で、雌で栄養状態の悪化が認められている。

9.6 授乳婦

治療上の有益性及び母乳栄養の有益性を考慮し、授乳の継続又は中止を検討すること。動物実験(ラット)で乳汁中へ移行することが報告されている。

9.7 小児等

小児等を対象とした臨床試験は実施していない。

9.8 高齢者

消化器症状等の副作用があらわれた場合は休薬するなど慎重に投与すること。本剤は主として肝臓で代謝されるが、高齢者では肝機能が低下していることが多く、副作用があらわれることがある。

10. 相互作用

  • 本剤の代謝には肝代謝酵素チトクロームP450 2C19(CYP2C19)及び3A4(CYP3A4)の関与が認められている。
    また、本剤の胃酸分泌抑制作用により、併用薬剤の吸収を促進又は抑制することがある。

10.1 併用禁忌(併用しないこと)

薬剤名等臨床症状・措置方法機序・危険因子

リルピビリン塩酸塩(エジュラント)

リルピビリン塩酸塩の作用を減弱するおそれがある。

本剤の胃酸分泌抑制作用により、胃内pHが上昇し、リルピビリン塩酸塩の吸収が低下し、リルピビリンの血中濃度が低下することがある。

10.2 併用注意(併用に注意すること)

薬剤名等臨床症状・措置方法機序・危険因子

ジゴキシン

メチルジゴキシン

相手薬剤の血中濃度が上昇することがある。

本剤の胃酸分泌抑制作用により、胃内pHが上昇し、相手薬剤の吸収を促進する。

イトラコナゾール

ゲフィチニブ

相手薬剤の血中濃度が低下するおそれがある。

本剤の胃酸分泌抑制作用により、胃内pHが上昇し、相手薬剤の吸収を抑制するおそれがある。

水酸化アルミニウムゲル・水酸化マグネシウム含有の制酸剤

本剤単独投与に比べ制酸剤同時服用、制酸剤投与1時間後服用で平均血漿中濃度曲線下面積がそれぞれ8%、6%低下したとの報告がある。

機序は不明である。

メトトレキサート

メトトレキサートの血中濃度が上昇することがある。高用量のメトトレキサートを投与する場合は、一時的に本剤の投与を中止することを考慮すること。

機序は不明である。

11. 副作用

次の副作用があらわれることがあるので、観察を十分に行い、異常が認められた場合には投与を中止するなど適切な処置を行うこと。

11.1 重大な副作用

  1. 11.1.1 ショック(頻度不明)、アナフィラキシー(頻度不明)
  2. 11.1.2 汎血球減少(頻度不明)、無顆粒球症(頻度不明)、血小板減少(0.1%未満)、溶血性貧血(頻度不明)
  3. 11.1.3 劇症肝炎(頻度不明)、肝機能障害(0.1~5%未満)、黄疸(頻度不明)
  4. 11.1.4 間質性肺炎(0.1%未満)

    発熱、咳嗽、呼吸困難、肺音の異常(捻髪音)等が認められた場合には、速やかに胸部X線等の検査を実施し、本剤の投与を中止するとともに、副腎皮質ホルモン剤の投与等の適切な処置を行うこと。

  5. 11.1.5 皮膚障害(頻度不明)

    中毒性表皮壊死融解症(Toxic Epidermal Necrolysis:TEN)、皮膚粘膜眼症候群(Stevens-Johnson症候群)、多形紅斑等があらわれることがある。

  6. 11.1.6 急性腎障害(頻度不明)、間質性腎炎(頻度不明)

    腎機能検査(BUN、クレアチニン等)に注意すること。

  7. 11.1.7 低ナトリウム血症(頻度不明)
  8. 11.1.8 横紋筋融解症(頻度不明)

    筋肉痛、脱力感、CK上昇、血中及び尿中ミオグロビン上昇を特徴とする横紋筋融解症があらわれることがある。

  9. 11.1.9 視力障害(頻度不明)
  10. 11.1.10 錯乱状態(頻度不明)

    せん妄、異常行動、失見当識、幻覚、不安、焦燥、攻撃性等があらわれることがある。

11.2 その他の副作用

  • 〈胃潰瘍、十二指腸潰瘍、吻合部潰瘍、逆流性食道炎、Zollinger-Ellison症候群、非びらん性胃食道逆流症、低用量アスピリン投与時における胃潰瘍又は十二指腸潰瘍の再発抑制〉

0.1~5%未満

0.1%未満

頻度不明

過敏症

発疹、瘙痒感

蕁麻疹

血液

白血球減少、白血球増加、好酸球増多、貧血

赤血球減少、好中球増多、リンパ球減少

肝臓

AST、ALT、Al-P、γ-GTP、LDHの上昇

総ビリルビンの上昇

循環器

血圧上昇

動悸

消化器

便秘、下痢、腹部膨満感、嘔気、口内炎

腹痛、苦味、カンジダ症、胃もたれ、口渇、食欲不振、鼓腸

舌炎、嘔吐、顕微鏡的大腸炎(collagenous colitis、lymphocytic colitis)

精神神経系

頭痛

めまい、ふらつき、眠気、四肢脱力、知覚鈍麻、握力低下、口のもつれ、失見当識

せん妄、昏睡

その他

総コレステロール・中性脂肪・BUNの上昇、蛋白尿、血中TSH増加

かすみ目、浮腫、倦怠感、発熱、脱毛症、しびれ感、CKの上昇

目のちらつき、関節痛、筋肉痛、高アンモニア血症、低マグネシウム血症、女性化乳房

注)発現頻度は製造販売後調査を含む。
  • 〈ヘリコバクター・ピロリの除菌の補助〉

0.1~5%未満

0.1%未満

過敏症

発疹、蕁麻疹

瘙痒感

血液

白血球減少

好酸球増多、好中球減少、リンパ球減少、リンパ球増多、血小板減少、白血球増加

肝臓

ALT、AST、γ-GTPの上昇

Al-P、LDHの上昇

循環器

動悸、血圧上昇

消化器

下痢、軟便、味覚異常、腹痛、腹部膨満感、嘔気、便秘、舌炎、胃部不快感、鼓腸放屁

口渇、口内炎、胸やけ、口唇炎、痔核、食道炎、食欲不振、腸炎

精神神経系

頭痛

めまい

その他

中性脂肪の上昇

顔面浮腫、倦怠感、舌のしびれ感、熱感、蛋白尿、眼圧上昇、手足のしびれ感、尿酸の上昇、尿糖異常、勃起増強

注)発現頻度は胃潰瘍又は十二指腸潰瘍におけるラベプラゾールナトリウム、アモキシシリン水和物及びクラリスロマイシンの3剤投与の承認時までの臨床試験及び製造販売後調査を含む。

12. 臨床検査結果に及ぼす影響

  • 〈ヘリコバクター・ピロリの除菌の補助〉
    1. 12.1 ヘリコバクター・ピロリの除菌判定上の注意

      ラベプラゾールナトリウム等のプロトンポンプインヒビターやアモキシシリン水和物、クラリスロマイシン等の抗生物質及びメトロニダゾールの服用中や投与終了直後では、13C-尿素呼気試験の判定が偽陰性になる可能性があるため、13C-尿素呼気試験による除菌判定を行う場合は、これらの薬剤の投与終了後4週以降の時点で実施することが望ましい。

14. 適用上の注意

14.1 薬剤交付時の注意

  1. 14.1.1 PTP包装の薬剤はPTPシートから取り出して服用するよう指導すること。PTPシートの誤飲により、硬い鋭角部が食道粘膜へ刺入し、更には穿孔をおこして縦隔洞炎等の重篤な合併症を併発することがある。
  2. 14.1.2 本剤は腸溶錠であり、服用にあたっては、噛んだり、砕いたりせずに、のみくだすよう注意すること。

15. その他の注意

15.1 臨床使用に基づく情報

  1. 15.1.1 本剤の長期投与中に良性の胃ポリープを認めたとの報告がある。
  2. 15.1.2 海外における複数の観察研究で、プロトンポンプインヒビターによる治療において骨粗鬆症に伴う股関節骨折、手関節骨折、脊椎骨折のリスク増加が報告されている。特に、高用量及び長期間(1年以上)の治療を受けた患者で、骨折のリスクが増加した。
  3. 15.1.3 海外における主に入院患者を対象とした複数の観察研究で、プロトンポンプインヒビターを投与した患者においてクロストリジウム・ディフィシルによる胃腸感染のリスク増加が報告されている。

15.2 非臨床試験に基づく情報

  1. 15.2.1 ラットに5mg/kg以上を2年間経口投与した毒性試験において、雌で胃にカルチノイドの発生がみられたとの報告がある。
  2. 15.2.2 動物実験(ラット経口投与25mg/kg以上)で甲状腺重量及び血中サイロキシンの増加が報告されているので、使用にあたっては甲状腺機能に注意する。
  3. 15.2.3 ラットに類薬であるランソプラゾール(50mg/kg/日)、アモキシシリン水和物(500mg/kg/日)及びクラリスロマイシン(160mg/kg/日)を併用投与した試験で、母動物での毒性の増強とともに胎児の発育抑制の増強が認められている。

16. 薬物動態

16.1 血中濃度

  1. 16.1.1 ラベプラゾールナトリウム単剤投与

    健康成人男子に20mgを絶食下又は食後に経口投与した時の被験者毎に算出した薬物動態パラメータの平均値を表に示す1)

    食事効果試験時の薬物動態パラメータ

    投与条件

    Cmax
    (ng/mL)

    tmax
    (hr)

    AUC
    (ng・hr/mL)

    絶食下

    437±237

    3.6±0.9

    937±617

    食後

    453±138

    5.3±1.4

    901±544

    (平均値±標準偏差、n=12)

    また、健康成人男子に5mg、10mg、20mgを絶食下で反復投与した時(投与5日目)の薬物動態パラメータは以下のとおりである2)

    健康成人男子における反復投与時(5mg、10mg、20mg)の血漿中ラベプラゾールナトリウムの薬物動態パラメータ

    投与量

    表現型

    Cmax
    (ng/mL)

    tmax
    (hr)

    AUC(0-t)
    (ng・hr/mL)

    t1/2
    (hr)

    5mg

    EM

    146±56

    3.0(2.0-4.5)

    236±97

    1.8±0.9

    PM

    252±55

    2.5(1.5-5.5)

    585±137

    4.2±0.5

    10mg

    EM

    383±83

    3.3(2.0-5.0)

    539±200

    1.5±0.4

    PM

    509±64

    2.8(2.0-4.5)

    1230±200

    3.8±0.3

    20mg

    EM

    654±348

    4.0(2.5-8.0)

    994±477

    2.3±1.4

    PM

    822±232

    3.3(3.0-6.0)

    2331±663

    3.7±0.3

    (Mean±S.D., tmaxはMedian(Min-Max),EM n=16,PM n=8)
    ※肝代謝酵素チトクロームP450 2C19(CYP2C19)表現型は、下記遺伝子型より分類される。
    EM(extensive metabolizer):CYP2C191/1、CYP2C191/2又はCYP2C191/3
    PM(poor metabolizer):CYP2C192/2、CYP2C192/3又はCYP2C193/3

  2. 16.1.2 3剤併用投与

    健康成人男子にラベプラゾールナトリウム20mg1)、アモキシシリン水和物750mg(力価)、及びクラリスロマイシン400mg(力価)を1日2回7日間(計12回)反復経口投与した時のラベプラゾールナトリウムの薬物動態パラメータは以下のとおりである3)

    健康成人男子における3剤併用反復投与時の血漿中ラベプラゾールナトリウムの薬物動態パラメータ

    Cmax
    (ng/mL)

    tmax
    (hr)

    AUC0-12
    (ng・hr/mL)

    t1/2
    (hr)

    EM(n=15)

    578±293

    3.0±0.7

    934±438

    0.72±0.19

    PM(n=4)

    948±138

    2.8±0.5

    2600±474

    1.80±0.32

    (Mean±S.D.)
    ※肝代謝酵素チトクロームP450 2C19(CYP2C19)表現型は、下記遺伝子型より分類される。
    EM(extensive metabolizer):CYP2C191/1、CYP2C191/2又はCYP2C191/3
    PM(poor metabolizer):CYP2C192/2、CYP2C192/3又はCYP2C193/3

    1) 承認用法及び用量は「通常、成人にはラベプラゾールナトリウムとして1回10mg、アモキシシリン水和物として1回750mg(力価)及びクラリスロマイシンとして1回200mg(力価)の3剤を同時に1日2回、7日間経口投与する。なお、クラリスロマイシンは、必要に応じて適宜増量することができる。ただし、1回400mg(力価)1日2回を上限とする。」である。

  3. 16.1.3 生物学的同等性試験
    • 〈ラベプラゾールナトリウム錠5mg「TCK」〉

      ラベプラゾールナトリウム錠5mg「TCK」とパリエット錠5mgを、クロスオーバー法によりそれぞれ1錠(ラベプラゾールナトリウム5mg)健康成人男子に絶食単回経口投与して血漿中未変化体濃度を測定し、得られた薬物動態パラメータ(AUC、Cmax)について90%信頼区間法にて統計解析を行った結果、AUCはlog(0.80)~log(1.25)の範囲内であった。Cmaxはlog(0.80)~log(1.25)の範囲外であったが、対数変換値の平均値の差がlog(0.90)~log(1.11)の範囲内であり、かつ、溶出試験で溶出挙動が類似していることから、両剤の生物学的同等性が確認された4)
      ※血漿中ラベプラゾール濃度をラベプラゾールナトリウム濃度に換算している。

      判定パラメータ

      参考パラメータ

      AUC0→10hr
      (ng・hr/mL)

      Cmax
      (ng/mL)

      Tmax
      (hr)

      T1/2
      (hr)

      ラベプラゾールナトリウム錠5mg「TCK」

      124.9±40.9

      81.3±31.9

      3.2±1.0

      1.1±0.3

      パリエット錠5mg

      124.7±39.9

      73.5±28.3

      3.8±1.3

      1.0±0.3

      (Mean±S.D.,n=30)

    • 〈ラベプラゾールナトリウム錠10mg「TCK」〉

      ラベプラゾールナトリウム錠10mg「TCK」とパリエット錠10mgを、クロスオーバー法によりそれぞれ1錠(ラベプラゾールナトリウム10mg)健康成人男子に絶食単回経口投与して血漿中未変化体濃度を測定し、得られた薬物動態パラメータ(AUC、Cmax)について90%信頼区間法にて統計解析を行った結果、log(0.80)~log(1.25)の範囲内であり、両剤の生物学的同等性が確認された5)

      判定パラメータ

      参考パラメータ

      AUC0→10hr
      (ng・hr/mL)

      Cmax
      (ng/mL)

      Tmax
      (hr)

      T1/2
      (hr)

      ラベプラゾールナトリウム錠10mg「TCK」

      407.35±161.31

      256.46±120.86

      3.2±0.84

      1.06±0.47

      パリエット錠10mg

      408.69±141.24

      243.72±75.58

      3.2±0.84

      0.90±0.18

      (Mean±S.D.,n=23)

      血漿中濃度並びにAUC、Cmax等のパラメータは、被験者の選択、体液の採取回数・時間等の試験条件によって異なる可能性がある。

16.2 吸収

  1. 16.2.1 食事の影響

    健康成人男子に20mgを絶食下又は食後に経口投与した時、食後投与では絶食下投与に比しtmaxが1.7時間遅延するとともに吸収に個体差が認められている1)

16.4 代謝

健康成人男子に10mg、20mgを経口投与した時の血漿中の代謝物は、主に非酵素的な還元反応により生成したチオエーテル体であった。その他に肝代謝酵素チトクロームP450 2C19(CYP2C19)が関与する脱メチル化反応により生成した脱メチル体、3A4(CYP3A4)が関与するスルホン化反応により生成したスルホン体が認められた1),6),7)

16.5 排泄

健康成人男子に20mgを経口投与した場合、投与後24時間までに尿中にラベプラゾールナトリウムの未変化体は検出されず、代謝物であるカルボン酸体及びそのグルクロン酸抱合体が投与量の約29~40%、メルカプツール酸抱合体が13~19%排泄された1),6)

16.7 薬物相互作用

類薬(オメプラゾール)で肝代謝酵素チトクロームP450 2C19(CYP2C19)への代謝競合により相互作用が認められているジアゼパム、ワルファリン(R-ワルファリン)に対してラベプラゾールナトリウムはこれらの薬剤の血中濃度に影響を与えないことが報告されている。また、類薬(ランソプラゾール)で肝代謝酵素チトクロームP450 1A2(CYP1A2)の誘導により相互作用が認められているテオフィリンに対してもラベプラゾールナトリウムは血中濃度に影響を与えないことが報告されている7),8)

17. 臨床成績

17.1 有効性及び安全性に関する試験

  • 〈胃潰瘍、十二指腸潰瘍、吻合部潰瘍、逆流性食道炎〉
  1. 17.1.1 一般臨床試験及び二重盲検比較試験

    胃潰瘍、十二指腸潰瘍、逆流性食道炎及び吻合部潰瘍を対象に1日1回10mg又は20mgを投与した一般臨床試験及び二重盲検比較試験(投与期間:6~8週間)の成績は下表のとおりである9),10),11),12),13),14),15),16),17),18)

    対象疾患

    内視鏡治癒率

    胃潰瘍

    94.0%(189例/201例)

    十二指腸潰瘍

    99.4%(159例/160例)

    逆流性食道炎

    90.9%(50例/55例)

    吻合部潰瘍

    83.3%(10例/12例)

    また、H2受容体拮抗剤抵抗性の逆流性食道炎を対象に1日1回10mgを24週間投与した維持療法(二重盲検比較試験)における内視鏡的非再発率は78.6%(33例/42例)であった19)
    通常用法及び用量のプロトンポンプインヒビター治療に抵抗性2)の逆流性食道炎患者を対象とした投与8週後の内視鏡検査による治癒率は下表のとおりであった20)

    1回20mg
    1日1回

    1回10mg
    1日2回

    1回20mg
    1日2回

    全体

    58.8%
    (60例/102例)

    78.4%
    (80例/102例)

    77.0%
    (77例/100例)

    grade A 及びgrade B

    65.1%
    (56例/86例)

    87.1%
    (74例/85例)

    79.5%
    (66例/83例)

    grade C 及びgrade D

    25.0%
    (4例/16例)

    35.3%
    (6例/17例)

    64.7%
    (11例/17例)

    2) ラベプラゾールナトリウム10mg/日、ランソプラゾール30mg/日、オメプラゾール20mg/日を8週間以上投与後に未治癒又は維持療法中に再発
    ※ロサンゼルス分類(改変2)による重症度

    通常用法及び用量のプロトンポンプインヒビター治療に抵抗性3)の逆流性食道炎を対象とした維持療法52週投与の内視鏡検査による非再発率(中央判定)は下表のとおりであった21),22)

    1回10mg
    1日1回

    1回10mg
    1日2回

    非再発率の群間差a)
    (95%信頼区間)
    P値b)

    投与52週後の非再発率

    44.8%
    (73/163例)

    73.9%
    (119/161例)

    29.1(18.9, 39.3)
    P<0.001

    a)10mg1日2回-10mg1日1回、b)χ2検定

    3) ラベプラゾールナトリウム10mg/日・20mg/日、ランソプラゾール30mg/日、オメプラゾール20mg/日、エソメプラゾール20mg/日を8週間以上投与後に未治癒又は維持療法中に再発

  • 〈非びらん性胃食道逆流症〉
  1. 17.1.2 二重盲検比較試験

    非びらん性胃食道逆流症を対象に1日1回10mgを投与した二重盲検比較試験(投与期間:4週間)における胸やけ症状の完全消失率及び緩解率は、それぞれ43.6%(44例/101例)、55.4%(56例/101例)であった。
    副作用は、10mg投与の102例中12例(11.8%)に認められた。主な副作用は、便秘3例(2.9%)及び腹部膨満2例(2.0%)であった23)

  • 〈低用量アスピリン投与時における胃潰瘍又は十二指腸潰瘍の再発抑制〉
  1. 17.1.3 二重盲検比較試験

    低用量アスピリン(1日81mg又は100mg)の長期投与を必要とし、かつ胃潰瘍又は十二指腸潰瘍の既往歴を有する患者を対象とした二重盲検比較試験の結果、Kaplan-Meier法により推定した投与24週間後の胃潰瘍又は十二指腸潰瘍の累積再発率は下表のとおりであった。
    副作用は、ラベプラゾールナトリウム10mg投与群で157例中14例(8.9%)、5mg投与群で156例中7例(4.5%)に認められた。主な副作用は10mg投与群で下痢及び湿疹各2例(1.3%)、5mg投与群で下痢3例(1.9%)、肝機能異常2例(1.3%)であった。

    1日1回5mg
    (150例)

    1日1回10mg
    (151例)

    対照c)
    (151例)

    再発例数

    4例

    2例

    32例

    投与24週後の累積再発率a)
    (95%信頼区間)

    2.8%
    (1.04, 7.17)

    1.4%
    (0.35, 5.51)

    21.7%
    (15.84, 29.27)

    対照に対するハザード比
    (95%信頼区間)

    0.11
    (0.04, 0.31)

    0.05
    (0.01, 0.23)

    P値b)

    P<0.001

    P<0.001

    a)Kaplan-Meier法による推定、b)Log-rank検定、c)対照はテプレノン(1回50mg1日3回)

    さらに、投与24週以降、ラベプラゾールナトリウムを最大52週間継続投与した場合(累計で最大76週間投与)、Kaplan-Meier法により推定した胃潰瘍又は十二指腸潰瘍の累積再発率は、1日1回5mgで3.7%(95%信頼区間:1.53,8.64)、1日1回10mgで2.2%(95%信頼区間:0.72,6.75)であった。なお、投与24週以降、対照群はラベプラゾールナトリウム1日1回5mg又は1日1回10mgに切り替えて、最大52週間継続投与した24),25),26)

  • 〈胃潰瘍又は十二指腸潰瘍におけるヘリコバクター・ピロリの除菌の補助〉
  1. 17.1.4 国内臨床試験

    ヘリコバクター・ピロリ陽性の胃潰瘍又は十二指腸潰瘍の患者を対象とした国内の臨床試験(ラベプラゾールナトリウム、アモキシシリン水和物及びクラリスロマイシンの1日2回7日間経口投与)における除菌率は下表のとおりである。
    副作用は、ラベプラゾールナトリウム10mg、アモキシシリン水和物750mg(力価)、クラリスロマイシン200mg(力価)投与により、129例中40例(31.0%)に認められ、主な副作用は下痢16例(12.4%)、軟便13例(10.1%)であった。また、ラベプラゾールナトリウム10mg、アモキシシリン水和物750mg(力価)、クラリスロマイシン400mg(力価)投与により、123例中55例(44.7%)に副作用が認められ、主な副作用は下痢26例(21.1%)、軟便13例(10.6%)、味覚異常13例(10.6%)、腹痛7例(5.7%)であった27),28)

    各薬剤の1回投与量

    投与回数

    除菌率

    胃潰瘍

    十二指腸潰瘍

    ラベプラゾールナトリウム10mg
    アモキシシリン水和物750mg(力価)
    クラリスロマイシン200mg(力価)

    2回/日

    87.7%
    (57例/65例)

    83.3%
    (45例/54例)

    85.7%
    (102例/119例)

    ラベプラゾールナトリウム10mg
    アモキシシリン水和物750mg(力価)
    クラリスロマイシン400mg(力価)

    2回/日

    89.7%
    (61例/68例)

    87.8%
    (36例/41例)

    89.0%
    (97例/109例)


    なお、海外で行われたヘリコバクター・ピロリ陽性の胃・十二指腸潰瘍等に対する除菌の臨床試験4)においても、同程度の成績が得られている29)

    4) 各薬剤の投与量、及び投与期間は下記のとおりであり、国内の承認用法及び用量とは異なる。
    ラベプラゾールナトリウムとして1回20mg、アモキシシリン水和物として1回1000mg(力価)及びクラリスロマイシンとして1回500mg(力価)の3剤を1日2回、7日間経口投与
    また、プロトンポンプインヒビター(ランソプラゾール)、アモキシシリン水和物及びクラリスロマイシンの3剤投与によるヘリコバクター・ピロリの除菌治療が不成功であったヘリコバクター・ピロリ陽性の胃潰瘍又は十二指腸潰瘍の患者を対象とした国内の検討(ラベプラゾールナトリウム、アモキシシリン水和物及びメトロニダゾールの1日2回7日間経口投与)における除菌率は82%(49例/60例)と報告されている30)

18. 薬効薬理

18.1 作用機序

ラベプラゾールナトリウムは酸分泌細胞の酸性領域で活性体(スルフェンアミド体)になり、プロトンポンプ(H+、K+-ATPase)のSH基を修飾して酵素活性を阻害し、酸分泌を抑制する。さらに阻害された酵素活性の回復には、主に作用部位からの薬物の消失あるいはグルタチオンによる活性体の消失が関与しているものと考えられる。その他、グルタチオンによって酵素活性が回復する可能性も推測される31),32),33)

18.2 胃酸分泌抑制作用

  1. 18.2.1 健康成人男子におけるガストリン刺激酸分泌に対し、1日1回10mg投与、1日1回20mg投与でともに投与初日から著明な抑制作用を示し、投与1日目及び7日目の酸分泌量の減少率は1日1回10mg投与で72~76%、90~96%、1日1回20mg投与で88~89%、99%である34),35)
  2. 18.2.2 ウサギ摘出胃腺標本におけるジブチリルサイクリックAMP刺激による胃酸分泌を抑制する32)in vitro)。
  3. 18.2.3 慢性胃ろう管装着犬におけるヒスタミン、ペンタガストリン刺激胃酸分泌、並びにラットにおける基礎胃酸分泌及びヒスタミン刺激胃酸分泌に対し強力な抑制作用を示す32),36),37)
    イヌあるいはラットにおける胃酸分泌抑制作用の回復は、他のプロトンポンプ阻害剤に比較し速く、血中ガストリンの上昇は少ない32),38)

18.3 胃内pH上昇作用

健康成人男子における胃内pHに対し、1日1回5mg投与、1日1回10mg投与、1日1回20mg投与でともに著明な上昇作用を示し、投与5日目の24時間中にpH4以上を示す時間の割合は1日1回5mg投与のEMで46%、PMで63%、1日1回10mg投与のEMで58%、PMで72%、1日1回20mg投与のEMで61%、PMで76%である2)
※肝代謝酵素チトクロームP450 2C19(CYP2C19)表現型は、下記遺伝子型より分類される。
 EM(extensive metabolizer):CYP2C191/1、CYP2C191/2又はCYP2C191/3
 PM(poor metabolizer):CYP2C192/2、CYP2C192/3又はCYP2C193/3

18.4 H+、K+-ATPase阻害作用

ブタ胃粘膜より調製したH+、K+-ATPaseに対し、強い阻害作用を示す33),39)in vitro)。

18.5 抗潰瘍作用

ラットを用いた各種実験潰瘍あるいは実験胃粘膜病変(寒冷拘束ストレス、水浸拘束ストレス、幽門結紮、システアミン、塩酸-エタノール及びアスピリン)に対し、強い抗潰瘍作用あるいは胃粘膜病変改善作用を示す36),40),41)

18.6 作用機序

  • 〈ヘリコバクター・ピロリ除菌の補助〉

    アモキシシリン水和物及びクラリスロマイシン、アモキシシリン水和物及びメトロニダゾールとの3剤併用療法におけるラベプラゾールナトリウムの役割は胃内pHを上昇させることにより、アモキシシリン水和物及びクラリスロマイシンの抗菌活性を高めることにあると考えられる42),43)

18.7 除菌効果

  • 〈ヘリコバクター・ピロリ除菌の補助〉

    スナネズミを用いたヘリコバクター・ピロリ感染モデルにおいて、胃内生菌数に対するアモキシシリン水和物とクラリスロマイシンの2剤併用の効果は、ラベプラゾールナトリウムを加えることにより、相乗効果が認められた44)

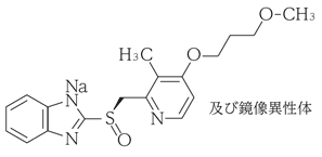
19. 有効成分に関する理化学的知見

一般的名称

ラベプラゾールナトリウム(Rabeprazole Sodium)

化学名

Monosodium(RS)-2-({[4-(3-methoxypropoxy)-3-methylpyridin-2-yl]methyl}sulfinyl)-1H-benzimidazolide

分子式

C18H20N3NaO3S

分子量

381.42

性状

白色~微黄白色の粉末である。
水に極めて溶けやすく、エタノール(99.5)に溶けやすい。
0.01mol/L水酸化ナトリウム試液に溶ける。
吸湿性である。
水溶液(1→20)は旋光性を示さない。
結晶多形が認められる。

化学構造式

20. 取扱い上の注意

  1. 20.1 アルミ袋開封後は湿気を避けて保存すること。

22. 包装

  • 〈ラベプラゾールナトリウム錠5mg「TCK」〉

    100錠(10錠(PTP)×10、乾燥剤入り)

  • 〈ラベプラゾールナトリウム錠10mg「TCK」〉

    100錠(10錠(PTP)×10、乾燥剤入り)
    500錠(10錠(PTP)×50、乾燥剤入り)

23. 主要文献

1) Yasuda, S. et al.:Int. J. Clin. Pharmacol. Ther. 1994;32(9):466-473

2) 日本人健康成人男性を対象としたE3810の臨床薬理試験(パリエット錠:2014年12月26日承認、申請資料概要2.7.6.1)

3) 3剤併用体内動態試験(国内)の概要(パリエット錠:2007年1月26日承認、申請資料概要2.7.6.1)

4) 社内資料:生物学的同等性試験(錠5mg)

5) 社内資料:生物学的同等性試験(錠10mg)

6) Yasuda, S. et al.:Clin. Pharmacol. Ther. 1995;58(2):143-154

7) Ishizaki, T. et al.:Aliment. Pharmacol. Ther. 1999;13(Suppl.3):27-36

8) Ishizaki, T. et al.:Clin. Pharmacol. Ther. 1995;58(2):155-164

9) 中澤三郎 他:Modern Physician.1994;14(S.):38-68

10) 本村明 他:Modern Physician. 1994;14(S.):23-37

11) 篠村恭久 他:Modern Physician. 1994;14(S.):69-84

12) 八尾恒良 他:Modern Physician. 1994;14(S.):85-99

13) 中川充文 他:Modern Physician. 1994;14(S.):100-107

14) 吉田豊 他:Modern Physician. 1994;14(S.):108-115

15) 中野哲 他:Modern Physician. 1994;14(S.):116-123

16) 谷内昭 他:Modern Physician. 1994;14(S.):124-136

17) 吉田豊 他:Modern Physician. 1994;14(S.):137-147

18) 中澤三郎 他:Modern Physician. 1994;14(S.):1-22

19) 維持療法期の試験成績(パリエット錠:2003年7月17日承認、申請資料概要ト.1.(5)-Ⅱ)

20) Kinoshita, Y. et al.:Am. J. Gastroenterol. 2012;107(4):522-530

21) Kinoshita, Y. et al.:Gastroenterol. 2018;53(7):834-844

22) 国内第Ⅲ相試験(パリエット錠:2017年9月22日承認、審査報告書)

23) Kinoshita, Y. et al.:Aliment. Pharmacol. Ther. 2011;33(2):213-224

24) Iwakiri, R. et al.:Aliment. Pharmacol. Ther. 2014;40(7):780-795

25) 低用量アスピリン投与中かつ胃潰瘍又は十二指腸潰瘍の既往歴を有する患者を対象とした第Ⅱ/Ⅲ相試験(パリエット錠:2014年12月26日承認、申請資料概要2.7.6.2)

26) 低用量アスピリン投与中かつ308試験の24週後内視鏡検査にて潰瘍非再発が確認された患者を対象とした長期投与試験(パリエット錠:2014年12月26日承認、申請資料概要2.7.6.3)

27) Kuwayama, H. et al.:Aliment. Pharmacol. Ther. 2007;25(9):1105-1113

28) 国内第Ⅲ相試験の概要(パリエット錠:2007年1月26日承認、申請資料概要2.7.6.3)

29) 全有効性試験の結果の比較検討(パリエット錠:2007年1月26日承認、申請資料概要2.7.3.3)

30) Isomoto, H. et al.:Aliment. Pharmacol. Ther. 2003;18(1):101-107

31) 第十八改正日本薬局方解説書 廣川書店. 2021;C5995-6001

32) Fujisaki, H. et al.:Biochem. Pharmacol. 1991;42(2):321-328

33) 藤崎秀明 他:日本薬理学雑誌. 1993;102(6):389-397

34) 岩崎有良 他:薬理と治療. 1999;27(4):705-712

35) 井上正規 他:内科宝函. 1994;41(7):143-150

36) Fujisaki, H. et al.:Drug Invest. 1991;3(5):328-332

37) 村上学 他:G. I. Research. 1993;1(5):493-496

38) 河合隆 他:G. I. Research. 1993;1(3):274-280

39) Morii, M. et al.:Biochem. Pharmacol. 1990;39(4):661-667

40) 村上学 他:G. I. Research. 1993;1(5):497-500

41) ラットにおけるアスピリン胃潰瘍に対する作用(パリエット錠:2014年12月26日承認、申請資料概要2.6.2.2)

42) 考察及び結論(パリエット錠:2007年1月26日承認、申請資料概要2.6.2.6)

43) ラベプラゾールナトリウム、アモキシシリン、メトロニダゾール併用投与の有効性(パリエット錠:2007年8月23日承認、審査報告書)

44) スナネズミH. pylori胃内感染モデルにおける除菌効果(パリエット錠:2007年1月26日承認、申請資料概要2.6.2.1)

24. 文献請求先及び問い合わせ先

辰巳化学株式会社 薬事・学術課

〒921-8164 金沢市久安3丁目406番地

TEL 076-247-2132
FAX 076-247-5740

26. 製造販売業者等

26.1 製造販売元

辰巳化学株式会社

金沢市久安3丁目406番地

〒100-0013 東京都千代田区霞が関3-3-2 新霞が関ビル

画面を閉じる

Copyright © Pharmaceuticals and Medical Devices Agency, All Rights reserved.